Springe auf Hauptinhalt Springe auf Hauptmenü Springe auf SiteSearch
Arbeitsmedizinische S2k-Leitlinie der Deutsche Gesellschaft für Arbeitsmedizin und Umweltmedizin (DGAUM) und der Gesellschaft für Arbeitswissenschaft (GfA); AWMF-Register Nr. 002/016 Vorbemerkung

Oberflächen-Elektromyographie in der Arbeitsmedizin, Arbeitsphysiologie und Arbeitswissenschaft – Teil 1*

1 Einführung in die Begrifflichkeiten, Methodik und Anwendungsfelder

Unter Oberflächen-Elektromyographie (OEMG) versteht man die Ableitung, Analyse und grafische Darstellung elektrischer Vorgänge in der Muskulatur („myo“ kennzeichnet Begriffe, die zum Muskel gehören). Mittels Elektroden an der Hautoberfläche werden Summenaktionspotentiale abgeleitet, die bei einer Aktivierung eines Muskels entstehen. Damit ist die OEMG kein direktes Messverfahren, um mechanische Kenngrößen wie Muskelspannung, Muskelkontraktionen oder Bewegungen zu erfassen. Tatsächlich handelt es sich dabei um die Erfassung elektrischer Aktivität, die mit den zuvor benannten Phänomenen assoziiert wird (Basmajian u. De Luca 1985; Tassinary et al. 2007). In der Arbeitswissenschaft und Arbeitsmedizin wird die OEMG unter anderem dazu eingesetzt, ergonomische Bedingungen von Arbeitsplätzen zu evaluieren. Von großer Bedeutung sind dabei eine geeignete Analyse und die Normalisierung des komplexen Rohsignals. Das OEMG-Rohsignal ist die zeitlich-räumliche Aufsummierung einer scheinbar zufälligen Überlagerung und Aneinanderreihung von motorischen Aktionspotentialen (Tassinary 2007; SENIAM 1999). Das Elektromyogramm zeigt ein Interferenzmuster von positiven und negativen Peaks, dessen Amplitude mit zunehmender Muskelinnervation steigt. Der Frequenzbereich dieses OEMG-Rohsignals der motorischen Einheiten ist abhängig vom Muskel und seiner Beanspruchung, Kraft und Ermüdung. Er bewegt sich zwischen wenigen und einigen Hundert Hertz (Hz) bei Muskeln mit großen motorischen Einheiten (z. B. M. biceps brachii, M. rectus femoris) und bis zu über eintausend Hz bei Muskeln mit einer Vielzahl kleiner motorischer Einheiten (z. B. M. masseter).

Die Berechnung verschiedener Kenngrößen aus dem OEMG-Rohsignal und deren Interpretation ermöglichen es, muskuläre Beanspruchung und Muskelermüdung als wichtige Zielgrößen der OEMG-Analyse zu nutzen und eine Bewertung muskulärer Aktivitäten daraus abzuleiten.

1.1 Auswahl der zu untersuchenden Muskeln

Der Analyse mittels OEMG sind in der Regel nur oberflächennahe Muskeln zugänglich. Dies bedeutet, dass tiefer liegende Muskeln nicht mit ausreichender Genauigkeit erfasst werden können. Daher gilt es abzuwägen, welche Aussagen und Ergebnisse bei Anwendung der OEMG für bestimmte Fragestellungen erwartet werden können, zumal Bewegungen im dreidimensionalen Raum stattfinden und nicht ausschließlich die ausführende Extremität oder Körperregion, sondern den gesamten Muskel-Skelett-Apparat betreffen. So erfordert das Manipulieren von Gegenständen z. B. Muskelkraft in Bewegungsrichtung, zur Überwindung der Schwerkraft und ggf. das Aufbringen von Torsionsmomenten. Bereits vor Beginn einer elektromyographischen Studie müssen also die in einen Arbeitsvollzug involvierten Muskelgruppen sorgfältig ausgewählt werden, so z. B. einige Muskelgruppen des Hand-ArmSchulter-Systems, die für elementare Armbewegungen zuständig sind. Damit wird auch deutlich, dass z. B. selbst bei unkompliziert erscheinenden Tätigkeiten mit einfachen Armbewegungen bereits mehrkanalige elektromyographische Registrierungen mehrerer Muskelgruppen des Hand-Arm-Schulter-Systems unabdingbar sind.

Das „Vermessen“ des einen oder anderen Muskels mag durchaus klare Ergebnisse liefern und ihre Interpretation mag plausibel erscheinen. Sie ist meist aber dem komplexen Geschehen des interaktiven „Muskelspiels“ aus Agonisten und Antagonisten sowie Synergisten nicht angemessen. Dieses Zusammenspiel wird durch einige wenige elektromyographische Ableitungen in der Regel nicht korrekt abgebildet.

1.2 Bipolare und monopolare Ableitung

Die Ableitung der Muskelsignale kann bipolar oder monopolar erfolgen. Bei der bipolaren Ableitung wird das Signal jeweils zwischen zwei Elektroden, die sich auf der Haut über dem zu untersuchenden Muskel befinden, gemessen. Bei der monopolaren Ableitung wird jeweils zwischen einer Elektrode, die sich auf der Haut über dem zu untersuchenden Muskel befindet und einer gemeinsamen, in der Regel auf dem Körper entfernt platzierten Referenzelektrode (elektromyographisch wenig aktiver Fläche) gemessen. Die bei arbeitsbezogenen Untersuchungen bevorzugte Form der OEMG ist die Ableitung der Muskelsignale mittels eines bipolaren Elektrodenpaars in Faserlängsrichtung des Muskels. Vor allem bei Felduntersuchungen ist diese Ableitungsart, gegenüber der monopolaren Ableitung, durch eine höhere Störfestigkeit ausgezeichnet. Diese Leitlinie bezieht sich daher ausschließlich auf die Anwendung der bipolaren OEMG. Zur Ableitung sehr kleiner Muskeln wie etwa der mimischen Muskulatur und zum EMG-Mapping (Verteilung der myo-elektrischen Aktivität auf der Muskeloberfläche) werden dagegen vorzugsweise sehr kleine Einzelelektroden mit monopolarer Ableitung verwendet (Schumann et al. 2010) (Vorteil: geringerer Abstand zwischen den Elektroden und dadurch bessere räumliche Auflösung, Nachteil: größere Störanfälligkeit).

2 Signalerfassung

Idealerweise wird das OEMG-Signal so abgeleitet, dass der Informationsgehalt maximal und die Verunreinigung durch Rauschen (Störsignale) minimal sind. Die Oberfläche des menschlichen Körpers ist ständigen elektromagnetischen Strahlungen ausgesetzt und fungiert wie eine Antenne. Daher kommt dem Umgebungsrauschen z. B. durch Leuchtstofflampen, Mobilfunk und der 50-Hz-Netzfrequenz (in manchen Ländern 60 Hz) sowie deren Oberwellen (Vielfache der Netzfrequenz), ausgehend von externen Spannungsquellen (elektrische Geräte) bei der OEMG eine besondere Bedeutung zu. Die im Folgenden beschriebenen Punkte tragen dazu bei, die Qualität des Eingangssignals zu erhöhen. Der Erfassung des Signals durch die Elektroden fällt die entscheidende Rolle für die Signalqualität zu (De Luca 2002).

2.1 Hautvorbereitung

Im Gegensatz zur invasiven „Nadel-Elektromyographie“, die oftmals bei medizinischen Fragestellungen angewendet wird, werden bei der OEMG die Summenaktionspotentiale nicht im Muskel selbst, sondern an der Hautoberfläche erfasst. Die trockene, nicht vorbereitete Haut kann eine Übergangsimpedanz von bis zu einigen Megaohm haben (De Luca 2002). Der Hautwiderstand über dem Zielmuskel sollte so gering wie möglich sein. Aufgrund der heutzutage verwendeten Signalverstärker mit hoher Eingangsimpedanz sind allerdings auch bei hoher Hautimpedanz kaum Verluste beim OEMG-Signal zu erwarten. Ein geringer Hautwiderstand trägt jedoch erheblich dazu bei, Störspannungen, die durch elektromagnetische Felder entstehen, bedeutend zu verringern, indem diese „kurzgeschlossen“ werden. Eine gute Hautvorbereitung zur Reduktion des Hautwiderstands besteht aus: Rasur der Körperbehaarung und dem Abreiben der Haut mittels einer speziellen abrasiven Paste (ECG/EEG Abrasive Skin Preparation Gel). Dabei werden abgestorbene Hautpartikel, die den höchsten Widerstand produzieren (SENIAM 1999) und Schmutz beseitigt. Gleichzeitig bewirkt die Hautvorbereitung ein besseres Anhaften der Klebeelektroden.

2.2 Elektroden

Üblicherweise kommen kreisförmige Einwegelektroden mit einer aktiven Fläche aus Silber/Silberchlorid (Ag/AgCl) und einem Durchmesser von 2–20 mm (aktive Fläche) zur Anwendung (Hermens et al. 2000). Die Größe (Durchmesser) und der Abstand der verwendeten Elektroden legen fest, ob das OEMG-Signal entweder einen eingegrenzten lokalen oder eher globalen Eindruck des Muskelverhaltens repräsentiert. Dabei sollte v. a. das Verhältnis von aktiver Elektrodenfläche und Größe des Muskels berücksichtigt werden. Die Verwendung großer Elektrodendurchmesser führt zu einer Zunahme der Integration über eine größere Muskelfläche und zu damit verbundener Tiefpassfilterung (Hermens et al. 2000) und Übersprechen (Crosstalk ). Durch integriertes Elektrodengel und einen selbstklebenden Elektrodenrand wird eine schnelle Applikation ermöglicht.

Viele handelsübliche Einwegelektroden haben eine aktive Fläche von 15 mm Durchmesser und erlauben einen minimalen Zwischen-Elektrodenabstand von 25 mm (Mitte zu Mitte). Obwohl Studien darauf hindeuten, dass der Zwischen-Elektrodenabstand, sofern er eine Länge von 40 mm nicht überschreitet, einen geringen Einfluss auf die Signalcharakteristik der OEMG hat (Hermens et al. 2000; Beck et al. 2008), sollte dieser Abstand ebenso wie der Durchmesser der aktiven Fläche in wissenschaftlichen Publikationen stets angegeben werden (Hermens et al. 2000). Es ist darauf zu achten, dass der Zwischen-Elektrodenabstand innerhalb einer Messung bei allen abgeleiteten Muskeln bzw. bei Wiederholungsmessungen in einer Studie stets gleich gehalten wird. Elektrodenpaare auf einem Trägermedium bieten deshalb für viele Anwendungen Vorteile (Merletti u. Parker 2005; Rau 1977).

Grundsätzlich sollten die Elektroden entlang des Muskelfaserverlaufs ausgerichtet werden, damit beide Elektroden Signale von identischen Muskelfasern erfassen (SENIAM 1999). Des Weiteren ist darauf zu achten, dass die Elektroden nicht unmittelbar über den motorischen Endplatten platziert werden. Wenn beide Elektroden symmetrisch über der motorischen Endplattenregion platziert werden, wird das bipolare OEMG-Signal minimal. Stabile und reliable Signale werden bei Elektrodenpositionen zwischen der Innervationszone des Muskels, in der sich die motorischen Endplatten eines Muskels befinden, und der distalen Sehne gemessen (Clarys 2000; De Luca 1997; Merletti u. Parker 2004; Hermens et al. 2000). Außerdem gibt es für einige Muskeln Angaben in der Literatur, wo sich diese motorischen Endplatten typischerweise befinden (Masuda u. Sadoyama 1991). In der Praxis wird die Platzierung der Elektroden über dem Muskelbauch, ohne vorherige Bestimmung der Lage der motorischen Endplatten, häufig eingesetzt (Hermans et al. 2000) und liefert in der Regel hinreichend gute Ergebnisse, zumal bei sehr kleinen Muskeln das oben genannte Verfahren aus Platzgründen kam realisierbar erscheint. Unverzichtbar ist in diesem Zusammenhang eine visuelle Kontrolle der Signale nachdem die Elektroden angebracht wurden (Sodeberg u. Knutson 2000). Die Testperson sollte dazu die abzuleitende Muskulatur kontrahieren. Zudem können dabei lose Kabel oder Elektroden sowie einige technische Defekte ausgeschlossen werden.

Konkrete Hinweise zur Platzierung der Elektroden findet man in den Publikationen von Lippold (1967), Zipp (1982) und der SENIAM Gruppe (1999). Außerdem sind Kenntnisse über anatomische Strukturen eine wesentliche Voraussetzung für eine gute Elektrodenplatzierung. Ein systematisches Vorgehen mit Orientierung an anatomischen Landmarken (gut tastbar/palpierbar), wie etwa knöchernen Punkten, helfen, die Zielmuskulatur optimal abzuleiten. Außerdem kann davon ausgegangen werden, dass ein solches Vorgehen die Reproduzierbarkeit bei Wiederholungsmessungen an verschiedenen Tagen verbessert, bei denen die Elektroden neu angebracht werden müssen (Hermens et al. 2000).

Neben den differenten Elektroden ist das Anbringen einer Masseelektrode wichtig. Die Masseelektrode dient der weiteren Verminderung von Störsignalen und dem Schutz des Messgerätes vor elektrostatischen Entladungen. Sie wird bevorzugt auf Gewebe mit geringer myoelektrischer Aktivität platziert (Hermens et al. 2000; Clarys et al. 2010). Dabei ist darauf zu achten, dass diese Elektrode während der Messung keinen Stößen ausgesetzt ist. Die Position der Masseelektrode sollte deshalb passend zum Untersuchungsvorhaben und den Bewegungsanforderungen gewählt werden. Von entscheidender Bedeutung für die optimale Reduktion von Störsignalen ist eine sorgfältige Hautvorbereitung unter der Masseelektrode (De Luca 2002).

Um komplexe Bewegungsmuster erfassen zu können, ist es zwingend notwendig, dass die untersuchte Person in ihrer Bewegungsfreiheit von den Messinstrumenten und Kabeln nicht eingeschränkt wird. Insbesondere bei längeren Messungen sollte auf eine adäquate Fixierung geachtet werden, so dass sich Kabel nicht lösen und der Bewegungsablauf nicht gestört wird. Außerdem müssen Anschlusskabel, Verstärker, etc. fixiert werden, um mechanische Belastungen (Zug oder Druck) auf die Elektroden zu minimieren. Diese mechanischen Belastungen führen zu Bewegungsartefakten und machen das OEMG-Signal zu derartigen Zeitpunkten unbrauchbar.

3 Signalverstärkung und Digitalisierung

Um störende Einflüsse durch Umgebungsrauschen zu minimieren, wird bei der bipolaren OEMG das Prinzip der Differenzverstärkung angewendet. Das myoelektrische Signal wird an zwei Stellen (Elektroden) erfasst. Die beiden Signale werden von einander subtrahiert und resultierende Differenzen verstärkt. Aktionspotenziale der Muskulatur, die unter den Elektroden entlang laufen und damit zu einer elektrischen Differenz führen, werden verstärkt. Signale von weiter entfernten Störquellen kommen nahezu gleichförmig an den beiden Elektroden an und werden dadurch größten Teils eliminiert. Weitere Details zur Signalverstärkung von OEMG beschreiben Merletti u. Parker (2004).

Stetige Weiterentwicklungen der OEMG-Messgeräte ermöglichen heutzutage eine digitale Verarbeitung und Speicherung der Messdaten. Der entscheidende Grund für den Einsatz digitaler EMG-Messtechnik ist jedoch die Möglichkeit der Verarbeitung der gewonnenen Daten mit digitaler Rechentechnik. Mit der Digitaltechnik hat ein besonderer Tiefpassfilter Einzug in alle Messgeräte gehalten: der „Anti-Aliasing-Filter“. Er ist dem Analog/Digital-Wandler im Signalweg vorgelagert und verhindert, dass das Frequenzgemisch des analogen Rohsignals Frequenzen enthält, die oberhalb der Hälfte der Abtastfrequenz liegen. Ohne geeigneten Anti-Aliasing-Filter entstehen im OEMG-Signal Anteile, die künstlich erzeugt werden und die die Messergebnisse sehr stark beeinträchtigen oder gar verfälschen können. Fehlinterpretationen sind die Folge.

Um eine hohe Qualität in den OEMG-Daten zu gewährleisten, sollten folgende Kennwerte der verwendeten Messtechnik bekannt sein bzw. berücksichtigt werden. Dabei ist es wichtig stets den gesamten Signalpfad von den Elektroden am Körper über den Verstärker der Signalamplitude und Filter zur Begrenzung der Frequenzinhalte bis hin zur Analog-Digital-Wandlung einzubeziehen.

  •  a) AbtastfrequenzDen Gesetzmäßigkeiten der Signalabtastung (Nyquist-Shannon-Abtasttheorem) folgend muss das OEMG-Signal mit einer Frequenz abgetastet werden, die mindestens dem Zweifachen der höchsten, am Analog-Digital-Wandler ankommenden Signalfrequenz entspricht. OEMG-Messgeräte arbeiten dementsprechend mit Abtastraten (auch: „Samplingfrequenzen“) zwischen 1000 und 2000 Hz bzw., falls der gesamte OEMG-Signalbereich erfasst werden soll, auch mit 4000 Hz. Höhere Abtastfrequenzen bringen keine weiteren Vorteile.
  •  b) Analoge Hochpass- und Tiefpassfilter und deren Steilheit (Ordnung)Hoch- und Tiefpassfilter bestimmen die Bandbreite des vom Analog-Digital-Wandler erfassten OEMG-Rohsignals. Als Grenzfrequenz der Filter wird i.d.R. die Frequenz angegeben, an der das Signal um 3 dB gedämpft ist, d.h., seine Amplitude auf ca. 71 % verringert wird. Je größer die Steilheit (auch: „Ordnung“), also der Übergang vom Sperr- in den Durchlassbereich der Filters ist, um so geringer werden das passierende (gewünschte) OEMG-Signal und die daraus abgeleiteten Kenngrößen beeinflusst.

Empfehlungen:

  • analoge Hochpassfilterung: Grenzfrequenz zwischen 4 und 20 Hz; Steilheit mindestens 2. Ordnung (12 dB/Oktave)
    • analoge Tiefpassfilterung (Anti-Aliasing-Filter): Grenzfrequenz zwischen 500 und 2000 Hz, jedoch zwingend nicht größer als die Hälfte der Samplingfrequenz; Steilheit mindestens 4. Ordnung (24 dB/Oktave), besser 8. Ordnung (32 dB/Oktave).
  •  c) Spektrale Variation der ÜbertragungskurveSignalanteile mit unterschiedlichen Frequenzen werden im Signalpfad eines jeden Messgerätes aus technischen Gründen nie exakt gleich übertragen. Die spektrale Variation der Übertragungskurve (oft auch „Linearität“ genannt) gibt an, wie stark die Amplitude der übertragenen Signale von der Frequenz des Signals abhängt. Anzustreben sind hier möglichst kleine Variationen, da anderenfalls Signalanteile mit differenten Frequenzen durch das Messgerät ungewollt gewichtet werden und diese Wichtung in sämtliche Kennwerte einfließt.

Empfehlung: spektrale Variation im wichtigsten OEMG-Signalbereich (25…500 Hz) kleiner als ± 0,5 dB (ca. ± 5 %)

  •  d) EingangsimpedanzDie Eingangsimpedanz bipolarer OEMG-Verstärker sollte im gesamten OEMG-Bereich (mindestens bis 500 Hz) mindestens 100 Megaohm erreichen. Dadurch wird sichergestellt, dass Signale auch bei relativ großem Übergangswiderstand zwischen Haut und Elektrode nur minimal beeinflusst werden. Da die Eingangsimpedanz grundsätzlich frequenzabhängig ist, muss deren Minimum im OEMG-Frequenzbereich oder ihr spektraler Verlauf angegeben sein. Nicht verwechselt werden darf die Eingangsimpedanz mit dem oft mehreren Gigaohm betragenden Gleichspannung-Eingangswiderstand (oft: „Eingangswiderstand“).
  •  e) Auflösung und MessbereichDie Auflösung (Amplitudenauflösung) und der Messbereich (Amplituden-Messbereich), d. h. die größten noch messbaren Signale, werden von der Verstärkung der gesamten Signalkette und vom Analog-Digital-Wandler bestimmt. Die Auflösung gibt an, wie groß die Amplitudendifferenz zwischen zwei Rohsignalen mindestens sein muss, damit sie nach der Analog-Digital-Wandlung noch als unterschiedliche Signale identifizierbar sind. Vereinfachend kann die Auflösung als Amplitude des kleinsten noch messbaren Signals verstanden werden.Der Messbereich gibt die größte ohne Verzerrung (Zerstörung) des Signals noch messbare Amplitude an. Abhängig vom verwendeten Analog-Digtal-Wandler müssen in OEMG-Messgeräten ggf. mehrere Verstärkungsstufen schaltbar sein, um sowohl eine gute Auflösungen als auch einen hinreichend großen Messbereich zu gewährleisten. Als Faustregel kann gelten, dass bei Digitalisierung des Rohsignals mit weniger als 15 Bit eine Verstärkungsumschaltung vorhanden sein sollte. (Die Auflösung des Analog-Digital Wandlers wird als Exponent von 2 – Binary digit – Bit – angegeben. 15 Bit entsprechen 215 = 32 768 Stufen). Bei einer Digitalisierung ab 15 Bit ist eine Variation der Verstärkung i.d.R. nicht notwendig. Eine Analog-Digital-Wandlung mit weniger als 10 Bit ist für OEMG-Rohsignale nicht geeignet.

Empfehlung: Auflösung 2 Mikrovolt; Messbereich 16 Millivolt Spitze-Spitze (16 mVpp)

  •  f) RauschenElektronische Bauteile erzeugen stets ein „Rauschen“, d. h. ein stochastisches Störsignal. OEMG-Signale, die kleiner als dieser Rauschpegel sind, können nicht mehr vom Störsignal unterschieden und damit nicht mehr gemessen werden. Es gibt verschiedene Möglichkeiten, das „Eigenrauschen“ des OEMG-Messgeräts anzugeben. Für den Anwender am verständlichsten ist der Effektivwert des auf das Eingangssignal bezogenen Rauschpegels über den gesamten erfassten OEMG-Signalbereich.

Empfehlung: Effektivwert (Root mean square = RMS) des Rauschpegels über den OEMG-Signalbereich von 0 bis 500 Hz kleiner als 2 Mikrovolt.

Weitere Informationen und Details zu den genannten Punkten finden sich bei Merletti u. Parker (2004, Kap.  5).

4 Digitale Signalverarbeitung

4.1 Zeit-Frequenz-Transformation

Mittels verschiedener mathematischer Verfahren kann das OEMG-Rohsignal vom Zeit- in den Frequenzbereich transformiert werden. Dabei entsteht aus dem ursprünglichen Zeit-Signalspannungs-Zusammenhang (Rohsignal) ein dreidimensionaler Zeit-Frequenz-Signalspannungs-Zusammenhang. Die zusätzlich abgeleiteten Frequenzinformationen ermöglichen erweiterte Filtermethoden und die Berechnung von zusätzlichen Kennwerten. Digitale Filtermethoden erlauben eine sehr präzise und leicht anpassbare Signalfilterung. Dadurch können z. B. die Netzfrequenz inklusive ihrer Oberwellen selektiv gefiltert werden, ohne große Anteile aus dem ursprünglichen OEMG-Rohsignal zu verlieren. Außerdem kann das OEMG-Signal auf gewünschte Frequenzbereiche eingegrenzt (gefiltert) werden.

Darüber hinaus können aus dem Frequenzbereich OEMG-Kennwerte berechnet werden, die im Zeit-Signalspannungs-Zusammenhang nicht ermittelbar sind. Beispiele sind die Median- und Mittenfrequenz sowie spektrale Bandleistungsverhältnisse.

4.2 Erkennen und Beseitigen von Störungen

Frequenzkonstante Störungen: Frequenzkonstante Störungen sind Störungen durch elektromagnetische Felder wie sie von Kabeln, elektrischen Maschinen und Funksendern ausgehen. Diese sind durch konstante Frequenzen gekennzeichnet (Beispiel: Netzfrequenz und ihre Oberwellen). Im Frequenzbereich können diese durch manuelles Entfernen oder Korrigieren der entsprechenden spektralen Werte in den Rohdaten leicht beseitigt werden.

Bewegungsartefakte, Übersteuerung, gelöste Elektroden: Bewegungsartefakte entstehen unter anderem durch schnelle Bewegungen, mechanische Belastungen (Zug oder Druck) der Elektroden sowie jede Art von Bewegung der Elektrode auf dem Muskel. Bewegungsartefakte erzeugen in der Regel kurzzeitige Störungen im OEMG-Signal, die unter anderem durch relativ hohe Signalanteile im unteren Frequenzbereich bis etwa 20 Hz gekennzeichnet sind (De Luca 2002). Gelöste Elektroden führen zu ähnlichen Signalstörungen, die jedoch eine deutlich höhere Amplitude aufweisen. Gestörte Signalabschnitte können manuell oder mittels komplexer softwarebasierter Filteralgorithmen entfernt werden. Manuelle Verfahren erfordern die Sichtung der gesamten Rohdaten. Starke Bewegungsartefakte können außerdem zu Übersteuerungen im Signalpfad führen: OEMG-Messgeräte können eingehende Signalspannungen nur bis zu einer bestimmten Größe verarbeiten. Signale, deren Spitzenwerte darüber hinausreichen, werden „abgeschnitten“. Diese Übersteuerungen können aus mechanischen Belastungen der Elektroden, aus (teilweise) gelösten Elektroden aber auch aus unerwartet hohen Muskelanspannungen (Kraftspitzen) resultieren. Eine Korrektur ist prinzipiell nicht möglich, stark gestörte Signalbereiche müssen entfernt werden.

Störungen durch die elektrische Herzaktivität: Bei der Ableitung herznaher Muskeln können starke Einstrahlungen der elektrischen Herzaktivität auftreten. Die Wirkung dieser Störungen auf die aus dem OEMG ermittelten Kenngrößen hängt vom Verhältnis zwischen der Größe des Störsignals (hier: Elektrokardiogramm, EKG) und des Nutzsignals (hier: OEMG) ab. Als Faustregel kann gelten, dass das EKG-Signal erst dann nennenswerten Einfluss auf die ermittelten OEMG-Kenngrößen hat, wenn es im Rohsignal zu erkennen ist.

Eine zusätzliche bipolare EKG-Ableitung ermöglicht es, das EKG-Störsignal aus dem OEMG-Signal mittels template-basierter Filterung zu entfernen, d. h. das ungestörte OEMG-Signal zu rekonstruieren. Die dafür notwendigen Algorithmen sind jedoch komplex und deshalb meist wissenschaftlichen Anwendungen vorbehalten.

Eine einfache Möglichkeit zur Entfernung des EKG-Störsignals bietet die EKG-synchronisierte Datenanalyse in Verbindung mit Hochpassfilterung. Hierbei wird die R-Zacke des EKG-Signals als Trigger verwendet und das während der Zeit des QRS-Komplexes erfasste OEMG-Signal nicht in die Datenanalyse einbezogen. Die noch verbliebenen Anteile des EKG-Störsignals erzeugen ausschließlich niederfrequente Störungen und werden durch Hochpassfilterung des OEMG-Signals mit einer Grenzfrequenz ab 16 Hz eliminiert. Als Konsequenz muss in Kauf genommen werden, dass zeitliche Lücken in OEMG-Signal entstehen, die jedoch nur dann nennenswerten Einfluss auf die ermittelten Kenngrößen haben, falls muskuläre Aktivitäten zu analysieren sind, die in ihrer Frequenz mit dem Herzrhythmus korrelieren.

5 Zielgrößen von Analysen mittels OEMG

Arbeitswissenschaftliche und arbeitsmedizinische Fragestellungen beschäftigen sich mit der Untersuchung der Funktion und Inanspruchnahme von Muskeln bei beruflicher Arbeit und insbesondere mit der Charakterisierung der muskulären Beanspruchung und Ermüdung. Dabei werden folgende Zielgrößen von Untersuchungen mittels OEMG von den Verfassern dieser Leitlinie als bedeutsam erachtet:

  • Beanspruchung – Kraftanforderungen an die Muskulatur
  • Beanspruchung – Anforderungen an Motivation, Präzision und Bewegungsgeschwindigkeit
  • Muskuläre Ermüdung
  • Differenzierung von statischen und dynamischen Beanspruchungsanteilen
  • Seitenvergleiche (Vergleiche zwischen Muskeln der rechten und linken Körperhälfte)

Auf der Grundlage dieser Zielgrößen können je nach Untersuchungsansatz z. B. „physiologische Kosten“ ermittelt werden, d. h. für die Quantifizierung dessen, was der Organismus an Muskelaktivierung aufwenden muss, um bei gegebenen Arbeitsverhältnissen eine Aufgabe zu verrichten. Zudem ermöglichen es die genannten Zielgrößen Hinweise auf psychische Beanspruchungen zu ermitteln.

Kenngrößen der OEMG: Die Verarbeitung des OEMG-Rohsignals erfolgt vor allem durch zeitbasierte und frequenzbasierte Methoden. Neben den im Folgenden beschriebenen etablierten Methoden findet man in der Literatur weitere Signalverarbeitungsmethoden mit teilweise komplexen Berechnungsmethoden, die in einer Übersichtsarbeit von Cifrek et al. (2009) zusammengefasst werden.

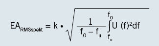
Elektromyographische Aktivität: Die zeitliche Dichte von Summenaktionspotenzialen manifestiert sich in der gemessenen mittleren Amplitude des i. d. R. durch Filterung und Digitalisierung bearbeiteten OEMG-Rohsignals und wird auch als „Elektromyographische Aktivität – EA“ bezeichnet. Sie reflektiert die Muskelerregung und korreliert weitgehend mit der aufgebrachten Muskelkraft. Ermüdung führt zu einem Anstieg der am nicht ermüdeten Muskel gemessenen EA-Kraft-Kennlinie, da im Verlauf einer anhaltenden Muskelaktivität eine ansteigende Muskelinnervation zur Aufrechterhaltung der Kraft notwendig wird. Die EA kann auch zur Bestimmung der sog. physiologischen Kosten bestimmt werden (s. unten, „Physiologische Kosten“). Im Laufe der Zeit wurden verschiedene Kennwerte der EA entwickelt, die nebeneinander verwendet werden. Die Berechnung der elektromyographischen Aktivität als Effektivwert aus dem Frequenz-Leistungs-Spektrum (EARMSspekt – root mean square) ist das modernste und – wegen der Möglichkeit der digitalen Filterung von Signalstörungen und der Einschränkung auf genau definierte Frequenzbänder – derzeit vorteilhafteste, jedoch auch aufwändigste Berechnungsverfahren. Der angegebene Skalierungsparameter „k“ wird durch den verwendeten Algorithmus zur Zeit-Frequenz-Transformation und dessen Parameter und eine evtl. vor der Transformation angewandte Fensterfunktionen determiniert.

Wenn auf die digitale Filterung von Störungen weitgehend verzichtet werden kann (z. B. in elektromagnetisch abgeschirmter Umgebung), führt die Berechnung der EA als Effektivwert (EARMS) aus dem Rohsignal im Zeitbereich zu exakt gleichen Ergebnissen.

Ein weiterer Kennwert der EA, der in einfacher Weise ebenfalls unmittelbar aus dem Zeitsignal berechtet werden kann, ist der „gemittelte gleichgerichtete Wert“ (EAARV – average rectified value).

Obwohl die Kennwerte untereinander nicht gleich sind, repräsentieren sie letztlich alle die myoelektrische Aktivität eines Muskels und liefern dementsprechend vergleichbare Ergebnisse.

Spektrale Bandleistungsverhältnisse: Ein spektrales Bandleistungsverhältnis ist das Verhältnis zweier Anteile aus dem gesamten Frequenz-Leistungsspektrum, die durch Definition zweier Frequenzbänder gebildet werden. Das Verhältnis ändert sich mit variierender Kraftanforderung und variierender muskulärer Ermüdung.

Medianfrequenz – Mittenfrequenz: Median- und Mittenfrequenz sind Kennwerte aus dem Frequenz-Leistungsspektrum (Frequenz-Amplituden-Spektrum mit quadrierter Amplitude). Sie verändern sich in Abhängigkeit von der Kraftanforderung an den Muskel und dessen Ermüdung. Median- und Mittenfrequenz sind Kennwerte, genauer: „Lageparameter“, aus dem Frequenz-Leistungsspektrum des OEMG-Rohsignals. Ihre Lage wird dementsprechend von der Verteilung der elektrischen Leistung über die im Signal enthaltenen Frequenzen bestimmt.

Die Medianfrequenz (MedF, teilweise auch mit „MF“ abgekürzt) ist dabei die Frequenz, die das Frequenz-Leistungsspektrum so teilt, das die beiden Teilflächen oberhalb und unterhalb der Medianfrequenz gleiche Inhalte aufweisen.

Die Mittenfrequenz (hier MittF, auch MF – mean frequency oder MPF – mean power frequency) ergibt sich aus dem Frequenz-Leistungsspektrum, indem jede enthaltene Frequenz mit der ihr zugehörigen spektralen Leistung (dem Quadrat der spektralen Amplitude) gewichtet wird und daraus die mittlere aller einbezogenen Frequenzen berechnet wird.

Die Medianfrequenz wird im Vergleich zur Mittenfrequenz deutlich weniger von geringfügigen Störungen im OEMG-Rohsignal beeinflusst. Die Mittenfrequenz reagiert dafür jedoch sensibler auf spektrale Verschiebungen der Leistung.

5.2 Normalisierung der OEMG Kennwerte

Die OEMG unterliegt einer hohen inter- und intraindividuellen Variabilität. Dies wird durch anatomische und physiologische Unterschiede in der Muskulatur begründet (Burden et al 2010), nicht zuletzt auch, weil die Signale durch verschieden dickes subkutanes Fettgewebe unterschiedlich stark gedämpft werden (Nordander et al. 2003). Um Vergleiche zwischen verschiedenen Individuen, Muskeln, Untersuchungstagen oder Studien zu ermöglichen, ist die Kalibrierung auf einen definierten Referenzwert in vielen Fällen sinnvoll (Sodeberg u. Knutson 2000). Parallel zu dem Begriff „Normalisierung (in Bezug setzen)“ werden in anderen Bereichen auch die Begriffe Kalibrierung, Normierung, Standardisierung oder im Englischen“ normalization“ oder „standardization“ verwendet. Hierbei wird das OEMG-Signal des Zielmuskels stets in Bezug zum OEMG-Signal der Referenzsituation gesetzt. Die sorgfältige Aufbereitung der Ausgangsdaten des OEMG-Rohsignals zu standardisierten elektromyographischen Aktivitäten sEA wurde bereits von Müller et al. (1988, 1989) zur Auswertung elektromyographischer Zeitserien gefordert. Die am häufigsten verwendete Normalisierungsmethode ist die Normalisierung in Bezug auf die maximale willkürliche isometrische Muskelkontraktion (MVC).

Allerdings ist die MVC als Normalisierungsmethode nicht unumstritten. Man nimmt an, dass bei ungeübten Personen die MVC um bis zu 20–40 % unterhalb des tatsächlichen Maximums liegen kann (Sodeberg u. Knutson 2000). Dennoch scheint diese Normalisierungsmethode bei einer ausreichenden Übungsphase für ausgewählte Muskeln der Extremitäten geeignet. Die Bestimmung der MVC ist jedoch nicht für jeden Muskel praktikabel. Daher kommen verschiedene alternative Normalisierungsmethoden zum Einsatz: Eine typische Methode stellt die Normalisierung auf den geringsten, den Mittel- oder Maximalwert des betrachteten Kennwerts einer Tätigkeit dar. Dieser Ansatz scheint insbesondere für Felduntersuchungen eine adäquate Möglichkeit zu sein. Diese Bezugswerte müssen allerdings bei jeder Versuchsperson in derselben Bedingung vorliegen, um die Vergleichbarkeit der Daten zwischen den Probanden nicht einzuschränken. Ferner können alle einzelnen EA-Werte aus vorher festgelegten Messabschnitten – z. B. 1- oder 5-min-Mittelwerten – auf den Durchschnittswert einer kompletten Versuchsserie mit mehreren Messwiederholungen bei mehreren Parametervariationen bezogen werden. Weitere Normalisierungsmethoden sind definierte, submaximale Muskelkontraktionen und relative submaximale Muskelkontraktion. Die Bezugnahme der EA zu einer definierten Ausübungskraft erscheint zunächst ideal, bleibt jedoch wegen des flexiblen Zusammenwirkens verschiedener Muskeln zu einer Gesamtkraft und der eingeschränkten Linearität nicht ohne weiteres anwendbar. Letztlich muss im Hinblick auf das Untersuchungsvorhaben abgewogen werden, welche Normalisierungsmethode am sinnvollsten erscheint. Zur Bestimmung der physiologischen Kosten einer Tätigkeit ist eine Normalisierung zwingend notwendig (siehe„Physiologische Kosten“). Eine Begründung der verwendeten Normalisierungsmethode sollte im Methodikteil von OEMG-Studien angegeben werden, ebenso wie eine genaue Beschreibung der Durchführung der Normalisierungsmessung. Die vorgenannten Normalisierungsversuche ermöglichen je nach Aufwand zumindest interindividuelle Vergleiche der Messdaten der gleichen Muskeln. Intermuskuläre Vergleiche müssen jedoch immer im Hinblick auf physiologische Unterschiede in der Muskulatur gesehen werden.

5.3 Interpretationsmöglichkeiten der Kennwerte in Hinblick auf die Zielgrößen

Die folgenden Ausführungen stellen Interpretationsmöglichkeiten der Zielgrößen dar. Sie sind von Wissenschaftlern, Ergonomen und Arbeitsmedizinern mit mehr- bis langjähriger Erfahrung im Feld der OEMG in einem Konsensprozess erstellt worden. Vergleichende Studien, aus denen Empfehlungen mit verschiedenen Evidenzgraden abzuleiten wären, liegen derzeit nicht vor. Wissenschaftliche Untersuchungen haben stets nur eine Auswahl von Beanspruchungen betrachtet, und die jeweils eingesetzten Analysemethoden wurden in der Regel nicht verglichen. Nachfolgend wird eine Auswahl von Interpretationsverfahren vorgestellt, da es die Vielzahl möglicher Beanspruchungen an unterschiedlichen Arbeitsplätzen nicht erlaubt, sämtliche analytische Aspekte im Rahmen dieser Leitlinie detailliert zu erläutern.

Beanspruchung – Kraftanforderung: Da die elektromyographische Aktivität (EA) mit der Kraftanforderung eines Muskels weitestgehend eng zusammenhängt, kann bei geeigneter Ermittlung des individuellen Zusammenhangs zwischen Kraft und Aktivität aus der EA auf die in der Untersuchungssituation aufgebrachte Muskelkraft geschlossen werden, darauf basieren bereits erwähnte Interpretationsmöglichkeiten wie z. B. die physiologischen Kosten (s. unten). Der Rückschluss von der EA auf die Kraftanforderung ist allerdings nur dann möglich, wenn keine muskuläre Ermüdung vorliegt. Unter dynamischen Bedingungen erschweren Verschiebungen der Elektroden und Veränderungen der Muskelfaserlänge bzw. -dicke die Interpretation, da zusätzliche Veränderungen im EMG-Signal entstehen. Weitere Interpretationsmöglichkeiten bietet die JASA Methode (Luttmann et al. 1996b; s. unten, Abschnitt „Ermüdung“).

Das EMG-Signal zeigt die Beanspruchung des Muskels durch eine abverlangte Muskelkraft an. Die Beanspruchung hängt ab von der Leistungsfähigkeit des Muskels sowie vom aktuellen Zustand der Ermüdung durch Belastungen vor dem Messzeitpunkt. Um diese Beanspruchung zu bewerten, wird sie als Anteil der maximalen Beanspruchung gekennzeichnet. Dazu wird die EA bei maximaler Muskelkontraktion bestimmt und das Ergebnis der gemessenen EA bei einer Arbeitsbelastung auf diesen Maximalwert bezogen. Eine mögliche Fehlerquelle liegt in der Motivation der untersuchten Person eine Muskelkontraktion mit maximalem Krafteinsatz zu erbringen. Ein Belastungsmaß kann aus dem OEMG-Signal nicht direkt abgeleitet werden. Vielmehr müssen die einwirkenden Arbeitseinflüsse (Kräfte, Lasten, Haltungen etc.) beschrieben und aufgrund der gemessenen Beanspruchung nach hierarchischen arbeitswissenschaftlichen Kriterien hinsichtlich Ausführbarkeit, Erträglichkeit Zumutbarkeit oder Persönlichkeitsförderlichkeit bewertet werden. Tätigkeitsbezogene OEMG-Daten, die nicht auf die OEMG-Daten bei MVC oder anderer Normalisierungsmethoden normalisiert wurden, sind in diesem Sinne allenfalls als Belastungsdaten, nicht jedoch als Beanspruchungskennwerte interpretierbar, da sie ohne entsprechende Normalisierung noch nicht im Sinne des Grades eines mehr oder weniger starken Ausschöpfens eines Leistungs- bzw. Kraftpotenzials zu beurteilen sind.

Die Skalierung der Beanspruchung darf wiederum nicht im Sinne einer Belastung interpretiert werden. So sind die Aktivitätswerte für die gleiche Tätigkeit bei Frauen in der Regel 30–50 % höher als bei Männern, da Männer eine größere Muskelmasse besitzen (Hettinger 1994) und ergo relativ weniger Kraft für die gleiche Tätigkeit aufwenden müssen.

Kraftspitzen (hier definiert als Spitzen in der EA), die den Mittelwert der EA einer Arbeitsaufgabe deutlich überschreiten, längere statische Kraftanforderungen sowie eine hohe Repetition von Kraftanforderungen sollten einer weiteren Ursachenanalyse unterzogen werden.

Ermüdung: Bei garantiert gleichbleibender Kraftanforderung kann Ermüdung durch eine ansteigende EA qualifiziert und unter Zuhilfenahme einer aufwändigen Kalibrierungsprozedur mit bekannter Ermüdung quantifiziert werden.

Liegt eine Tätigkeit mit variierender Kraftanforderung vor, so ist die Ermüdungsanalyse allein mittels der EA nicht mehr möglich, da die EA sowohl von der Kraft als auch von der Ermüdung abhängt. Die zusätzliche Betrachtung eines Kennwertes des Frequenz-Leistungsspektrums ermöglicht auch bei wechselnder oder gleichzeitiger Variation von Kraftanforderung und Ermüdung eine qualitative Beschreibung des muskulären Zustands. Die Joint Analysis of Spectrum and Amplitude (JASA) ist eine Methode die solche Kennwerte vereint (Luttmann 1996b). Sie basiert auf der Beobachtung einer steigenden Amplitude und gleichzeitig sinkenden Median- oder Mittenfrequenz bei zunehmender lokaler Muskelermüdung sowie einem Ansteigen der Median- oder Mittenfrequenz bei zunehmender Kraftanforderung (vgl. Beispiel 1 in Teil 2).

Obwohl die verbundene Analyse von Kenngrößen aus dem Zeit- und dem Frequenzbereich erweiterte Möglichkeiten bietet, sind Kenngrößen aus dem Frequenzbereich im Vergleich zur Elektrischen Aktivität bis heute deutlich weniger untersucht. Vergleichende Untersuchungen haben gezeigt, dass sich für Muskeln unterschiedlicher Größe, Leistungsfähigkeit und Faserzusammensetzung erhebliche Unterschiede für das Verhalten des EMG im Zeit- und Frequenzbereich bei Ermüdung ergeben (Luttmann et al. 2004). Deshalb sollte nicht von einer einfachen Übertragbarkeit der vorstehend beschriebenen Erläuterung auf beliebige Muskeln und beliebige Kraftbereiche ausgegangen werden. Im Vorfeld von OEMG-Analysen werden Pilotversuche an den ausgewählten Muskeln mit definierten Kräften empfohlen.

Muskuläre Ermüdung muss nicht zwingend kritisch gesehen werden. Beispielsweise erfordert die Erhöhung der muskulären Leistungsfähigkeit durch Muskeltraining eine vorausgehende Ermüdung. Ein Wechsel zwischen Ermüdung und Erholung im Laufe eines mehrstündigen Arbeitsprozesses ist ebenso eher positiv zu werten. Kommt es innerhalb eines Arbeitstags jedoch zu gehäuften Ermüdungserscheinungen, ist dies in der Regel ein Zeichen einer Überbeanspruchung der Muskulatur. Besonders kritisch sind dabei einseitige Belastungen zu bewerten. Eine Ermüdung, die vorwiegend auf dynamischer Muskelbeanspruchung basiert, ist in der Regel weniger kritisch zu beurteilen als Ermüdungen durch längere statische Beanspruchungen.

Anteile statischer und dynamischer Beanspruchung: In den Maxima und Minima von EA-Zeitserien als Korrelat von zyklischen Aktivierungen eines Muskels steckt wesentlich mehr an interpretationsfähiger Information als in einem arithmetischen Mittelwert. Minima stellen die Aktivität in der Erschlaffungsphase eines Muskels dar, Maxima repräsentieren die Kontraktionsphase eines Muskels. Die mittlere Differenz zwischen Maxima und Minima kann deshalb den Bewegungen oder Kraftvariationen zugeschrieben werden. Sie stellt damit die dynamische Komponente der Muskelbeanspruchung dar. Die mittleren Minima repräsentieren die quasi-statische Grundaktivierung. Eine solche Differenzierung der statischen und dynamischen Anteile ist physiologisch durch die verschiedenen Ermüdungswirkungen zu begründen: Während dynamische Kontraktionen die Muskeldurchblutung durch Kapillarkräfte, metabolische Gefäßerweiterung und Muskelpumpe unterstützen, wird bei statischen Kontraktionen die Muskeldurchblutung durch den Innendruck gehemmt. Zur Vermeidung von Artefakten empfiehlt sich die Bestimmung der Extremwerte aus der Mittelung über einen zu definierenden Zeitabschnitt eines einzelnen Zyklus und eine anschließende Mittelung über mehrere Zyklen als physiologisches „Abbild“ repetitiver Bewegungen. Werden die Extrema z. B. aus einer Spanne von 5 % bestimmt, so können die so ermittelten Maxima und Minima als 95- und 5-Perzentilwerte interpretiert werden. Eine Mittelung über definierte Zeitabschnitte liefert in der Regel reliable Extremwerte. Handelt es sich um rein statische Arbeit, erübrigen sich die oben beschriebenen Prozeduren. Zusammenfassend wird eine über einen längeren Zeitraum gleichbleibende EA als statische Muskelbeanspruchung angesehen. Phasen variierender EA stellen dynamische Aktivitäten dar. Im Falle gleichzeitigen Auftretens statischer und dynamischer Beanspruchungen kann die über einen längeren Zeitraum stabile Untergrenze der EA als statischer Anteil der Beanspruchung betrachtet werden. Die Differenz zwischen Ober- und Untergrenze der EA entspricht bei dieser Betrachtungsweise dem dynamischen Anteil (vgl. Müller et al. 1988).

Bestimmung der physiologischen Kosten: In den letzten Jahren wurden reichhaltige Erfahrungen gesammelt mit mehrkanaligen, rechnergestützten elektromyographischen Verfahren, mit denen letztlich die ergonomische Qualität von Arbeitsplätzen mit manuellen Tätigkeitsmerkmalen und handgeführten Arbeitsmitteln bestimmt wurde (Strasser 2007). Hierbei kam das Konzept der „physiologischen Kosten“ (Strasser u. Ernst 1992) zur Anwendung. Wie oben geschildert werden die „physiologischen Kosten“ auf der Basis von EA-Daten ermittelt, die in bestimmten Aktivitätssituationen gemessen wurden und auf den maximal möglichen EA-Wert eines Muskels bezogen werden. So konnte z. B. bei Arbeitsmitteln, an die Hand anzulegen ist, untersucht werden, ob mehr oder weniger die Gleichung „menschengerecht = handgerecht“ erfüllt ist, d. h. die Arbeitsmittel mehr oder weniger mit dem Hand-Arm-System kompatibel sind. Hierbei konnte in vergleichenden Untersuchungen ein „Mehr“ oder „Weniger“ an physiologischen Kosten objektiviert werden, d. h. der physiologische Aufwand ausgewiesen werden, der in die Handhabung von z. B. handgeführten Arbeitsmitteln (Strasser 2000; Kluth et al. 2004; Kluth u. Strasser 2006) oder stationären Arbeitsmitteln an Computerarbeitsplätzen (Strasser et al. 2007) von entsprechenden, in die Arbeit involvierten Muskeln zu investieren war (vgl. auch Beispiel 2 in Teil 2).

So sind in der skandinavischen und angloamerikanischen Literatur wie auch z. B. in den Niederlanden elektromyographische Verfahren – wenn auch oftmals beschränkt auf punktuelle Kurzzeitmessungen – im Verbund mit subjektiven und operationellen Erhebungsmethoden für das Layout von Handwerkzeugen – nach den Pionierleistungen von Tichauer (1978) – seit einiger Zeit bereits zur Regel geworden (vgl. u.a. Marras 1990; Eklund u. Freivalds 1993; Kilbom et al. 1993; Kumar u. Mital 1996; Laursen et al. 2002; Hoozemans u. van Dieen 2005; Arvidson et al. 2007; Bruno Garza et al. 2012).

Seitenvergleich und muskuläre Koordination: Von hoher Bedeutung ist die Betrachtung der Kennwerte in Hinblick auf ihre Symmetrie zwischen der rechten und linken Körperhälfte. Beim Vergleich von Muskeln der einen Körperhälfte mit denen der anderen bzw. für Aussagen bezüglich einer symmetrischen oder asymmetrischen muskulären Aktivität ist eine Normalisierung der betrachteten Muskulatur unumgänglich.

Kurzzeitige Asymmetrien zwischen rechts und links erscheinen unbedenklich, wohingegen Asymmetrien über einen gesamten Arbeitstag einen klaren Hinweis auf eine ungünstige Gestaltung des Arbeitsplatzes und/oder des Arbeitsablaufs liefern.

Erheblich komplexer ist die Beurteilung des Zusammenspiels von Agonist, Synergisten und Antagonisten. Zusätzlich zur Muskelaktivität und ggf. der muskulären Ermüdung sollten hier auch Variationen der Aktivierungs- und Deaktivierungszeitpunkte Berücksichtigung finden.

Feinmotorische Anforderungen durch Präzision und hohe psychomentale Anforderungen. Belastungen bei feinmotorischen Anforderungen durch sowie bei hohen psychomentalen Anforderungen führen zu Aktivierungen auch von Muskeln, die nicht direkt an der Ausführung der Tätigkeit beteiligt sind.

Dabei kommt es zu einer Muskelbeanspruchung, die mit der OEMG beurteilt werden kann:

  • Bei feinmotorischen Arbeiten tritt eine begleitende andauernde und teils hohe Muskelanspannung auch in Muskelgruppen auf, die zur Stabilisierung von Gelenkstellungen und zur präzisen Bewegung der für die Handlung erforderlichen Muskeln beitragen (Kokontraktion). Diese nicht direkt an der Ausführung der Bewegungen beteiligten Muskeln müssen mit einbezogen werden, um die Beanspruchung hinreichend abzubilden.
  • Bei hohen psychomentalen Anforderungen kommt es häufig zur Anspannung von Muskeln, die teils als belastend und teils als schmerzhaft empfunden werden kann. Typische Lokalisationen sind die Schultermuskulatur (besonders der M. trapezius pars descendens) und die Stirnmuskulatur.

Beispiele für derartige Konstellationen zeigen die nachfolgenden ausgewählten Literaturzitate: Beispielsweise zeigten Wærsted et al. (1994) in einem Laborexperiment mit komplexen Zweifachwahl-Reaktionstests, dass neben der Fingerbewegung zur Eingabe

  • zusätzliche Anforderungen an die Geschwindigkeit die Fehlerrate erhöhten, nicht aber die elektromyographische Aktivität (EA) im Trapezmuskel,
  • bei Rückmeldung zur erreichten Reaktionsgeschwindigkeit sich die Leistung erhöhte, jedoch nicht die EA,
  • sich die EA im Trapezmuskel verdoppelte, falls zur Motivation zusätzlich eine Geldprämie angeboten wurde und
  • sich die EA im Trapezmuskel ebenfalls signifikant erhöhte, ebenso wie die Reaktionszeit, jedoch ohne die Fehlerrate signifikant zu verbessern, falls eine Geldprämie für möglichst gute Testleistung angeboten wurde.

Die Herzfrequenz reagierte in allen Experimenten gleichsinnig wie die Aktivität im Trapezmuskel und zusätzlich zu den beschriebenen Effekten stieg die statische Komponente der Muskelaktivität im Laufe der Experimente kontinuierlich an.

In einer Studie von 1996 untersuchten Wærsted und Westgaard, welche Muskeln bei einer Wahl-Reaktion-Aufgabe aktiviert wurden. Die Auswertung konzentrierte sich auf die Frage, ob eine statische Muskelaktivität während des Experiments in aufgaben-irrelevanten Muskeln nachgewiesen werden konnte. Bei allen zwanzig in die Untersuchung einbezogenen Muskeln zeigte sich während der Experimente eine messbare Erhöhung der Muskelaktivität, die für den Stirnmuskel am höchsten war (im Mittel 2,2 % der Aktivität bei Maximalkraft). Eine mittlere Aktivität von > 0,7 % fanden die Autoren beim oberen Trapezmuskel rechts und links, sowie beim linken medialen Gastrocnemius. Der statische Anteil dieser Aktivität war in den genannten Muskeln zu mehr als 70 % der Messdauer nachweisbar.

Eine beispielgebende Studie wurde von Laursen et al. (1997) veröffentlicht. Sie untersuchten, wie sich Anforderungen an die Präzision und Geschwindigkeit bei Zielbewegungen mit einem Stift auf Muskeln im Nacken-Schulter Bereich auswirkten. Eine OEMG-Aufzeichnung erfolgte an dreizehn Messpunkten. Der statische Anteil an der Aktivität wurde entsprechend der Formel von Jonsson (1988) bestimmt und entspricht dem 10. Perzentil des gleichgerichteten und normalisierten OEMG-Signals. Das experimentelle Protokoll verlangte, dass in neun Teilversuchen, die aus der Kombination von geringen, mittleren und hohen Anforderungen an Präzision und/oder der Geschwindigkeit zusammengestellt waren, wiederholt langsamer oder schneller kleinere oder grössere Ziele mit einem Stift markiert wurden.

Varianzanalytisch wurde gezeigt, dass alle neun abgeleiteten Muskeln auf dieselbe Art mit einer zusätzlichen mittleren Aktivität auf eine Erhöhung der Präzisions- und Geschwindigkeitsanforderungen reagierten. Der höchste statische Aktivitätsanteil zeigte sich im Supraspinatusmuskel (um und über 10 % der Maximalaktivität), im oft untersuchten pars descendens des Trapezmuskels erreichte er um 5 % der Maximalkraft.

Die Analyse zeigt, dass neben der Beurteilung der Agonisten auch die Aktivität weiterer Muskeln, die ein Gelenk stabilisieren einbezogen werden sollten, um deren Mitbeanspruchung zu erfassen. Aus der Epidemiologie repetitiver Handtätigkeiten ist bekannt, dass die Kombination von Anforderungen an die Kraft und die Geschwindigkeit einen Risikofaktor für Überbeanspruchungsreaktionen darstellen, hier wurde aufgezeigt, dass die Kombination von Präzisionsanforderungen und Geschwindigkeit zu einem deutlich überadditiven Anstieg der Muskelaktivität führt, und dass dies auch für die statische Komponente zutrifft.

Viiser et al. (2004) bestätigten im Wesentlichen diese Ergebnisse. Sie fanden bei Laborexperimenten mit der Computermaus, dass Anforderungen an die Präzision zu einer signifikanten Erhöhung der Muskelaktivität im Handflexor führte und dass die verbale Aufforderung, ein möglichst gutes Resultat zu erreichen, signifikante Anstiege in allen drei gemessenen Muskeln, deutlich auch für den Trapezmuskel, verursachte.

Lundberg (2002) postulierte, dass psychosoziale Faktoren und mentaler Stress zusammen mit arbeitsbedingten mechanischen Belastungen zu erhöhter Muskelanspannung führen. Zeitdruck und fehlende Pausen bei der Arbeit und/oder Belastungen außerhalb der Arbeit (Kinderbetreuung, Haushaltarbeit) behindern gleichzeitig die Entspannung der Muskulatur als auch den Stressabbau. Viele Arbeitsanforderungen können zu einer geringen aber langdauernden Aktivierung von Muskeln führen. Damit ergibt sich das Risiko einer ununterbrochenen Aktivität einzelner motorischen Einheiten (Wærsted 2000).

Teil 2 der Leitlinie (Fazit und Anwendungsbeispiele) folgt in ASU 9/2013.

Literatur

Arvidsson I, Arvidsson M, Axmon A, Hansson GÅ, Johansson CR, Skerfving S: Musculoskeletal disorders among female and male air traffic controllers performing identical and demanding computer work. Ergonomics 2006; 49: 1052–1067.

AWMF und ÄZQ: Das Leitlinien-Manual. Z Ärztl Fortbild Qualsich (ZaeFQ) 2001; 95: Suppl.

Basmajian JV, De Luca CJ: Muscles alive - their functions revealed by electromyography . Baltimore: William & Wilkins, 1985.

Beck TW, Housh TJ, Cramer JT, Malek MH, Mielke M, Hendrix R: The effects of the innervation zone and interelectrode distance on the patterns of responses for electromyographic amplitude and mean power frequency versus isometric torque for the vastus lateralis muscle. Electromyogr Clin Neurophysiol 2008; 48: 13–25.

Bruno Garza JL, Eijckelhof BHW, Johnson PW, Raina SM, Rynell PW, Huysmans MA, van Dieën JH, van der Beek AJ, Blatter BM, Dennerlein JT: Observed differences in upper extremity forces, muscle efforts, postures, velocities and accelerations across computer activities in a field study of office workers. Ergonomics 2012; 55: 670–681.

Burden A: How should we normalize electromyograms obtained from healthy participants? What we have learned from over 25 years of research. J Electromyogr Kinesiol 2010; 20: 1023–1035.

Cifrek M, Medved V, Tonkovic S, Ostojic S: Surface EMG based muscle fatigue evaluation in biomechanincs. Clin Biomech 2009; 24: 327–340.

Clarys JP: Electromyography in sports and occupational settings: an update of its limits and possibilities. Ergonomics 2000; 43: 1750–1762.

Clarys JP, Scafoglieri A, Tresignie J, Reilly T, Van Roy P: Critical appraisal and hazards of surface electromyography data aquisition in sport and exercise. Asian J Sports Med 2010; 1: 69–80.

De Luca CJ: Surface Electromyography: Detection and Recording/DelSys Incorporated. 2002. Zugriff am 18.10.2012 unter http://www.delsys.com/Attachments_pdf/WP_SEMGintro.pdf

Einars W: Elektromyographie als arbeitswissenschaftliche Methode zur Beurteilung von lokaler Belastung, Beanspruchung und Ermüdung bei dynamischer Muskelarbeit. Dr.-Ing. Dissertation. München: Institut für Arbeitsphysiologie der TU München, 1979.

Eklund J, Freivalds A: Special Issue on Hand Tools for the 1990s. Applied Ergonomics 1993; 24.

Göbel M: Elektromyografische Methoden zur Beurteilung sensumotorischer Tätigkeiten. Dokumentation Arbeitswissenschaft, Bd. 40. Köln: Schmidt, Köln, 1996.

Göbel M: Electromyography. In: Stanton N et al. (eds.): Handbook of Human Factors and Ergonomics Methods. 19-1 to 19-8. London: Taylor & Francis Ltd., 2004.

Hermens H, Freriks B, Disselhorst-Klug C, Rau G: Development of recommondations for SEMG sensor and sensor placement procedures. J Electromyogr Kines 2000; 10: 361–374.

Hettinger T: Isometrisches Muskeltraining. Ecomed Verlagsgesellschaft, Landsberg/Lech, 1994.

Hoozemans MJM, van Dieën JH: Prediction of handgrip forces using surface EMG of forearm muscles. J Electromyography Kinesiol 2005; 15: 358–366.

Jonsson B: Electromyographic studies of job rotation. Scand J Work Environ Health 1988; 14 (Suppl 1): 108–109.

Kilbom A, Mäkäräinen M, Sperling L, Kadefors R, Liedber L: Tool Design, User Characteristics and Performance: A Case Study on Plate-Shears. Applied Ergonomics 1993; 24: 221–230.

Kluth K, Chung HC, Strasser H: Verfahren und Methoden zur Prüfung der ergonomischen Qualität von handgeführten Arbeitsmitteln – Professionelle Schraubendreher im Test. Schriftenreihe Ergo-Med. Band 5. Heidelberg: Dr. Curt Haefner-Verlag, 2004.

Kluth K, Strasser H: Ergonomics in the Rescue Service – Ergonomic Evaluation of Ambulance Cots. Int J Industr Ergonom 2006; 36: 247–256.

Kumar S, Mital A: Electromyography in Ergonomics. London: Taylor & Francis Ltd., 1996.

Laurig W: Elektromyographie als arbeitswissenschaftliche Untersuchungsmethode zur Beurteilung von statischer Muskelarbeit. Berlin, Köln, Frankfurt a.M.: Beuth, 1970.

Laurig W: Beurteilung einseitig dynamischer Muskelarbeit. Bd. 33 der Schriftenreihe „Arbeitswissenschaft und Praxis“. Berlin, Köln, Frankfurt a.M.: Beuth, 1974.

Laursen B, Jensen BR, Garde AH, Jørgensen AH: Effect of mental and physical demands on muscular activity during the use of a computer mouse and a keyboard. Scand J Work Environ Health 2002; 28: 215–221.

Laursen B, Jensen BR, Sjùgaard G: Effect of speed and precision demands on human shoulder muscle electromyography during a repetitive task. Eur J Appl Physiol 1997; 78: 544–548.

Lippold OCJ: Electromyography. In Venables PH & Martin I (Eds.) Manual of psychophysiological methods. New York: Wiley, 1967, pp. 247–297.

Lundberg U: Psychophysiology of work: stress, gender, endocrine response, and work-related upper extremity disorders. Am J Ind Med 2002; 41: 383–392.

Luttmann A: Untersuchung von Muskelbeanspruchung und -ermüdung mit Hilfe der Oberflächen-Elektromyographie – Teil 1: Physiologische Grundlagen und EMG-Kenngrößen. Zbl Arbeitsmed 2001; 51: 426–442.

Luttmann A, Jäger M, Laurig W. Untersuchung von Muskelbeanspruchung und -ermüdung mit Hilfe der Oberflächen-Elektromyographie – Teil 2: Anwendungen in arbeitsphysiologischen Feldstudien. Zbl Arbeitsmed 2001; 51: 443–461.

Luttmann A, Jäger M, Sökeland J, Laurig W: Electromyographical study on surgeons in urology, Part II: Determination of muscular fatigue. Ergonomics 1996; 39: 298–313.

Luttmann A, Sawatzki K, Jäger M. Zeitliches Verhalten von Elektromyogrammen bei Muskeln verschiedener Größe und Leistungsfähigkeit. Zbl Arbeitsmed 2004; 54: 74–82.

Marras WS: Guidelines Industrial Electromyography (EMG). Int. Journal of Industrial Ergonomics 1990; 6: 89–93.

Masuda T, Sadoyama T: Distribution of innervation zones in the human biceps brachii J Electromyogr Kines 1991; 1: 107–115.

Merletti R, ParkerPA: Electromyography: Physiology, Engineering, and Noninvasive Applications. IEE Press, 2004.

Müller KW, Ernst J, Strasser H: Eine Methode zur Fraktionierung der elektromyographischen Aktivität bei Beanspruchungsanalysen von repetitiven Tätigkeiten. Z Arbwiss 1988; 42: 147–153.

Müller KW, Ernst J, Strasser H: Ein Normierungsverfahren der elektromyographischen Aktivität zur Beurteilung einseitig dynamischer Muskelbeanspruchung. Z Arbwiss 1989; 43: 129–135.

Nordander C, Willner J, Hansson G-A, Larsson B, Unge J, Granquist L, Skerfving S: Influence of the subcutaneous fat layer, as measured by ultrasound, skinfold calipers and BMI, on the EMG amplitude. Eur J Appl Physiol 2003; 89: 514–519.

Rau G: Anwendung der Elektromyographie bei der Beurteilung körperlicher Momentan- und Langzeitbeanspruchung. Z Arbwiss 1977; 31: 112–120.

Schumann NP, Bongers K, Guntinas-Lichius O, Scholle HC: Facial muscle activation patterns in healthy male humans: A multi-channel surface EMG study. J Neurosci Methods 2010; 187: 120–128.

SENIAM Group. Zugriff am 18.10.2012 unter http://www.seniam.org/

Sodeberg GL, Knutson LM: A Guide for use and interpretation of kinesiologic electromyographic data. Phys Ther 2000; 80: 485–498.

Strasser H; Ergonomische Qualität handgeführter Arbeitsmittel – Elektromyographische und subjektive Beanspruchungsermittlung. Stuttgart: Ergon, 2000.

Strasser H: Electromyography: Methods and Techniques. In: Karwowski W (ed): International Encyclopedia of Ergonomics and Human Factors, Second Edition. Volume II, Part 12, Methods and Techniques, 3115–3118. London, New York: Taylor & Francis, 2006.

Strasser H: Assessment of the ergonomic quality of hand-held-tools and computer input devices. Volume 1. Ergonomics, Human Factors and Safety. Amsterdam, Berlin, Oxford, Tokyo, Washington DC: IOS Press, 2007.

Strasser H, Ernst J: Physiological Cost of Horizontal Materials Handling while Seated. Int J Industr Ergonom 1992; 9: 303–313.

Strasser H, Kluth K, Keller E: A Knowledge-based system for utilizing electromyographic methods for the measurement of physiological costs associated with operating hand-held tools and computer input devices. In: Strasser H (ed.): Assessment of the ergonomic quality of hand-held tools and computer input devices. Chapter 3, 41–55. Amsterdam: IOS Press, 2007.

Tassinary LG, Cacioppo JT, Vanman EJ: The Skeletomotor System: Surface Electromyography. In Cacioppo JT, Tassinary LG, Bernston GG Handbook of Psychophysiology. Cambridge: Cambridge University Press, 2007, pp. 267–303.

Tichauer ER: The Biomechanical Basis of Ergonomics – Anatomy Applied to the Design of Work Situations. New York: Wiley, 1978.

Visser B, De Looze MP, De Graaff MP, Van Dieën JH: Effects of precision demands and mental pressure on muscle activation and hand forces in computer mouse task., Ergonomics, 2004; 47: 202–217.

Wærsted M: Human muscle activity related to non-biomechanical factors in the workplace. Eur J Appl Physiol 2000; 83: 151–158.

Wærsted M, Bjørklund RA, Westgaard HR: The effect of motivation on shouldermuscle tension in attention-demanding tasks. Ergonomics 1994; 37: 363–376.

Wærsted M, Westgaard RH:. Attention-related muscle activity in different body regions during VDU work with minimal physical activity. Ergonomics 1996; 39: 661–676.

Zipp P: Recommendations for the standardization of lead positions in surface electromyography. Eur J Appl Physiol 1982; 50: 41–54.

Erste Fassung erarbeitet von H. Strasser, Siegen (1999)

Erstmalige Aktualisierung von H. Strasser, Siegen (2004)

Letztmalig aktualisiert von Benjamin Steinhilber (Tübingen), Christoph Anders (Jena), Matthias Jäger (Dortmund), Thomas Läubli (Zürich), Alwin Luttmann (Dortmund), Monika A. Rieger (Tübingen), Hans-Christoph Scholle (Jena), Nikolaus-Peter Schumann (Jena), Robert Seibt (Thum), Helmut Strasser (Siegen), Karsten Kluth (Siegen), März 2013

Diskutiert in der Arbeitsgruppe „Forum Arbeitsphysiologie“ der Deutschen Gesellschaft für Arbeitsmedizin und Umweltmedizin e. V. (DGAUM) und der Gesellschaft für Arbeitswissenschaft e. V. (GfA) am 09.11.2012 und 13.03.2013.

Letztmalig aktualisierte Fassung verabschiedet vom Vorstand der DGAUM: 18.04.2013

Hinweise bitte an:

Prof. Dr.-Ing. Karsten Kluth

kluth@ergonomie.uni-siegen.de

oder

Dr. rer. nat. Benjamin Steinhilber

benjamin.steinhilber@med.uni-tuebingen.de

oder

Geschäftsstelle der Deutschen Gesellschaft für Arbeitsmedizin und Umweltmedizin e. V.

Hauptgeschäftsführer Dr. phil. Thomas Nesseler

Schwanthaler 73 b

80336 München

gsdgaum@dgaum.de

Jetzt weiterlesen und profitieren.

+ ASU E-Paper-Ausgabe – jeden Monat neu
+ Kostenfreien Zugang zu unserem Online-Archiv
+ Exklusive Webinare zum Vorzugspreis

Premium Mitgliedschaft

2 Monate kostenlos testen