Das PDF dient ausschließlich dem persönlichen Gebrauch! - Weitergehende Rechte bitte anfragen unter: nutzungsrechte@asu-arbeitsmedizin.com.
Der Einfluss von Tätigkeitsgruppen auf die Exposition und die psychische Gesundheit der Beschäftigten
Violence and aggression in the workplace: The influence of occupational groups on exposure and the mental health of employees
Objective: This study examines workplace exposure to violence and aggression, focusing on occupational differences in exposure frequency and variations in the relationship between exposure and well-being across occupational groups.
Method: Data were collected as part of a psychosocial risk assessment in 21 companies and 34 occupational groups according to ISCO in Germany. Exposure to violence and aggression was measured using a specific subscale of the risk assessment questionnaire, while well-being was assessed using the WHO-5 Index. Pearson correlations, intraclass correlations and linear mixed models were calculated in order to illustrate the relationships.
Results: The findings reveal significant differences in the exposure to violence and aggression at the workplace across occupational groups. Police personnel and nursing professionals are particularly frequently exposed. The intraclass correlation coefficient indicates that nearly 40 % of the variance in exposure to violence and aggression can be explained by occupational group differences. Concerning well-being, strong negative correlations with violence and aggression are in particular observed in academic and service professions. Technical and manual professions are particularly affected by physical violence and threats.
Conclusion: The study underscores that the effects of violence and aggression on well-being are highly dependent on the occupational group. Occupations involving intensive customer interactions and emotional demands are particularly vulnerable to negative effects. Targeted interventions to reduce occupational exposure and support employees with interactive demands should be tailored to the specific needs of these occupational groups.
Keywords: workplace violence – mental stress – occupational group – ISCO – well-being
ASU Arbeitsmed Sozialmed Umweltmed 2024; 59: 764–772
Aggression und Gewalt am Arbeitsplatz: Der Einfluss von Tätigkeitsgruppen auf die Exposition und die psychische Gesundheit der Beschäftigten
Zielstellung: Diese Studie untersucht die Exposition gegenüber Aggression und Gewalt am Arbeitsplatz, wobei der Fokus sowohl auf tätigkeitsspezifischen Unterschiede in der Häufigkeit der Exposition als auch auf die zwischen den Gruppen variierenden Auswirkungen dieser Exposition auf das Wohlbefinden gelegt wird.
Methode: Die Daten wurden im Rahmen der Gefährdungsbeurteilung psychischer Belastung bei 21 Betrieben für 34 Tätigkeitsgruppen nach ISCO erhoben. Die Exposition gegenüber Aggression und Gewalt wurde durch ein spezifisches Zusatzmodul des Gefährdungsbeurteilungsbogens gemessen, während das Wohlbefinden durch den WHO-5 Index erfasst wurde. Es wurden Pearson-Korrelationen, Intraklassenkorrelationen und linear gemischte Modelle berechnet, um die Zusammenhänge darzustellen.
Ergebnisse: Die Ergebnisse zeigen deutliche Unterschiede in der Exposition mit Aggression und Gewalt am Arbeitsplatz zwischen den Tätigkeitsgruppen. Beschäftigte der Polizei und Pflegeberufe sind besonders betroffen. Der Intraklassenkorrelationskoeffizient zeigt, dass nahezu 40 % der Unterschiede in der Exposition durch die Tätigkeitsgruppenzugehörigkeit erklärt werden. Im Zusammenhang mit Wohlbefinden zeigen sich insbesondere bei akademischen und Dienstleistungstätigkeiten stark negative Korrelationen mit Aggression und Gewalt. Technische und handwerkliche Tätigkeiten sind besonders von körperlicher Gewalt und Gewaltandrohungen betroffen.
Schlussfolgerung: Die Studie verdeutlicht, dass die Auswirkungen von Aggression und Gewalt auf das Wohlbefinden stark von der Tätigkeitsgruppe abhängen. Tätigkeiten mit intensiven Kundeninteraktionen und emotionalen Anforderungen sind besonders anfällig für geringeres Wohlbefinden. Gezielte Interventionen zur Reduktion der Exposition und Unterstützung mit den interaktiven Anforderungen sollten auf die spezifischen Bedürfnisse der jeweiligen Tätigkeitsgruppe ausgerichtet werden.
Schlüsselwörter: Gewalt am Arbeitsplatz – psychische Belastung – Berufsgruppen – ISCO – Wohlbefinden
Einleitung
Die Arbeitswelt konfrontiert Beschäftigte mit einer Vielzahl von Herausforderungen und Belastungen, die sowohl ihre physische als auch ihre psychische Gesundheit beeinflussen können. Neben klassischen Arbeitsbelastungen wie Zeitdruck, Arbeitsintensität und mangelnden Ressourcen, gewinnt die Exposition gegenüber Aggression und Gewalt am Arbeitsplatz zunehmend an Bedeutung (Pressel 2024). Diese spezifischen Belastungen können schwerwiegende Auswirkungen auf das Wohlbefinden (Nielsen et al. 2014; Urrego Betancourt u. Castro-Muñoz 2019) und die Arbeitszufriedenheit (Li et al. 2019) der Betroffenen haben. In diesem Beitrag wird untersucht, inwiefern verschiedene Tätigkeitsgruppen unterschiedlich stark von Aggression und Gewalt am Arbeitsplatz betroffen sind und wie diese Exposition das Wohlbefinden der Beschäftigten beeinflusst.
Belastungen am Arbeitsplatz
Arbeitsplatzbelastungen können als physische, psychische und soziale Anforderungen definiert werden, die von den Beschäftigten Anstrengungen erfordern, um sie zu bewältigen (Demerouti et al. 2001). Diese Belastungen variieren je nach Berufsgruppe und 
Arbeitsplatzbedingungen erheblich. Beispielsweise sind Beschäftigte im Gesundheitswesen häufig mit langen Arbeitszeiten, emotional belastenden Situationen und einem hohen Maß an Verantwortung konfrontiert (Rohwer et al. 2021). In der Industrie hingegen können physische Anforderungen wie schwere körperliche Arbeit und ergonomische Belastungen dominieren (Skovlund et al. 2020.
Aggression und Gewalt am Arbeitsplatz sind besondere Formen der Belastung, die durch physische Angriffe, verbale Bedrohungen oder andere aggressive Verhaltensweisen gekennzeichnet sind. Diese können von Personen innerhalb und außerhalb des Unternehmens ausgehen (Einarsen et al. 2010; Nielsen u. Einarsen 2012). Gewalt am Arbeitsplatz wird von der International Labour Organization (ILO 2019) als „Bandbreite von inakzeptablen Verhaltensweisen und Praktiken oder deren Androhung, gleich ob es sich um ein einmaliges oder ein wiederholtes Vorkommnis handelt, die auf physischen, psychischen, sexuellen oder wirtschaftlichen Schaden abzielen, diesen zur Folge haben oder wahrscheinlich zur Folge haben, und umfasst auch geschlechtsspezifische Gewalt und Belästigung“ definiert. Aggression am Arbeitsplatz wird oft als weniger intensive, aber dennoch schädliche Form von Gewalt betrachtet, die Verhaltensweisen wie Drohungen, Einschüchterung und Belästigung umfasst (Neuman u. Baron 1998).
Um unterschiedliche Arten der Aggression und Gewalt einzustufen, werden üblicherweise drei Unterkategorien formuliert. Die physische Gewalt beinhaltet jegliche Art von körperlichen Angriffen, wie Schläge, Tritte oder andere Formen von physischem Missbrauch. Physische Gewalt kann sowohl zu sichtbaren Verletzungen als auch zu langfristigen gesundheitlichen Beeinträchtigungen führen (LeBlanc u. Kelloway 2002). Verbale Aggression umfasst Beleidigungen, Bedrohungen, Einschüchterungen und andere Formen von verbaler Belästigung. Diese Art von Aggression kann erhebliche psychische Belastungen verursachen, auch wenn keine physischen Schäden auftreten (Barling et al. 2005). Als drittes umfasst die psychologische Gewalt nicht-physische Formen von Aggression und Gewalt, wie Mobbing, Belästigung und Stalking. Psychologische Gewalt kann schwerwiegende Auswirkungen auf die psychische Gesundheit und das Wohlbefinden der Betroffenen haben: Kurzfristig können Unsicherheit, Demotivation und Verzweiflung auftreten, während langfristig Leistungseinbußen, Burnout, Angstzustände und posttraumatische Belastungsstörungen sowie Depressionen und Schlafprobleme beobachtet werden (Duan et al. 2019; Magnavita et al. 2019; Matthiesen u. Einarsen 2010; Päßler u. Trommer 2010; Pompeii et al. 2020).
Die Exposition gegenüber Aggression und Gewalt variiert stark zwischen verschiedenen Tätigkeitsgruppen. Beschäftigte im Gesundheitswesen, insbesondere in der Notfallmedizin und der Psychiatrie, sind häufig hohen Expositionsrisiken ausgesetzt (Liu et al. 2019; Rossi et al. 2023). Diese erhöhte Gefährdung kann durch die unmittelbare Patientenversorgung und die oft emotional aufgeladenen Situationen, in denen diese Beschäftigten arbeiten, erklärt werden (Gates et al. 2011). Zudem gibt es dabei wiederum Unterschiede je nach Abteilung und Bereichen, wie beispielweise erhöhte Exposition in psychiatrischen Bereichen und mehr körperliche Gewalt gegenüber Männern (Mento et al. 2020). Auch Lehrkräfte und Sozialarbeitende berichten häufig von Aggressionen und Gewalt (Wet 2010). Diese Berufsgruppen haben regelmäßig mit schwierigen sozialen Situationen zu tun, die oft von Konflikten und herausfordernden Verhaltensweisen begleitet werden (Fisher u. Kettl 2003; van Heugten u. Schmitz 2015). Da es sich bei Arbeitsplatzbelastungen um tätigkeitsimmanente Aspekte handelt, bezieht sich die Exposition von Aggression und Gewalt auf externe Personen, mit denen aufgrund der grundständigen Tätigkeit Kontakt besteht.
Auswirkungen auf das Wohlbefinden
Belastungen am Arbeitsplatz, insbesondere durch Aggression und Gewalt, haben tiefgreifende Auswirkungen auf das psychische Wohlbefinden der Beschäftigten (Nielsen et al. 2014; Urrego Betancourt u. Castro-Muñoz 2019). Das Wohlbefinden ist ein komplexes, multidimensionales Konstrukt, das sowohl affektive als auch kognitive Aspekte umfasst. Dazu gehören unter anderem die Arbeitszufriedenheit, das emotionale Befinden und die physische Gesundheit (Warr 1990). Betroffene von Aggression und Gewalt berichten häufig von erhöhter emotionaler Erschöpfung, verminderter Arbeitszufriedenheit und einer Verschlechterung ihrer allgemeinen psychischen Gesundheit (LeBlanc u. Kelloway 2002), wobei diese negativen Indikatoren auf das Wohlbefinden einwirken. Besonders gravierend sind die Folgen direkter Gewalt, die zu einer stärkeren Beeinträchtigung des Wohlbefindens führt als die indirekte Konfrontation, also psychologische Gewalt 
(Havaei 2021).
Die negativen Effekte von Aggression und Gewalt auf das emotionale Wohlbefinden lassen sich unter anderem durch die Angst vor Wiederholung und das damit verbundene Stressempfinden erklären (LeBlanc u. Kelloway 2002; Nielsen u. Einarsen 2012). Das Stressor-Strain-Modell, wie von Hershcovis und Barling (2010) sowie von LeBlanc und Kelloway (2002) in diesem Kontext angewendet, verdeutlicht, dass Aggressionen am Arbeitsplatz als bedeutende Stressoren sowohl physische als auch psychische Auswirkungen verursachen. Wenn diese Stressoren über einen längeren Zeitraum bestehen, kann dies zu Stress führen und somit das psychische Wohlbefinden der Beschäftigten nachhaltig beeinträchtigen (Leka u. Jain 2010). Van Heugten and Schmitz (2015) unterstreichen in diesem Zusammenhang, dass anhaltend hohe Stressniveaus nicht nur die Gesundheit der Mitarbeitenden, sondern auch die Arbeitsleistung negativ beeinflussen.
Untersuchungen zu allgemeinen Arbeitsplatzfaktoren und ihrem Einfluss auf das Wohlbefinden zeigen unterschiedliche Effekte je nach Berufsgruppe. Vor allem Beschäftigte mit niedrigerem Bildungsniveau und in niedrigeren Beschäftigungspositionen sind stärker von ungünstigen Arbeitsplatzbedingungen betroffen (Cohidon et al. 2010; Schütte et al. 2014; Wege et al. 2008). Es gibt jedoch nur wenige Studien, die die spezifischen Belastungen durch Aggression und Gewalt umfassend über verschiedene Tätigkeitsgruppen hinweg vergleichen und deren Auswirkungen auf das Wohlbefinden systematisch analysieren. Hierbei spielt auch die unklare Datenlage zu möglichen Ursachen eine Rolle (vgl. Schütte et al. 2014).
Forschungsfragen und Zielsetzung
Insgesamt zeigt sich, dass die Exposition gegenüber Aggression und Gewalt am Arbeitsplatz eine signifikante Belastung darstellt (Pompeii et al. 2020). Die Expositionsstärke variiert jedoch zwischen verschiedenen Tätigkeitsgruppen und es gibt wenig Erhebungen zu den genauen Ausprägungen der Unterkategorien, so dass die erste Fragestellung in dieser Studie lautet:
Forschungsfrage 1: Wie häufig kommen verschiedene Arten von Aggressions- und Gewalterfahrungen bei unterschiedlichen Tätigkeitsgruppen vor?
Wie beschrieben wirken sich psychosoziale Arbeitsplatzfaktoren auf das Wohlbefinden aus (Urrego Betancourt u. Castro-Muñoz 2019). Dementsprechend wird davon ausgegangen, dass die Exposition von Aggression und Gewalt mit geringerem Wohlbefinden zusammenhängt (LeBlanc u. Kelloway 2002). Dabei ist unklar, wie diese Zusammenhänge je nach Tätigkeitsgruppe variieren. Studien zeigen, dass beispielsweise geringere Bildungsgruppen oft schlechter mit belastenden Arbeitsplatzfaktoren umgehen, doch gibt es hierzu widersprüchliche Ergebnisse (Schütte et al. 2014). Daher wird zudem die folgende Forschungsfrage untersucht:
Forschungsfrage 2: Wie variiert der Zusammenhang zwischen Wohlbefinden und der Exposition gegenüber Aggression und Gewalt am Arbeitsplatz in verschiedenen Tätigkeitsgruppen?
Ziel dieser Studie ist es, die Häufigkeit und Auswirkungen von Gewalt- und Aggressionserfahrungen am Arbeitsplatz über verschiedene Tätigkeitsgruppen hinweg systematisch zu erfassen und zu vergleichen. Dabei soll untersucht werden, wie stark psychosoziale Arbeitsplatzfaktoren wie Aggression und Gewalt das Wohlbefinden in verschiedenen Tätigkeitsgruppen beeinflussen. Ein besonderer Fokus liegt auf der Analyse der Variationen dieser Zusammenhänge je nach Gruppe, um differenziertere Erkenntnisse über die Belastungen zu gewinnen. Indem ein einheitliches Erhebungsinstrument auf diverse Tätigkeitsgruppen angewendet wird, trägt diese Studie zu einer besseren Vergleichbarkeit der Exposition bei, die bisher aufgrund unterschiedlicher Instrumente in früheren Studien erschwert wurde.
Methoden
Design und Durchführung
Bei der vorliegenden Studie handelt es sich um eine Sekundärauswertung einer Datenbank, in der Datensätze zur Qualitätssicherung eines wissenschaftlichen Verfahrens zur Erhebung psychischer Belastungen im Rahmen der Gefährdungsbeurteilung (Kuczynski et al. 2020) gesammelt werden. Die vorliegenden Datensätze sind ein Auszug von 21 Unternehmen in Deutschland mit 34 Tätigkeitsgruppen. Dabei ist ein Großteil der Unternehmen im Bildungsbereich, öffentlicher Verwaltung und Dienstleistung tätig. Die Angaben stammen von Beschäftigen dieser Unternehmen und wurden über eine Online-Befragung erhoben. Die Teilnahme an den jeweiligen Befragungen war freiwillig. Im Vorfeld wurden in Abstimmung mit den Unternehmen gemäß Arbeitsschutzgesetz die zu befragenden Tätigkeitsgruppen festgelegt. Die Mitarbeitenden wählten im Rahmen der Befragung ihre jeweilige Tätigkeitsgruppe aus. Diese wurden in der Datenbank gemäß der International Standard Classification of Occupations (ISCO) klassifiziert, wobei hier die Eingruppierung der Teilnehmenden anhand von aktuellen Tätigkeiten erfolgte und unabhängig vom erlernten Beruf.
Stichprobe
Nach der Datenbereinigung ergab sich eine Stichprobengröße von 4534 Teilnehmenden (TN) aus 34 Tätigkeitsgruppen, die das Zusatzmodul für Tätigkeiten mit Aggression und Gewalt ausgefüllt hatten. Entsprechend der ISCO-Kategorisierung stellte die größte Beschäftigtengruppe die Lehrkräfte an Universitäten und Fachhochschulen (ISCO 231) mit 1631 Personen dar, die nicht-akademischen betriebswirtschaftlichen, kaufmännischen und verwandten Verwaltungstätigkeiten (ISCO-Gruppe 33) die zweitgrößte (924 TN) und darauffolgend Führungskräfte (ISCO-Gruppe 1, 381 TN) als drittgrößte Gruppe. Demgegenüber bestanden die drei kleinsten Gruppen, die in die Auswertung aufgenommen wurden, aus Apothekerinnen/Apothekern (ISCO 2262, N = 10), technischen und nichttechnischen gleichrangigen Berufen (ISCO 3, N = 11) sowie Ärztinnen/Ärzten (ISCO 221, N = 12). Die Teilnehmenden klassifizierten sich somit in 8 der insgesamt 10 Oberkategorien nach ISCO, diese sind Führungskräfte (ISCO 1, N = 381), akademische Berufe (ISCO 2, N = 1794), technische und gleichrangige nichttechnische Berufe (ISCO 3, N = 1062), Bürokräfte (ISCO 4, N = 91), Dienstleistungsberufe (ISCO 5, N = 746), Handwerksberufe (ISCO 7, N = 145), Bedienende von Anlagen und Montageberufe (ISCO 8, N = 302) sowie Hilfsarbeitende (ISCO 9, N = 13). Die Zusammenhangsanalysen beruhen auf geringeren Teilnehmendenzahlen (N = 4372), da einige Beschäftigte die Skala zum Wohlbefinden nicht vollständig ausgefüllt hatten (s. Tabelle 1). Demografische Daten wurden im Sinne der Sicherung von Anonymität im Rahmen der Gefährdungsbeurteilung nicht erhoben.
Instrumente
Aggression und Gewalt wurde mit dem Zusatzmodul eines Erhebungsinstruments für psychische Belastungen im Rahmen der Gefährdungsbeurteilung erhoben (Kuczynski et al. 2020; Schneider u. Lang 2020). Dieses Zusatzmodul besteht aus 7 Items zu den unterschiedlichen Bereichen möglicher Gewaltexposition. Die Items wurden vorab über semistrukturierte Interviews und Beschäftigtenworkshops entwickelt, bei der Beschäftigte mit Interaktionsarbeit über häufig in ihrer Tätigkeit vorkommende spezifische Belastungen im Rahmen von Aggression und Gewalt berichtet haben. Beschäftigte schätzen auf einer vierstufigen Antwortskala (0 = „Nie“ bis 3 = „meistens bzw. immer“) die Häufigkeit des Vorkommens bestimmter Aggressions- und Gewalterfahrungen durch unternehmensexterne Personen beim Ausüben ihrer Tätigkeit ein, so dass ein hoher Wert für eine häufige Exposition steht. Ein Beispielitem lautet: „Bei der Tätigkeit kommt es vor, dass andere Personen (ausgenommen Mitbeschäftigte) mit Gewalt drohen.“ Die Reliabilität wurde anhand von Cronbach’s Alpha überprüft und ergab einen Wert von 0,84.
Das Wohlbefinden wurde mithilfe des WHO-5 Well-being Index der World Health Organisation erhoben, der aus 5 Items besteht (Topp et al. 2015). Die Teilnehmenden schätzen für das Wohlbefinden relevante Gefühlszustände innerhalb der letzten 2 Wochen auf einer Skala von 0 = „zu keinem Zeitpunkt“ bis 5 = „die ganze Zeit“ ein. Ein Beispiel-Item lautet: „In den letzten beiden Wochen war ich froh und guter Laune.“ Somit steht eine hohe Ausprägung für ein stärkeres Maß an Wohlbefinden. Das Cronbach’s Alpha der Skala lag bei 0,89.
Auswertung
Für die Auswertung der erhobenen Daten wurden die statistischen Programme SPSS und R eingesetzt. Für das Zusatzmodul Aggression und Gewalt wurde ein Gesamtindex als Mittelwert aller 7 Items berechnet, wobei die einzelnen Items aufgrund ihrer unterschiedlichen thematischen Ausrichtungen zudem separat ausgewertet wurden. Beim WHO-5-Index wurde ebenfalls ein Mittelwert berechnet, um die Vergleichbarkeit zu gewährleisten. In die Analysen wurden nur diejenigen Tätigkeitsgruppen einbezogen, die mindestens 10 Teilnehmende umfassten; für die linear gemischten Modelle wurden alle Tätigkeitsgruppen auf Ebene der ISCO-Oberkategorien („ISCO-Major Groups“) aggregiert. Zur Beantwortung der ersten Forschungsfrage wurden Mittelwerte und Konfidenzintervalle nach ISCO-Kategorien berechnet und visuell dargestellt. Zusätzlich wurde die Intraklassenkorrelation (ICC1) berechnet, um zu bestimmen, welchen Anteil die Tätigkeitsgruppen an der Ausprägung der Exposition haben. Für die zweite Forschungsfrage wurde zunächst eine Korrelationstabelle erstellt (s. Abb. 1). Anschließend wurden linear gemischte Modelle berechnet, um den Zusammenhang zwischen der Exposition mit Aggression und Gewalt am Arbeitsplatz und dem Wohlbefinden zu veranschaulichen. Aufgrund des explorativen Charakters der Untersuchung wird auf die Angabe von Signifikanzniveaus zugunsten der Interpretation der Korrelationskoeffizienten (s. Tabelle 1) und – wo sinnvoll – Konfidenzintervalle, verzichtet.
Ergebnisse
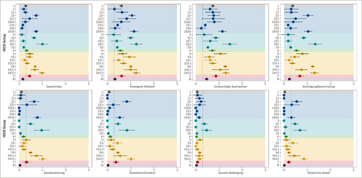
Zur Beantwortung der ersten Forschungsfrage, die die Unterschiede in der Exposition gegenüber Aggression und Gewalt je nach Tätigkeitsgruppe untersucht, werden zunächst die Mittelwerte und Konfidenzintervalle der verschiedenen Gruppen in ➥ Abb. 1 dargestellt. Dabei werden sowohl der Gesamtmittelwert des Moduls „Aggression & Gewalt“ als auch die Einzelitems analysiert, wobei Tätigkeiten derselben ISCO-Oberkategorien jeweils in gleicher Farbe dargestellt werden.
Die Auswertung zeigt, dass die Berufsgruppen 322 (nicht-akademische Krankenpflege- und Geburtshilfefachkräfte, x = 1,00) und 5412 (Polizei, x = 0,99) die höchsten Mittelwerte des Gesamtindex aufweisen. Das bedeutet, dass diese Gruppen die höchste Expositionshäufigkeit gegenüber Aggression und Gewalt berichten. Die geringsten Mittelwerte zeigen mit x = 0,12 die Gruppen 243 (akademische Fachkräfte in Vertrieb & Marketing) und 3 (Technikerinnen/Techniker und nicht-technische gleichrangige Berufe). Die größte Streuung der Werte ist bei den Berufsgruppen 221 (akademische ärztliche und therapeutische Tätigkeiten) und 322 (nicht-akademische Krankenpflege- und Geburtshilfefachkräfte) feststellbar, was auf große Unterschiede in der Exposition innerhalb dieser Tätigkeitsgruppen hinweist. Die Intraklassenkorrelation (ICC1) für den Gesamtmittelwert über alle Gruppen beträgt 39,8. Entsprechend werden 39,8 % der Unterschiede im Gesamtindex „Aggression & Gewalt“ durch die Zugehörigkeit zu einer bestimmten ISCO-Berufsgruppe erklärt. Dies deutet darauf hin, dass die Unterschiede in der Exposition gegenüber Aggression und Gewalt wesentlich von tätigkeitsbezogenen Merkmalen abhängen. Detaillierte Ergebnisse zur Verteilung spezifischer Formen von Aggression und Gewalt sind Abb. 1 zu entnehmen; eine Zuordnung dieser ISCO-Kategorien zu Berufstiteln erfolgt in Tabelle 1.
Zur Beantwortung der zweiten Forschungsfrage, die den Zusammenhang zwischen Wohlbefinden und der Exposition gegenüber Aggression und Gewalt am Arbeitsplatz in verschiedenen Berufsgruppen untersucht, wurden folgende Auswertungen vorgenommen:
Die Pearson-Korrelationskoeffizienten und somit Effektstärken für jede Berufsgruppe sind in ➥ Tabelle 1 dargestellt. Diese Tabelle illustriert die Variation der Zusammenhänge, wobei überwiegend negative Korrelationen zu beobachten sind. Die Effektstärken zeigen dabei erhebliche Unterschiede zwischen den Berufsgruppen. Besonders starke Zusammenhänge (> 0,6) finden sich bei den Teilnehmenden in den Einzelgruppen 2 (akademische Berufe), 221 (akademische ärztliche und therapeutische Tätigkeiten), 322 (nicht-akademische Krankenpflege- und Geburtshilfefachkräfte) und 5 (Dienstleistungsberufe & Verkaufstätigkeit).
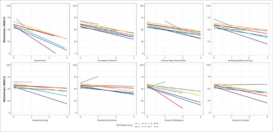
Zusätzlich wurden die Zusammenhänge visuell durch lineare Regressionsgeraden in ➥ Abb. 2 veranschaulicht. Diese Abbildung zeigt zunächst den Effekt der Gesamtskala für Aggression und Gewalt in Beziehung zum Wohlbefinden und anschließend für alle Einzelitems. Die Darstellung umfasst jene Oberkategorien der Tätigkeitsgruppen („ISCO Major Groups“), für die Daten vorlagen. In den oberen vier Darstellungen (Gesamtindex, verweigerte Mitarbeit, unberechtigte Beschwerden, Beleidigung/Beschimpfung) ist die stärkste negative Assoziation von Aggression und Gewalt auf Wohlbefinden bei ISCO Kategorie 8 (Anlagebedienende & Montageberufe) zu beobachten. In den unteren vier Darstellungen (Gewaltandrohung, Randalieren/Zerstören, sexuelle Belästigung, körperliche Gewalt) zeigt Kategorie 7 (Handwerks- und verwandte Berufe) die stärksten negativen Zusammenhänge zwischen der Exposition und dem Wohlbefinden. Die Abbildungen visualisieren erneut die deutlichen Unterschiede in den Zusammenhängen zwischen Aggression und Gewalt je nach Tätigkeitsgruppe, erkennbar anhand der unterschiedlichen Steigungen der Geraden. Je steiler die Gerade, umso stärker ist der Zusammenhang.
 
 
 Table 1: Mean values, standard deviations, and Pearson correlations of violence and aggression with well-being
Diskussion
Zusammenfassung der Ergebnisse
Die Exposition gegenüber Aggression und Gewalt am Arbeitsplatz schwankt erheblich zwischen unterschiedlichen Tätigkeitsgruppen. Besonders betroffen sind Polizeibeschäftigte (ISCO-Gruppe 5412) und Pflegetätigkeiten (ISCO-Gruppe 322), die häufig direkter physischer und verbaler Gewalt ausgesetzt sind. Die Beurteilerübereinstimmung zeigt, dass etwa 40 % der Variabilität auf berufsspezifische Merkmale zurückzuführen ist. Äquivalent zu früheren Befunden sind Schutz- und Pflegeberufe besonders anfällig für Gewalt, da sie in stressreichen, konfliktgeladenen Situationen arbeiten, die intensive emotionale Arbeit erfordern (Lanctôt u. Guay 2014; Rossi et al. 2023; Schablon et al. 2012).
Bemerkenswert ist, dass die Häufigkeit der Exposition zwar innerhalb der Berufsgruppen einen wichtigen Prädiktor für das Wohlbefinden der Beschäftigten darstellen, im Gruppenvergleich aber auch deutliche Unterschiede in den Effektstärken zu beobachten sind. In anderen Worten: Die besonders exponierten Berufsgruppen sind nicht notwendigerweise auch jene Gruppen, deren (psychische) Gesundheit am stärksten unter der Exposition leidet. Die Pearson-Korrelationskoeffizienten zeigen, dass akademische Berufe (ISCO-Gruppe 2), akademische ärztliche Tätigkeiten (ISCO-Gruppe 221), nicht-akademische Pflegeberufe (ISCO-Gruppe 322) und Dienstleistungsberufe (ISCO-Gruppe 5) die stärksten negativen Korrelationen zwischen Gewalt und Wohlbefinden aufweisen. Die Konfrontation mit Aggression stellt in diesen Berufen eine nicht tätigkeitsimmanente und daher nicht geplante Belastung dar und überfordert die üblichen Bewältigungsmechanismen dieser Beschäftigten, was zu signifikanten Einbußen im Wohlbefinden führt (Urrego Betancourt u. Castro-Muñoz 2019). Erkenntnisse vorangegangener Forschung bezogen auf den stärkeren Einfluss bei niedrigerem Bildungsniveau (Cohidon et al. 2010; Wege et al. 2010) können mit den vorliegenden Befunden somit nicht bestätigt werden, da hier akademische und Ausbildungsberufe ähnliche Zusammenhänge von Aggression und Gewalt mit dem psychischen Wohlbefinden zeigen.
Die Regressionsgeraden zeigen zudem, dass die Exposition von Aggression und Gewalt bei der Bedienung von Anlagen und Maschinen (ISCO-Gruppe 8) sowie bei handwerklichen Tätigkeiten (ISCO-Gruppe 7) besonders starke Auswirkungen auf das Wohlbefinden haben. Hier stellt sich noch die Frage, ob dies mit dem Bildungshintergrund oder beispielsweise Umgangsformen mit anderen Gewerken in diesen Tätigkeiten in Zusammenhang steht (vgl. Schütte et al. 2014). Schutzkräfte (ISCO-Gruppe 54) erfahren zwar häufig Gewalt, jedoch zeigen sie weniger negative Auswirkungen auf das Wohlbefinden. Dies ist vermutlich auf eine vorbereitete Erwartungshaltung sowie spezifisches Training, klare Protokolle und robuste Unterstützungssysteme zurückzuführen. Im Gegensatz dazu sind Pflege- und Dienstleistungsberufe weniger durch solche Ressourcen geschützt und stärker durch emotionale Arbeit belastet.
Insgesamt verdeutlichen die Ergebnisse, dass die Auswirkungen von Aggression und Gewalt auf das Wohlbefinden maßgeblich von tätigkeitsspezifischen Anforderungen abhängen. Dies erfordert gezielte Interventionen in betroffenen Berufsgruppen (Schütte et al. 2014; Solorzano Martinez u. Oliveira 2021; Wirth et al. 2021). Die vorliegenden Ergebnisse liefern einerseits einen Beitrag zur Differenzierung ebenjener Berufsgruppen mit spezifischem Interventionsbedarf. Zudem tragen die Ergebnisse zur besseren Vergleichbarkeit der Exposition unterschiedlicher Berufsgruppen bei, die bislang aufgrund der Verwendung unterschiedlicher Erhebungsinstrumente bei verschiedenen Berufsgruppen erschwert wurde.
Limitationen
Die hier berichteten Parameter beruhen auf einer selbstselektiven Stichprobe von 4534 Beschäftigten aus 21 Betrieben. Insofern handelt es sich bei den berichteten Mittelwerten nicht um (tätigkeitsgruppen-)repräsentative Prävalenzen von Aggression und Gewalt, sondern stichprobenbezogene Kennwerte. Die Beobachtung erheblicher berufsbedingter Unterschiede in der Exposition mit Aggression und Gewalt stimmt jedoch optimistisch, bei Beschäftigten vergleichbarer Tätigkeitsgruppen ähnliche Verteilungen zu finden.
Aufgrund der Reduktion auf ISCO-Oberkategorien und der hier gewählten Verteilungsannahmen stellt die lineare Modellierung der Zusammenhänge zwischen Exposition und Wohlbefinden zudem eine modelltheoretische Vereinfachung zugunsten der einfacheren Interpretierbarkeit dar. Über sämtliche Tätigkeitsgruppen sind Erfahrungen mit Aggression und Gewalt (erfreulicherweise) seltene Ereignisse, die zu einer rechtsschiefen Verteilung der Prädiktorvariablen führen. Für Folgeuntersuchungen mit feingliedrigerer Gruppenaufschlüsselung sollte daher untersucht werden, inwiefern beispielsweise generalisierte lineare gemischte Modelle mit Gamma Verteilung die Modellanpassung verbessern. Dabei stellt auch das querschnittliche Design der Untersuchung eine Begrenzung der Interpretierbarkeit dar, wobei keine Kausalität bestimmt werden kann.
Des Weiteren wurden in dieser Studie keine individuellen Bewältigungsstrategien oder organisationalen Ressourcen berücksichtigt, die möglicherweise als Moderatorvariablen wirken könnten. Diese Faktoren könnten erklären, warum bestimmte Berufsgruppen trotz hoher Belastung weniger stark beeinträchtigt sind.
Praktische Implikationen
Zur Prävention und Bewältigung von Aggression und Gewalt am Arbeitsplatz sind gezielte Maßnahmen für Risiko-Berufsgruppen unerlässlich. Handlungsempfehlungen müssen immer auf die spezifische Berufsgruppe zugeschnitten sein, da pauschale Lösungen nicht ausreichen (Adler et al. 2008; Richter et al. 2010; Wirth et al. 2021). Entsprechend der gesetzlichen Anforderungen im Arbeitsschutz sollten insbesondere verhältnispräventive spezifische Interventionsprogramme entwickelt und evaluiert werden, wie etwa Verbesserung der sozialen Unterstützung oder die Einführung klarer Richtlinien gegen Gewalt und sexuelle Belästigung. Ergänzend können verhaltenspräventive Ansätze wie Schulungen zur Deeskalation Beschäftigte unterstützen. Dabei ist auch die regelmäßige Erhebung der Aggressions- und Gewalterfahrungen im Rahmen einer Gefährdungsbeurteilung psychischer Belastungen ein wichtiger Baustein zur gezielten Planung von Maßnahmen. Weitere Empfehlungen sind im Folgenden insbesondere am Aachener Modell (Päßler u. Trommer 2010) orientiert.
Für die Vermeidung und den Umgang mit Aggression und Gewalt am Arbeitsplatz ist es essenziell, dass Organisationen Standards im Umgang mit Gewalt entwickeln und Mitarbeitende über ihre Rechte informieren (z. B. BGW-online, o. J.). Räumliche Sicherheitsmaßnahmen wie das Verschließen gefährlicher Gegenstände und das Bereitstellen von Fluchtwegen sind ebenfalls relevant. Ein Dokumentationssystem zur Erfassung von Vorfällen sowie Nachbesprechungen mit Führungskräften sind notwendig, um Vorfälle aufzuarbeiten und zukünftig zu verhindern. Vor Risikoterminen sollten mögliche Gefahren besprochen und Teammitglieder zur Unterstützung hinzugezogen werden. Zudem sollte das Thema sexuelle Belästigung offen angesprochen werden und ein sicheres und vertrauensvolles Betriebsklima geschaffen werden. Mediation, wie von Kilb (2012) beschrieben, und auch Kommunikations- sowie Deeskalationstraining können zusätzlich helfen, Konflikte zu lösen und ein konstruktives Arbeitsklima zu fördern. Nur so kann generell der Umgang mit aggressiven externen Personen in der Organisation aufgefangen und aufgearbeitet werden und somit negative Beanspruchungen vermieden werden.
Zukünftige Forschung
Die Ergebnisse deuten darauf hin, dass zukünftige Forschung die Mechanismen untersuchen sollte, durch die Aggression und Gewalt das Wohlbefinden beeinflussen. Dabei könnte eine Differenzierung von strukturellen Aggressionsereignissen und des Umgangs sowie Nachsorge davon relevant für das tiefere Verständnis sein. Zudem wären individuelle Bewältigungsstrategien, soziale Unterstützung und organisationale Ressourcen von besonderem Interesse, da sie die Beziehungen zwischen Gewalt und Wohlbefinden moderieren könnten (Schütte et al. 2014). Methodisch wären größere Stichproben und eine breitere Auswahl an Berufsbildern sowie Unternehmen hilfreich, um die Ergebnisse besser zu generalisieren. Längsschnittstudien könnten wertvolle Erkenntnisse über die langfristigen Auswirkungen von Gewalt am Arbeitsplatz und die Effektivität von Präventionsmaßnahmen liefern. Zudem sollten spezifische Interventionsprogramme entwickelt und evaluiert werden, die auf die Bedürfnisse der am stärksten betroffenen Berufsgruppen zugeschnitten sind. Hier könnten verschiedene Ansätze zur Verhältnis- und Verhaltensprävention angewendet werden (siehe Praktische Implikationen).
Schlussfolgerung
Die vorliegende Studie verdeutlicht, dass Aggression und Gewalt am Arbeitsplatz erhebliche negative Auswirkungen auf das Wohlbefinden der Beschäftigten haben, wobei bestimmte Berufsgruppen besonders betroffen sind. Die Ergebnisse unterstreichen die Notwendigkeit, gezielte Präventions- und Interventionsstrategien zu entwickeln, um das Wohlbefinden von Beschäftigten in gefährdeten Berufsgruppen zu schützen und zu fördern. Diese Maßnahmen sind nicht nur für die betroffenen Individuen von Bedeutung, sondern auch für die Aufrechterhaltung eines gesunden und produktiven Arbeitsumfelds insgesamt. Zukünftige Forschungen sollten sich darauf konzentrieren, die zugrunde liegenden Mechanismen der berufsbezogenen Unterschiede weiter zu untersuchen und evidenzbasierte Interventionen zu entwickeln, die die negativen Auswirkungen von Gewalt am Arbeitsplatz minimieren.
Beiträge der Autorinnen und des Autors: CPR: Manuskripterstellung, Datenanalyse; RP: Konzeption, Datenanalyse, Manuskriptüberarbeitung; JL: Projektleitung, Konzeption, Manuskriptüberarbeitung
Interessenkonflikt: Das Autorenteam erklärt, dass keine Interessenskonflikte vorliegen.
Literatur
Adler AB, Litz BT, Castro CA et al.: A group randomized trial of critical incident stress debriefing provided to U.S. Peacekeepers. J Traumat Stress 2008; 21: 253–263. https://doi.org/10.1002/jts.20342.
Barling J, Kelloway EK, Frone MR (Hrsg): Handbook of work stress. Thousand Oaks: Sage Publications, 2005.
BGW-online (o. J.). Kliniken – Mindeststandard für die Gewaltprävention in der Notaufnahme. https://www.bgw-online.de/bgw-online-de/themen/gesund-im-betrieb/umgang… (abgerufen am 15.11.2024).
Cohidon C, Santin G, Imbernon E, Goldberg M: Working conditions and depressive symptoms in the 2003 decennial health survey: The role of the occupational category. Soc Psychiatry Psychiatric Epidemiol 2010; 45: 1135–1147. https://doi.org/10.1007/s00127-009-0157-7.
Demerouti E, BakkerAB, Nachreiner F, Schaufeli WB: The job demands-resources model of burnout. Journal of Applied Psychology, 2001; 86: 499–512. https://doi.org/10.1037/0021-9010.86.3.499.
Duan X, Ni X, Shi L et al.: The impact of workplace violence on job satisfaction, job burnout, and turnover intention: The mediating role of social support. Health and Quality of Life Outcomes, 2019; 17: 93. https://doi.org/10.1186/s12955-019-1164-3.
Einarsen S, Hoel H, Zapf D, Cooper C (Hrsg.): Bullying and Harassment in the Workplace. Boca Raton: CRC Press, 2010. https://doi.org/10.1201/EBK1439
804896.
Fisher K, Kettl P: Teachers‘ perceptions of school violence. J Pediatr Health Care, 2003; 17: 79–83. https://doi.org/10.1067/mph.2003.20.
Gates DM, Gillespie GL, Succop P: Violence against nurses and its impact on stress and productivity. Nursing Economic$ 2011; 29: 59-66, quiz 67. https://www.researchgate.net/profile/paulsuccop/publication/51213928_ab… (Open Access).
Havaei F: Does the Type of Exposure to Workplace Violence Matter to Nurses‘ Mental Health? Healthcare 2021; 9: 41. https://doi.org/10.3390/healthcare9010041.
Hershcovis MS, Barling J: Towards a multi-foci approach to workplace aggression: 
A meta-analytic review of outcomes from different perpetrators. J Organiz Behav 2010; 31: 24–44. https://doi.org/10.1002/job.621.
Kilb R: Konfliktmanagement und Gewaltprävention: Grundlagen, Handlungsfelder und Konzeptionen. Wiesbaden: Springer VS, 2012.
Kuczynski I, Mädler M, Taibi Y, Lang J: The Assessment of Psychosocial Work Conditions and Their Relationship to Well-Being: A Multi-Study Report. International J Environment Res Public Health, 2020; 17 (5). https://doi.org/10.3390/ijerph17051654.
Lanctôt N, Guay S: The aftermath of workplace violence among healthcare workers: A systematic literature review of the consequences. Aggress Violent Behav 2014; 19: 492–501. https://doi.org/10.1016/j.avb.2014.07.010.
LeBlanc MM, Kelloway EK: Predictors and outcomes of workplace violence and aggression. J Appl Psychol 2002; 87: 444–453. https://doi.org/10.1037//0021-9010.87.3.444.
Leka S, Jain A: Health impact of psychosocial hazards at work: an overview. 2010. https://apps.who.int/iris/bitstream/handle/10665/44428/?sequence=1 (abgerufen am 15.11.2024)
Li N, Zhang L, Xiao G, Chen J, Lu Q: The relationship between workplace violence, job satisfaction and turnover intention in emergency nurses. Int Emerge Nurs 2019; 45: 50–55. https://doi.org/10.1016/j.ienj.2019.02.001.
Liu J, Gan Y, Jiang H et al.: Prevalence of workplace violence against healthcare workers: A systematic review and meta-analysis. Occup Environment Med 2019; 76: 927–937. https://doi.org/10.1136/oemed-2019-105849.
Magnavita N, Di Stasio E, Capitanelli I, Lops EA, Chirico F, Garbarino S: Sleep Problems and Workplace Violence: A Systematic Review and Meta-Analysis. Frontiers Neurosci 2019; 13: 997. https://doi.org/10.3389/fnins.2019.00997.
Matthiesen SB, Einarsen S: Bullying in the workplace: Definition, prevalence, antecedents and consequences. Int J Organiz Theory Behav 2010; 13: 202–248. 
https://doi.org/10.1108/IJOTB-13-02-2010-B004.
Mento C, Silvestri MC, Bruno A, Muscatello MRA, Cedro C, Pandolfo G, Zoccali RA: Workplace violence against healthcare professionals: A systematic review. Aggress Violent Behav 2020; 51: 101381. https://doi.org/10.1016/j.avb.2020.101381.
Neuman JH, Baron RA: Workplace Violence and Workplace Aggression: Evidence Concerning Specific Forms, Potential Causes, and Preferred Targets. J Manage 1998; 24: 391–419. https://doi.org/10.1177/014920639802400305.
Nielsen MB, Einarsen S: Outcomes of exposure to workplace bullying: A meta-analytic review. Work & Stress, 2012; 26: 309–332. https://doi.org/10.1080/02678373.2012.734709.
Nielsen MB, Magerøy N, Gjerstad J, Einarsen S: Workplace bullying and subsequent health problems. Tidsskrift for Den Norske Laegeforening: Tidsskrift for Praktisk Medicin, Ny Raekke 2014; 134: 1233–1238. https://doi.org/10.4045/tidsskr.13.0880.
Päßler K, Trommer U: Gewaltprävention – ein Thema für öffentliche Verwaltungen?! „Das Aachener Modell“: Reduzierung von Bedrohungen und Übergriffen an Arbeitsplätzen mit Publikumsverkehr. 2010. https://www. unfallkasse-nrw. de/fileadmin/server/download/praevention_in_nrw/PIN_37.pdf (abgerufen am 15.11.2024).
Pompeii L, Benavides E, Pop O et al.: Workplace Violence in Outpatient Physician Clinics: A Systematic Review. Int J Environment Res Public Health 2020; 17: 6587. https://doi.org/10.3390/ijerph17186587,
Pressel H: Wie häufig und wo kommt Gewalt am Arbeitsplatz vor? In: Pressel H (Hrsg.): Haufe Fachbuch Series. Aggression und Gewalt am Arbeitsplatz: Entstehung, Umgang und Prävention. 2. Auflage. Haufe-Lexware Verlag, 2024, S. 65–74. https://doi.org/10.34157/978-3-648-17623-8_3.
Richter P, Nebel C, Wolf S: Ja, mach nur einen Plan! Gesundheitsinterventionen in turbulenten Zeiten. Gesund mit und ohne Arbeit, 2010; 73–90.
Rohwer E, Mojtahedzadeh N, Harth V, Mache S: Stressoren, Stresserleben und Stressfolgen von Pflegekräften im ambulanten und stationären Setting in Deutschland. Zentralbl Arbeitsmed Arbeitssch Ergonom 2021; 71: 38–43. https://doi.org/10.1007/s40664-020-00404-8.
Rossi MF, Beccia F, Cittadini F et al.: Workplace violence against healthcare workers: An umbrella review of systematic reviews and meta-analyses. Public Health 2023; 221: 50–59. https://doi.org/10.1016/j.puhe.2023.05.021
Schablon A, Zeh A, Wendeler D, Peters C, Wohlert C, Harling M, Nienhaus A: Frequency and consequences of violence and aggression towards employees in the German healthcare and welfare system: A cross-sectional study. BMJ Open 2012; 2: e001420. https://doi.org/10.1136/bmjopen-2012-001420.
Schneider I, Lang J: PsyGesund – Handbuch. 2020.
Schütte S, Chastang J‑F, Malard L, Parent-Thirion A, Vermeylen G, Niedhammer I: Psychosocial working conditions and psychological well-being among employees in 34 European countries. Int Arch Occup Environment Health 2014; 87: 897–907. https://doi.org/10.1007/s00420-014-0930-0.
Skovlund SV, Bláfoss R, Sundstrup E, Andersen LL: Association between physical work demands and work ability in workers with musculoskeletal pain: Cross-sectional study. BMC Musculoskelet Disord 2020; 21: 166. https://doi.org/10.1186/s12891-020-03191-8.
Solorzano Martinez AJ, Oliveira GC de: Workplace Violence Training Programs for Nursing Students: A Literature Review. J Am Psychiatr Nurs Assoc 2021; 27: 361–372. https://doi.org/10.1177/1078390321994665.
Topp CW, Østergaard SD, Søndergaard S, Bech P: The WHO-5 Well-Being Index: A systematic review of the literature. Psychother Psychosom 2015; 84: 167–176. 
https://doi.org/10.1159/000376585.
Urrego Betancourt Y, Castro-Muñoz JA: Psychosocial Risk Factors: Its Relation with Social Cognition, Emotional Regulation and Well-Being. Int J Psychol Res 2019; 12: 17–28. https://doi.org/10.21500/20112084.3741.
van Heugten K, Schmitz CL: Stress and Violence in the Workplace: Theory and Practice. In. van Heugten K, Gibbs A (Hrsg.), Social work for sociologists: Theory and practice. London: Palgrave Macmillan, 2015, S. 141–156. https://doi.org/
10.1057/9781137389688_9
Warr P: The measurement of well-being and other aspects of mental health. J Occup Psychol 1990; 63: 193–210. https://doi.org/10.1111/j.2044-8325.1990.tb00521.x.
Wege N, Dragano N, Erbel R, Jockel K‑H, Moebus S, Stang A, Siegrist J: When does work stress hurt? Testing the interaction with socioeconomic position in the Heinz Nixdorf Recall Study. J Epidemiol Commun Health 2008; 62: 338–341. https://doi.org/10.1136/jech.2007.062315.
Wet C de: Victims of educator-targeted bullying: A qualitative study. South African J Educ 2010; 30: 189–201. https://doi.org/10.15700/saje.v30n2a341.
Wirth T, Peters C, Nienhaus A, Schablon A: Interventions for Workplace Violence Prevention in Emergency Departments: A Systematic Review. Int J Environment Res Public Health, 2021; 18: 8459. https://doi.org/10.3390/ijerph18168459.
Kontakt
Clara Picker-Roesch, M.Sc.
Institut für Arbeits-, Sozial- und Umweltmedizin
RWTH Aachen University
Pauwelsstraße 30, 52074 Aachen
cpickerroesc@ukaachen.de
 
 
 Fig. 2: Visualisation of linear mixed models for the correlation between violence and aggression and well-being across ISCO major groups
 
     
     
       
     
     
     
     
    