Springe auf Hauptinhalt Springe auf Hauptmenü Springe auf SiteSearch
Elektromagnetische Felder

Elektromagnetische Felder – A­llgemeine Grundlagen

Das PDF dient ausschließlich dem persönlichen Gebrauch! - Weitergehende Rechte bitte anfragen unter: nutzungsrechte@asu-arbeitsmedizin.com.

Electromagnetic Fields – General Principles

Due to the enormous technical progress of the last century, electromagnetic fields are a ubiquitous physical phenomenon today. Starting from the basic properties, this article gives an overview of the proven effects of electromagnetic fields on humans and the limit values derived from them are presented. Andreas Deser

Einleitung

Vom Erdmagnetfeld über Stromerzeugung und -transport, Rundfunk, Fernsehen bis zum modernen 5G-Mobilfunk und schließlich Licht – es gibt wohl kaum ein Naturphänomen, das im Alltag und in der Technik häufiger vorkommt als elektromagnetische Felder oder kurz: EMF. Nahezu alle Erscheinungsformen von EMF – mit Ausnahme des Lichts – sind für die menschlichen Sinne nicht direkt zugänglich und daher nicht ohne physikalische Modelle verständlich. Über zwei Jahrhunderte vergingen von den ersten Experimenten durch H. C. Ørsted1 und M. Faraday2 bis zur alltäglichen Nutzung von Funktechnik wie den allgegenwärtigen Mobil­telefonen. Ein grundlegendes Verständnis elektromagnetischer Phänomene ist für eine sachliche Bewertung moderner Technologien unverzichtbar.

Elektrische und magnetische Felder

Bereits Thales von Milet3 war bekannt, dass sich Gegenstände aufladen können, wenn man sie reibt. Manchmal stehen uns die Haare zu Berge, wenn wir mit einem Pullover daran gerieben haben. Sind Gegenstände geladen, können sie Kräfte auf andere geladene Körper ausüben. Es gibt zwei Ladungszustände, die als „positiv“ und „negativ“ bezeichnet werden. Gleich geladene Körper stoßen sich ab, ungleich geladene ziehen sich an. Die Stärke der Kraft zwischen zwei geladenen Körpern ist dabei proportional zu den jeweiligen Ladungen Q1, Q2 und umgekehrt proportional zum Quadrat des Abstands r zwischen beiden Körpern. Physikalisch werden diese Beobachtungen durch das Coulomb4-Gesetz ausgedrückt:

Dabei ist ε0 eine aus Experimenten ermittelte Konstante und er drückt aus, dass die Kraft entlang der Verbindungsgeraden zwischen den beiden Ladungen wirkt. Die in der Umgebung eines geladenen Körpers wirkenden Kräfte werden zu einem Feld (Kraftfeld) zusammengefasst, dem elektrischen Feld. Die obenstehende Formel veranschaulicht, dass sich die Kraft F und damit das elektrische Feld sehr schnell mit zunehmendem Abstand r zwischen den beiden geladenen Körpern abschwächt.

Werden elektrische Ladungen bewegt, so fließt ein elektrischer Strom, ähnlich der Bewegung von Wasserteilchen in einem Fluss. Die elektrische Spannung entspricht dabei der Tendenz des Wassers, vom Gebirge ins Tal zu fließen. In der Elektrotechnik wird die Spannung in Volt (V) gemessen und das elektrische Feld in Volt pro Meter (V/m).

Es wird beobachtet, dass in der Umgebung von stromdurchflossenen Drähten Kräfte auf sich bewegende Ladungen wirken. Auch hier handelt es sich um ein Kraftfeld, das Magnetfeld. Die entsprechende physikalische Größe ist die magnetische Flussdichte, gemessen in Tesla5 (T). Ähnlich zu den elektrischen Feldern nehmen magnetische Flussdichten mit wachsendem Abstand zur Quelle ab. Ein Beispiel sind Magnetfelder, die beim Stromtransport in der Nähe der Leitungen gemessen werden können. ➥ Abbildung 1 zeigt den Vergleich der magnetischen Flussdichten von Freileitungen und Erdkabeln bei zwei unterschiedlichen Betriebsspannungen. Man sieht deutlich die Verringerung der Flussdichten bei steigendem Abstand zu den Leitungen in beiden Fällen.

Während also Ladungen Quellen des elektrischen Feldes sind, entstehen Magnetfelder in der Umgebung elektrischer Ströme. Auch das Magnetfeld der Erde entsteht nach gängigen Modellen durch starke Ströme im Erdmantel und Erdkern.

Induktion und elektromagnetische Wellen

Unmittelbar nach den ersten elektromagnetischen Experimenten beobachtete Faraday, dass ein sich in der Zeit änderndes Magnetfeld in einer Spule eine Spannung an deren Enden hervorruft. Dieser Induktionseffekt stellt die Grundlage sehr vieler technischer Anwendungen dar, wie etwa Generatoren zur Stromerzeugung, Elektromotoren oder Induktionsherde. Physikalisch weist der Effekt darauf hin, dass zeitlich veränderliche Magnetfelder und elektrische Felder eng miteinander verbunden („gekoppelt“) sind. Gleiches gilt umgekehrt für zeitlich veränderliche elektrische Felder und durch sie hervorgerufene Magnetfelder. Am deutlichsten ist diese Verbundenheit in einer Antenne gegeben: Sind die Enden der Antenne entgegengesetzt aufgeladen, beginnt ein Strom zu fließen und das elektrische Feld nimmt ab. Das durch diese zeitliche Änderung entstehende Magnetfeld wird stärker und bedingt durch seine Änderung wiederum eine Spannung, die die Antenne entgegengesetzt auflädt. Das so entstehende Hin und Her von elektrischen und magnetischen Feldern breitet sich um die Antenne als elektromagnetische Welle mit Lichtgeschwindigkeit in den Raum aus. Ähnlich zu Wasserwellen haben elektromagnetische Wellen eine Wellenlänge λ (Abstand zweier Wellenberge bzw. Täler) und eine Frequenz ƒ (Anzahl der Schwingungen pro Sekunde, gemessen in Hertz6 [Hz]):

Hier ist c die Geschwindigkeit der Welle, die im Fall von EMF die Lichtgeschwindigkeit ist. ➥ Abbildung 2 zeigt das elektromagnetische Spektrum mit Frequenz und Wellenlänge.

EMF-Quellen im Alltag

Wie in Abb. 2 ersichtlich, existieren unterschiedliche technische Anwendungen, die EMF in verschiedenen Frequenzbereichen nutzen oder zur Folge haben. Statische Felder (0 Hz) werden etwa in der Magnet­resonanztomographie oder der Hochspannungsgleichstromübertragung genutzt. Auch in der Natur finden sich statische Felder, beispielsweise das Erdmagnetfeld und das elektrische Feld zwischen Ionosphäre und der Erdoberfläche. Niederfrequente Felder (1 Hz bis 10 Kilohertz [kHz]) sind im Haushalt und auf Reisen weit verbreitet: Das deutsche Stromnetz und die damit verbundenen Geräte im Haushalt sind von elektrischen und magnetischen Feldern umgeben, die mit einer Frequenz von 50 Hz oszillieren, während das Bahnstromnetz bei einer Frequenz von 16 2/3 Hz betrieben wird. Zwischenfrequente Felder, die beim induktiven Laden in der Elektromobilität und in Induktionsherden zum Einsatz kommen, weisen Frequenzen zwischen 10 und 100 kHz auf. Für die drahtlose Informationsübertragung werden hochfrequenter Felder verwendet. Während Rundfunk und Fernsehen im Bereich von hundert Millionen Hertz (Megahertz, MHz) arbeiten, liegen die Frequenzen beim Mobilfunk bei mehreren hundert MHz bis zu mehreren Milliarden Hertz (Gigahertz, GHz). Da sich in diesem Frequenzbereich bereits in kurzen Abständen von der Antenne das elektromagnetische Feld von der Antenne löst und sich frei durch den Raum bewegt wird auch von elektromagnetischer Strahlung gesprochen.

Wir sind also nahezu überall und ununterbrochen gegenüber EMF der unterschiedlichsten Frequenzen exponiert, weshalb sich die Frage nach möglichen gesundheitlichen Wirkungen stellt (➥ Abb. 3). Im Folgenden werden zum einen die wissenschaftlich nachgewiesenen Wirkungen von EMF sowie die sich daraus ergebenden Grenzwerte beleuchtet.

Nachgewiesene Wirkungen von EMF

Ausgehend von den bereits erwähnten Kraftwirkungen elektromagnetischer Felder auf Ladungsträger ergeben sich, abhängig von der Frequenz, verschiedene Wirkungen auf biologisches Gewebe und insbesondere den menschlichen Körper. Statische und niederfrequente elektrische Felder verschieben Ladungen an der Körperoberfläche. Ähnlich wie bei einem Faraday-Käfig7 dringen elektrische Felder jedoch kaum in den Körper ein. Statische und niederfrequente Magnetfelder durchdringen den Körper dagegen nahezu ungehindert. Oszillieren die Felder oder bewegen Menschen sich im Feld, werden elektrische Felder und Ströme im Körperinneren durch den bereits beschriebenen Induktionseffekt erzeugt. Geschieht dies hinreichend stark, können Nervenzellen zusätzlich zu ihrer natürlichen Aktivität, die bei Spannungen bis zu 0,05 V stattfindet, stimuliert werden. Ein Beispiel im Falle des Auges sind sogenannte Magnetophosphene, die als flackernde Lichterscheinungen im Blickfeld wahrgenommen werden.

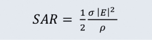
Hochfrequente EMF bewegen freie Ladungen und geladene Moleküle im menschlichen Körper sehr schnell und tragen so zur Erwärmung des Gewebes bei. Ein Maß für die Leistung, die zum Beispiel an ein Organ oder die Haut abgegeben und in Wärme umgewandelt wird, ist die spezifische Absorp­tionsrate (SAR). Abhängig von der Stärke des Feldes IΕI2 und den Gewebeeigenschaften, wie der Leitfähigkeit σ und der Dichte ρ, berechnet sich die spezifische Absorp­tionsrate nach

und wird in Watt pro Kilogramm (W/kg) gemessen. Eine Temperaturerhöhung des menschlichen Körpers von weniger als 1 °C wird dabei als physiologisch unbedenklich angesehen. Dies entspricht einer SAR von 4 W/kg für 30 Minuten bei einem Menschen. Ein Beispiel für die SAR-Verteilung am Kopf bei der Nutzung eines Funkgeräts ist in ➥ Abb. 4 gezeigt.

Mehr Informationen zur SAR und eine Liste der SAR-Werte gängiger Mobilfunkgeräte können auf der Website des Bundesamts für Strahlenschutz eingesehen werden (s. „Weitere Infos“) Je nach Frequenz dringen elektromagnetische Wellen unterschiedlich tief in den Körper ein. Während Rundfunkwellen den Körper noch nahezu ungehindert durchdringen, beträgt die Eindringtiefe der Wellen bei einigen zukünftig für den modernen 5G-Mobilfunkstandard vorgesehenen Funkfrequenzen nur noch wenige Millimeter. Mögliche Wirkungen beschränken sich daher auf die Körperoberfläche. Mehr Hintergrundinformationen zum neuen 5G-Mobilfunkstandard finden sich in der 5G-Broschüre des Bundesamtes für Strahlenschutz (s. „Weitere Infos“).

Schutzkonzept und Grenzwerte

Aufgrund der im letzten Abschnitt dargestellten EMF-Wirkungen auf den menschlichen Körper ist es notwendig, Grenzwerte für EMF festzulegen, um negative gesundheitliche Wirkungen auszuschließen. Dies geschieht in Deutschland für ortsfeste Anlagen8 durch die Sechsundzwanzigste Verordnung zur Durchführung des Bundes-Immissionsschutzgesetzes (Verordnung über elektromagnetische Felder), kurz 26. BImSchV. Die Grenzwerte basieren auf den Empfehlungen der Internationalen Kommission für den Schutz vor Nicht-Ionisierender Strahlung (ICNIRP – International Commission on Non-Ionizing Radiation Protection) und der deutschen Strahlenschutzkommission (SSK). Dabei werden, ausgehend von den biologischen Wirkungen, Schwellenwerte für geeignete Messgrößen festgelegt, deren Überschreitung im Körper vermieden werden soll – die Basisgrenzwerte. Da diese Messgrößen oftmals nur unter hohem technischem Aufwand im Labor oder mittels komplizierter Simulationsrechnungen zugänglich sind, wurden sogenannte Referenzwerte für außerhalb des Körpers messbare EMF errechnet, deren Einhaltung auch die Einhaltung der entsprechenden Basiswerte im Körper sicherstellen soll. Die Referenzwerte sind technisch einfach mit entsprechenden Messgeräten überprüfbar und in Tabellen veröffentlicht. ➥ Abbildung 5 fasst das Schutzkonzept aus Basis- und Referenzwerten noch einmal zusammen.

Für EMF verschiedener Frequenzen ergeben sich aufgrund der unterschiedlichen Wirkungen und frequenzabhängiger Kopplungseigenschaften mit dem Körper frequenzabhängige Grenzwerte. In ➥ Tabelle 1 sind einige Beispiele für Referenzwerte angegeben. Die vollständige Liste ist in der 26. BImSchV enthalten und auf der Homepage des Bundesamtes für Strahlenschutz einsehbar (s. „Weitere Infos“).

Interessenkonflikt: Der Autor gibt an, dass kein Interessenkonflikt vorliegt.

Danksagung: Der Autor dankt allen Mitarbeitenden des Kompetenzzentrums Elektromagnetischer Felder (KEMF) für die Unterstützung und die Durchsicht des Manuskripts.

Weitere Infos

Bundesamt für Strahlenschutz: Spezifische Absorptionsraten (SAR) von Handys
https://www.bfs.de/DE/themen/emf/mobilfunk/vorsorge/sar-handy/sar-handy.html

Bundesamt für Strahlenschutz: 5G – die 5. Mobilfunk-Generation
https://www.bfs.de/SharedDocs/Downloads/BfS/DE/broschueren/emf/standpunkt-5g.html

Bundesamt für Strahlenschutz: Grenzwerte für statische und niederfrequente Felder
https://www.bfs.de/DE/themen/emf/nff/schutz/grenzwerte/grenzwerte.html

Bundesamt für Strahlenschutz: Grenzwerte für hochfrequente Felder
https://www.bfs.de/DE/themen/emf/hff/schutz/grenzwerte/grenzwerte.html

Bundesimmissionsschutzgesetz (Verordnung über elektro­magnetische Felder): Sechsundzwanzigste Verordnung zur Durchführung des Bundes-Immissionsschutz­gesetzes
https://www.gesetze-im-internet.de/bimschv_26/

Abb. 2:  Elektromagnetisches Spektrum in Wellenlänge und Frequenz. Oben sind typische Anwendungen gezeigt, unten die Einteilung in verschiedene Klassen, wie niederfrequente und hochfrequente Felder. Ist die Frequenz der EMF hoch genug, können beim Auftreffen der Welle auf ein Atom Elektronen aus der Atomhülle entfernt werden, es wird dann von ionisierender Strahlung gesprochen. Gegenstand dieses Artikels sind EMF bis zum Hochfrequenzbereich (Frequenzen bis zu 300 GHz), das heißt nichtionisierende Strahlung (Quelle: BfS, https://www.bfs.de/SharedDocs/Bilder/BfS/DE/emf/em-spektrum.jpg?)

Abb. 2: Elektromagnetisches Spektrum in Wellenlänge und Frequenz. Oben sind typische Anwendungen gezeigt, unten die Einteilung in verschiedene Klassen, wie niederfrequente und hochfrequente Felder. Ist die Frequenz der EMF hoch genug, können beim Auftreffen der Welle auf ein Atom Elektronen aus der Atomhülle entfernt werden, es wird dann von ionisierender Strahlung gesprochen. Gegenstand dieses Artikels sind EMF bis zum Hochfrequenzbereich (Frequenzen bis zu 300 GHz), das heißt nichtionisierende Strahlung (Quelle: BfS, https://www.bfs.de/SharedDocs/Bilder/BfS/DE/emf/em-spektrum.jpg?)
Abb. 3:  Elektromagnetische Felder im Alltag – vom Haartrockner bis zum Smartphone

Fotos: BfS

Abb. 3: Elektromagnetische Felder im Alltag – vom Haartrockner bis zum Smartphone
Abb. 4:  Links: Anatomisches Körpermodell mit Handsprechfunkgerät in Wangenlage. Rechts: Über 10 g gemittelte SAR-Verteilung an der Hautoberfläche. Die Sendeleistung betrug 1 W, das würfelförmige Mittelungsvolumen des maximalen SAR-Werts ist rot eingezeichnet (Quelle: Forschungsvorhaben „Exposition durch in Deutschland verwendete TETRA-Endgeräte“, Christof Bodendorf, https://doris.bfs.de/jspui/handle/urn:nbn:de:0221- 2013062410893)

Abb. 4: Links: Anatomisches Körpermodell mit Handsprechfunkgerät in Wangenlage. Rechts: Über 10 g gemittelte SAR-Verteilung an der Hautoberfläche. Die Sendeleistung betrug 1 W, das würfelförmige Mittelungsvolumen des maximalen SAR-Werts ist rot eingezeichnet (Quelle: Forschungsvorhaben „Exposition durch in Deutschland verwendete TETRA-Endgeräte“, Christof Bodendorf, https://doris.bfs.de/jspui/
handle/urn:nbn:de:0221- 2013062410893)
Abb. 5:  Das Schutzkonzept, bestehend aus Basisgrenzwerten und daraus abgeleiteten Referenzwerten

Abb. 5: Das Schutzkonzept, bestehend aus Basisgrenzwerten und daraus abgeleiteten Referenzwerten

Tabelle 1: Ausgewählte Referenzwerte

Kernaussagen

  • Elektrische und magnetische Felder üben Kräfte auf Ladungen beziehungsweise bewegte Ladungen aus. Die Stärke der Kräfte, das heißt die Feldstärken, haben eine definierte Richtung und nehmen in der Regel stark mit dem Abstand zur Feldquelle ab.
  • Durch die elektromagnetische Induktion sind elektrische und magnetische Felder eng mit­einander gekoppelt, im Hochfrequenzbereich wird daher von elektromagnetischen Feldern gesprochen. Abhängig von der Frequenz werden unterschiedliche Wirkungen auf den menschlichen Körper beobachtet.
  • Basierend auf den bisher wissenschaftlich nachgewiesenen Wirkungen ergeben sich Basisgrenzwerte für bestimmte Messgrößen der EMF im Körper, wie etwa der spezifischen Absorptionsrate.
  • Aus diesen Messgrößen wurden frequenzabhängige Referenzwerte für außerhalb des Körpers messbare Feldstärken abgeleitet, die als Grenzwerte in der 26. BImSchV festgelegt sind. Die Einhaltung dieser Grenzwerte schützt die Bevölkerung vor allen wissenschaftlich nachgewiesenen gesundheitsrelevanten Wirkungen von EMF.
  • Kontakt

    Dr. Andreas Deser
    Bundesamt für Strahlenschutz; Kompetenzzentrum ­Elektromagnetische Felder; Karl-Liebknecht-Straße 33; 03046 Cottbus

    Foto: privat