Springe auf Hauptinhalt Springe auf Hauptmenü Springe auf SiteSearch
  • Home
  • Alle Artikel zum Thema Wissenschaft

Alle Artikel zum Thema Wissenschaft

Frau Prof. Dr. med. Monika A. Rieger auf dem Jubiläumssymposium des Instituts
Das IASV feierte seinen 60. Geburtstag

Leuchtturm für Prävention und gesunde Arbeit

-

Nähe zur Praxis, Exzellenz in der Forschung – und Modell für die Zukunft: Das Jubiläumssymposium des Instituts für Arbeitsmedizin, Sozialmedizin und Versorgungsforschung (IASV) am Universitäts­klinikum Tübingen zeigte: Wissenschaftlich fundierte und zugleich praxisnahe Arbeitsmedizin bleibt für gesunde Beschäftigung entscheidend.

Risk of Hepatitis B Transmission by health care workers – a systematic review

-

Ein systematisches Review untersuchte das Risiko der Übertragung von Hepatitis B von medizinischem Personal auf Patientinnen und Patienten sowie die Frage, inwieweit existierende nationale Leitlinien sich auf wissenschaftliche Evidenz stützen können

Abb. 1:    Veränderter Beratungsbedarf nach betrieblichen Akteuren
 
 Fig. 1: Changed consulting needs according to company stakeholders

Auswirkungen der Legalisierung von Cannabis auf die Arbeitswelt in Deutschland: Aktuelle Entwicklungen und zukünftige Herausforderungen aus arbeits- und betriebsmedizinischer Sicht

-

Vor dem Hintergrund des seit April 2024 legalen Konsums von Cannabis zu Genusszwecken sollten die Auswirkungen des Cannabisgesetzes (CanG) auf den Berufsalltag in der Arbeits- und Betriebsmedizin untersucht, erste betriebliche Reaktionen dokumentiert sowie künftige Handlungsbedarfe identifiziert werden.

Tabelle 1:   Ü45-Screening: Dimensionen, Wertebereich und Kategorien mit Handlungsbedarf (Auswertungsalgorithmus)
 Table 1: Screening 45+: dimensions, value range and categories of need for action (evaluation algorithm)

Validierung eines Screenings zur Identifikation von Präventions- und Rehabilitationsbedarf bei über 45-Jährigen (Ü45-Screening)

-

Im Rahmen des Flexirentengesetz (§ 14 SGB VI) ist die Deutsche Rentenversicherung (DRV) angehalten, einen Ü45-Check als freiwillige, berufsbezogene Gesundheitsvorsorge anzubieten und in Modellprojekten zu überprüfen. Ziel des Ü45-Checks ist es, berufsbezogene Teilhabestörungen bei Versicherten der DRV frühzeitig zu identifizieren, um passende Leistungen zur Prävention und Rehabilitation anbieten zu können und so die Gesundheit und Erwerbsfähigkeit der Versicherten möglichst lange zu erhalten.

Abb. 1:   Schematische Übersicht eines typischen zirkadianen Rhythmus, wenn die Person üblicherweise zwischen 23 Uhr und 7 Uhr schläft; die genannten Zeiten sind geschätzte Richtwerte und können individuell variieren; CBTmin/max = daily minimum/maximum of the core body temperature rhythm (tägliches Minimum/Maximum des Körperkerntemperatur-Rhythmus) (Abbildung modifiziert nach Angaben aus Brown et al. 1997; Burgess et al. 2003; Burgess u. Eastman 2005; Cagnacci et al. 1996; Dijk et al. 1992; Eastman et al. 2000)
 
 Fig. 1: Schematic overview of a typical circadian rhythm, assuming the person usually sleeps between 
11 p.m. and 7 a.m.; the times given are estimated guidelines and may vary individually; CBTmin/max = daily minimum/maximum of the core body temperature rhythm (Figure modified from Brown et al. 1997; Burgess et al. 2003; Burgess and Eastman 2005; Cagnacci et al. 1996; Dijk et al. 1992; Eastman et al. 
2000)

Fatigue, Arbeitsbelastung und Gesundheitsrisiken bei Luftfahrzeugbesatzungen von (Ultra-)Langstreckenflügen – eine Übersichtsarbeit

-

Hintergrund: Mit der Erholung des internationalen Luftverkehrs nach der COVID-19-Pandemie nehmen (Ultra-)Langstreckenflüge ((U)LR) mit Flugzeiten über 16 Stunden wieder zu. Diese Flüge stellen die Besatzungsmitglieder vor besondere arbeitsmedizinische Herausforderungen. Fatigue gilt dabei als zentraler Risikofaktor für Leistungseinbußen und gefährdet somit auch indirekt die Flugsicherheit.

Contributing Factors of the preferred Retirement Age in Nursing Professionals – Cross‑sectional Results of the German lidA Cohort Study

-

In Deutschland wird der Pflegebedarf weiter deutlich steigen. Die meisten der aktuell tätigen Pflegekräfte möchten jedoch noch vor Erreichen des offiziellen Renteneintrittsalters in den Ruhestand gehen. Die im Fachjournal „Journal of Public Health“ im Juni 2025 (Online) veröffentlichte Studie untersuchte daher die genauen Gründe, warum viele ältere Pflegekräfte einen vorzeitigen Ruhestandeintritt wählen.

Abb. 1:   Beispielhafte Darstellungen, wie mit digitalen Applikationen ­trainiert werden kann (Quelle: KI-generiert)
 Fig. 1: An example of how digital applications can be used for training ­
 (source: AI-generated)
Digitale Anwendungen in der Prävention von Rückenschmerzen beim Pflegepersonal

Randomisierte kontrollierte Studie zur Evaluation der Effektivität einer digitalen Gesundheitsanwendung (Kaia) zur Prävention von Rückenschmerzen und ­Verbesserung der Lebensqualität beim Kranken­pflegepersonal

-

Vor allem im stationären Bereich geben viele Pflegekräfte häufig Rückenschmerzen aufgrund der starken körperlichen Belastung an. Es gibt nur wenige betriebsspezifische Präventionsprogramme, die dieses Problem adressieren. Digitale Präventionsprogramme sind im arbeitsmedizinischen Kontext in Deutschland derzeit noch nicht etabliert.

Das BAKI-Projekt1

-

Das Projekt BAKI, das gemeinsam von der Universitätsmedizin Göttingen und der Universität Würzburg durchgeführt wird, adressiert eine Zielgruppe, die aktuell oft nur schwer zugänglich ist – virtuelle Beschäftigte. Damit sind Beschäftigungsverhältnisse gemeint, in denen Informations- und Kommunikationstechnologien ein zentraler Aspekt der Arbeit sind. Häufig geht dies mit einer örtlichen Dezentralisierung einher, da effiziente Kollaboration keine physikalische Nähe mehr voraussetzt. Das bringt neue Herausforderungen für die Arbeitsmedizin mit sich, da Beschäftigte für Betriebsärztinnen und -ärzte oft nicht zugänglich sind. Außerdem greifen Richtlinien des Arbeitsschutzes häufig nicht. Im Zuge des BAKI-Projekts werden zwei digitale Tools entwickelt, die die Versorgung von virtuell Beschäftigten verbessern sollen. BAKI-AI ist ein lernender Algorithmus, der Beschäftigten Feedback über persönliche Ressourcen und Anforderungen gibt und entsprechende BGM-Maßnahmen vorschlagen wird. Der Algorithmus wird mit einem großen Datensatz deutscher Beschäftigter trainiert. Dafür werden physiologische und psychologische Daten mit Fragebögen und diversen Sensoren, wie etwa Smartwatches, erhoben. Im Anschluss wird BAKI-social entwickelt – eine virtuelle Umgebung, die Aspekte der erweiterten Realität nutzt, um die Interaktion zwischen Betriebsärztinnen/-ärzten und virtuellen Beschäftigten zu verbessern. Virtuelle Umgebungen können in der Medizin vielseitig angewandt werden und unter anderem für bessere Visualisierungen und tiefere Interaktionen mit örtlich verteilten Patientinnen und Patienten genutzt werden. Durch die Kombination von Arbeitsmedizin und künstlicher Intelligenz schafft BAKI ein neues Forschungsfeld und einen Weg in die Zukunft für die Versorgung von Beschäftigten.

Abb. 1:   P Ergebnisse der Basisfallanalyse
 
 Fig. 1: Results of the base case analysis
Eine Analyse der Grippesaison 2024/2025 aus betrieblicher Perspektive

Ökonomische Bewertung der Grippeschutzimpfung am Arbeitsplatz in Deutschland

-

Diese Untersuchung verfolgt das Ziel, die Kostenwirksamkeit der Grippeschutzimpfung am Arbeitsplatz in Deutschland während der Grippe­saison 2024/2025 zu analysieren. Ein besonderes Augenmerk liegt dabei auf der wirtschaftlichen Bewertung aus Unternehmenssicht, um die ökonomischen Effekte eines betrieblichen Impfprogramms zu ermitteln.

Abb. 1:    Altersverteilung der Befragten (eigene Darstellung)
 
 Fig. 1: Age distribution of respondents (own illustration)

Women in Change – Wechseljahre am Arbeitsplatz als arbeitsmedizinische Herausforderung mit besonderem Fokus auf Führungskräfte

-

Die Wechseljahre gehen mit vielfältigen somatischen und psychischen Symptomen einher, die die Arbeitsfähigkeit beeinträchtigen können. Frauen in Führungspositionen sind hierbei besonders belastet. Ziel dieser Studie war es, den Einfluss menopausaler Beschwerden auf die berufliche Leistungsfähigkeit von Frauen mit Führungsverantwortung zu erfassen und Unterstützungsbedarfe zu identifizieren.

Tabelle 1:   Zuordnung von Tätigkeiten zu Kategorien der Talkum-Staubentwicklung
 Table 1: Assignment of activities to categories of talcum dust development

Talkumpuder und historische Exposition im ­Gesundheitsdienst – die versteckte Gefahr von Asbest

-

Talkum wurde früher im Gesundheitsdienst zum Pudern von Patientinnen und Patienten und als Hilfsstoff bei der Herstellung von Arzneimitteln eingesetzt. Es konnte sich auch um Handschuhpuder handeln oder zur Materialpflege von Gummiartikeln verwendet werden. Talkum kann mit krebserzeugendem Asbest verunreinigt sein. Bei Verdacht auf Vorliegen einer asbestbedingten Berufskrankheit wie Lungenkrebs muss ermittelt werden, ob Beschäftigte einer schädigenden Einwirkung durch Asbest ausgesetzt waren. Oftmals haben sie aber keine detaillierte Erinnerung mehr an die Tätigkeiten, so dass Daten aus Expositionskatastern wichtig sind. Zur Ermittlung der inhalativen Exposition wird in dieser Publikation daher die Höhe der Asbestexposition bei verschiedenen gesundheitsdienstlichen Tätigkeiten mit Talkum diskutiert.

Abb. 1:   Themenschwerpunkte (Code-System) der qualitativen Ergebnisse der Studie (Brandt 2024)
 
 Fig. 1: Key topics of (Code system) of the qualitative results of the study (Brandt 2024)

Einschätzung von Beschäftigten aus der Pflege zu physischen Belastungen und Akzeptanzfaktoren beim Patiententransfer mittels Exoskelett

-

Die Studie untersucht den Einfluss eines rückenunterstützenden Exoskeletts auf die physische Belastung und Akzeptanz beim Patiententransfer bei Beschäftigten aus der Pflege. Sie identifiziert zudem Schlüsselaspekte für die Implementierung dieser Technologie.

Abb 1:    Angebotene und gewünschte Unterstützungsmaßnahmen
 
 Fig. 1. Offered and desired support measures

Supporting nursing staff during crises: Impact of organisational support measures and resources in job satisfaction in German nursing homes*

-

Eine Studie untersuchte während der COVID-19-Pandemie Unterstützungsmaßnahmen in Alten-/Pflegeheimen in Rheinland-Pfalz und deren Auswirkung auf die Arbeitszufriedenheit sowie die Rolle persönlicher und sozialer Ressourcen.

Tabelle 1:   Stadien der (chronischen) Nierenfunktionsstörung. Nach Kidney Disease Improving Global Outcomes (KDIGO 2013, 2024). Nomenklatur nach Eckardt et al. (2022)
 Table 1: Stages of (chronic) renal dysfunction. According to Kidney Disease Improving Global Outcomes (KDIGO 2013, 2024). Nomenclature according to Eckardt et al. (2022)

MdE bei Nierenfunktionsstörung

-

Eine Nierenfunktionsstörung (Niereninsuffizienz) ist in Deutschland mit rund 10–13 % in der Allgemeinbevölkerung eine häufige Erkrankung. Sie kann unter anderem Folge eines Arbeitsunfalls, einer beruflichen Exposition gegen nierentoxische Arbeitsstoffe oder Therapiefolge bei einer als Berufskrankheit anerkannten Erkrankung zum Beispiel einem Tumor der harnableitenden Wege sein. Seit vielen Jahren liegt eine von der Kidney Disease Improving Global Outcomes (KDIGO) publizierte, aktualisierte und allgemein anerkannte Stadieneinteilung der Nierenfunktionsstörung vor. Bislang wurden jedoch für die Bewertung einer beruflich bedingten Nierenfunktionsstörung keine Werte zur Einschätzung der Minderung der Erwerbsfähigkeit (MdE) für das Rechtsgebiet der gesetzlichen Unfallversicherungen (GUV) publiziert. Daher stellen die Autorinnen und Autoren eine MdE-Tabelle zur Einschätzung einer beruflich bedingten Nierenfunktionsstörung vor, die auf der Stadieneinteilung der Kidney Disease Improving Global Outcomes (KDIGO) basiert.

ASU-Chefredakteurin Prof. Dr. Simone Schmitz-Spanke überreichte Frau Dr. Reingard Seibt für den ersten Preis einen Scheck in Höhe von 1000 Euro.

Herzlichen Glückwunsch an alle Gewinnerinnen und Gewinner des „ASU Best Paper Award 2025“!

-

Der erste Platz des Best Paper Awards geht an die Autorinnen Reingard Seibt und Steffi Kreuzfeld des Instituts für Präventivmedizin der Universitätsmedizin Rostock für ihre bemerkenswerte Arbeit: „Teilzeitbeschäftigung und psychische Gesundheit bei Gymnasiallehrkräften“. Diese Studie untersuchte die psychische Gesundheit von über 5.900 Teilzeit-Lehrkräften an deutschen Gymnasien und beleuchtete den Zusammenhang zwischen Arbeitszeit und psychischem Wohlbefinden. Entgegen der Annahme, dass eine Reduzierung der Unterrichtsstunden die psychische Gesundheit verbessert, zeigte die Studie, dass viele Lehrkräfte trotz Teilzeitbeschäftigung unter erheblichem Arbeitsdruck, Überstunden und Burnout-Symptomen leiden. Die Ergebnisse unterstreichen die Notwendigkeit von gezielten Präventionsmaßnahmen, um die psychische Gesundheit von Lehrkräften zu schützen, und verdeutlichen, dass eine Erhöhung der Unterrichtsverpflichtung nicht die Lösung für den Lehrkräftemangel sein sollte.

Abb. 1:   DGUV-Modell für die Vermeidung von psychischen Gesundheitsschäden und deren Folgen nach traumatischen Ereignissen (DGUV 2017b)
 
 Fig 1: DGUV model for the prevention of mental health impairments and their consequences following traumatic events (DGUV 2017b)

Psychosoziale Notfallversorgung in Unternehmen

-

Da auf Grundlage der wissenschaftlichen Literatur nicht dargestellt werden konnte, welche Modelle und Vorgehensweisen Unternehmen wählen, um eine psychosoziale Betreuung bei Notfällen im Arbeitskontext zu ermöglichen, wurde in einem Forschungsprojekt an der SRH University, unterstützt durch die DGUV, eine Bestandsaufnahme unter Beachtung der verschiedenen Perspektiven von Unternehmen, Unfallversicherungsträgern, ehrenamtlichen PSNV-B-Teams und externen Anbietenden in vier Teilprojekten durchgeführt.

Tabelle 1:   Rohe und altersstandardisierte Wegeunfallraten von Mitarbeitenden eines Großunternehmens der chemischen Industrie von 1995 
 bis 2022 nach soziodemografischen Charakteristika insgesamt und separat für Männer und Frauen
 Table 1: Crude and age-standardized commuting accident rates of employees of a large chemical company from 1995 to 2022 by sociodemographic 
 characteristics overall and separately for men and women

Wegeunfälle von Mitarbeitenden eines ­Großunternehmens der chemischen Industrie: Eine Unfalldatenanalyse von 1995 bis 2022

-

Im Rahmen dieses Beitrags werden Wegeunfalldaten eines Großunternehmens der chemischen Industrie verwendet, um Häufigkeiten, Trends sowie Personengruppen mit erhöhtem Wegeunfallrisiko zu beschreiben.

Tabelle 1:   Charakterisierung der Gruppen (Spaltenprozente oder Mittelwerte)
 Table 1: Characterization of the groups (column percentages or means)

„Stay at Work“ – ein ressourcenorientiertes Konzept füllt eine Lücke

-

Das Konzept „Stay at Work“ (SaW) bietet eine ressourcenorientierte Perspektive auf Erwerbstätige, die trotz gesundheitlicher Einschränkungen kontinuierlich arbeiten und dabei keine erhöhten Fehlzeiten aufweisen.

Tabelle 1:   Nasschemische Analyseverfahren im medizinischen Labor und in der Pathologie und deren Benzidin-Konzentrationen
 Table 1: Wet-chemical analysis methods in the medical laboratory and in pathology and their benzidine concentrations

Tätigkeiten mit krebserzeugenden aromatischen Aminen bei nasschemischen Analysemethoden in medizinischen Laboren – Modellierung der Exposition

-

Im medizinischen Labor waren früher und sind heute noch vereinzelt Expositionen gegenüber dem krebserzeugenden aromatischen Amin Benzidin oder dem Benzidin-abspaltenden Azofarbstoff Kongorot bei der Durchführung bestimmter Laboranalysen möglich. Diese Amine können Ursache eines Harnblasenkarzinoms sein. Zur Ermittlung der inhalativen und dermalen Exposition bei nasschemischen Analysemethoden werden Tätigkeiten beschrieben und die branchenbezogene Exposition modelliert.

Tabelle 1:   Beispielitems, Reliabilitäten und Item-Anzahlen der eingesetzten Messinstrumente (Knispel et al., im Druck; Löwe et al. 2005; Mohr et al. 2005; Nübling et al. 2005)
 Table 1: Example items, reliabilities, and item counts of the measurement instruments used (Knispel et al., in print; Löwe et al. 2005; Mohr et al. 2005; Nübling et al. 2005)

Die Relevanz der beruflichen Resilienz für die mentale Gesundheit und Arbeitszufriedenheit von Beschäftigten

-

Schätzungsweise 15 % aller Fehltage von Beschäftigten aller Altersgruppen sind auf psychische Erkrankungen zurückzuführen. Ziel der vorliegenden Studie ist es, die Relevanz verschiedener Facetten der beruflichen Resilienz als mögliche Schutzfaktoren für die langfristige Aufrecht­erhaltung der mentalen Gesundheit von Beschäftigten und dem Erleben ihrer beruflichen Situation zu untersuchen. Zu den Facetten der beruflichen Resilienz zählen Optimismus, Akzeptanz, Lösungsorientierung, Selbstfürsorge, Netzwerkorientierung, Verantwortungsübernahme und Zukunftsplanung.

Abb. 1:    a  Exkretionsprofile vom (OH)2 -Climbazol und cx-OH-Climbazol im zeitlichen Verlauf in µg/l (oben) und µg/g Kreatinin (unten) nach oraler Dosierung.  b  Exkretionsprofile der beiden Climbazol-Metaboliten im Urin von drei Probandinnen und Probanden nach der Anwendung von Climbazol-
haltigem Shampoo (oben) und Haarlotion (unten)
 
 Fig. 1:  a  Excretion profiles of (OH)2 -climbazole and cx-OH-climbazole over time in µg/l (top) and µg/g creatinine (bottom) after oral dosage.  b  Excretion profiles of both climbazole metabolites in three volunteers’ urine after the application of either a climbazole-containing shampoo (top) or hair tonic (bottom)

Metabolismus des Anti-Schuppen-Wirkstoffs Climbazol nach oraler Gabe und dermaler Applikation*

-

Climbazol wird aufgrund seiner antimykotischen Eigenschaften als Konservierungsmittel oder Anti-Schuppen-Wirkstoff in Kosmetikprodukten eingesetzt. In der folgenden Studie wurde die Toxikokinetik von Climbazol im Menschen untersucht:

Abb. 1:   Vergleich der Branchenmittelwerte sexueller Belästigung im Gesundheits- und Sozialwesen (n = 901). Mittelwerte, die größer sind als der Mittelwert der Gruppe der anderen Branchen, sind fett markiert. Dargestellt ist sexuelle Belästigung von Sozial- und Gesundheitspersonal durch Patienten, Klienten oder Bewohner. *p 

Sexuelle Belästigung durch zu Pflegende und zu Betreuende

-

Beschäftigte im Sozial- und Gesundheitswesen sind einem hohen Risiko ausgesetzt, am Arbeitsplatz sexuell belästigt zu werden.

Tabelle 1:   Schreck und Gewaltvorfälle (SuG-Vorfälle) und Schockzustände mit psychischen Belastungsreaktionen bei SuG-Vorfällen nach Beruf1; ­Daten der BGW für die Berichtsjahre 2018–2022, sortiert nach Anzahl der SuG-Vorfälle
 Table 1: Frightening and violent (FV) incidents and states of shock with psychological stress reactions in FV incidents by occupation1; BGW data for the reporting years 2018–2022, sorted by number of FV incidents

Gewaltvorfälle in Gesundheitsdienst und Wohlfahrtspflege

-

Von der Berufsgenossenschaft für Gesundheitsdienst und Wohlfahrtspflege (BGW) wurde ein Bericht zu Schreck- und Gewaltvorfällen (SuG-Vorfällen) vorgelegt, der einen Überblick zu den SuG-Vorfällen in verschiedenen Branchen und Berufsgruppen des Gesundheits- und Sozialwesens gibt. Auf Basis der Ergebnisse werden Probleme bei der Datenerfassung aufgezeigt und Maßnahmen zur Optimierung der Datenqualität vorgestellt.

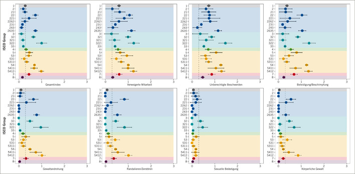
Abb. 1:    Mittelwerte und 95%-Konfidenzintervalle der Exposition mit Aggression und Gewalt nach ISCO-Gruppen
 
 Fig. 1: Mean values and 95% confidence intervals for exposure to violence and aggression by ISCO groups

Aggression und Gewalt am Arbeitsplatz

-

Diese Studie untersucht die Exposition gegenüber Aggression und Gewalt am Arbeitsplatz, wobei der Fokus sowohl auf tätigkeitsspezifischen Unterschiede in der Häufigkeit der Exposition als auch auf die zwischen den Gruppen variierenden Auswirkungen dieser Exposition auf das Wohlbefinden gelegt wird.

Abb. 1:    „TensionTerminator“ zur Selbstbehandlung von Myogelosen
 
 Fig. 2: „TensionTerminator“ for self-treatment of myogelosis

Triggerpunkt-Behandlungs-Tool zur Selbst­therapie von Myogelosen im Berufsumfeld

-

Es gibt eine Vielzahl von Berufen wo Arbeitsplatz-assoziierte Bewegungsmuster und/oder Zwangshaltungen zu Muskelverspannungen an Schultergürtel und Rücken führen. Diese Verspannungen sind unmittelbar einschränkend für Lebensqualität sowie Arbeitsfähigkeit der Betroffenen, mittel- bis langfristig begünstigen sie zudem die Entstehung struktureller Degenerationen am Bewegungsapparat. Sind Arbeitskräfte im Gesundheitswesen derartig betroffen, beeinträchtigt das die hochwertige Versorgung der Patientinnen und Patienten. Zur Selbsttherapie derartiger Verspannungszustände am Arbeitsplatz, wurde das Triggerpunkt-Selbstbehandlungs-Tool „TensionTerminator“ (ErgoPhysion, Innsbruck, Österreich) entwickelt. Die Nutzung dieses Geräts wurde im Rahmen einer Anwendungsbeobachtung an sechs Abteilungen im Allgemeinen Krankenhaus (AKH) Wien evaluiert.