Springe auf Hauptinhalt Springe auf Hauptmenü Springe auf SiteSearch
  • Home
  • Alle Artikel zum Thema Arbeitswissenschaft

Alle Artikel zum Thema Arbeitswissenschaft

Die Teilnehmerinnen und Teilnehmer des Forums Arbeitsphysiologie 2024

26. Symposium Arbeitsmedizin und Arbeitswissenschaft für Nachwuchs-Wissenschaftlerinnen und -Wissenschaftler

-

Das Forum Arbeitsphysiologie vereint seit seiner Gründung im Jahr 1996 Nachwuchswissenschaftlerinnen und -wissenschaftler der Arbeitsmedizin und der Arbeitswissenschaft zu einem jährlichen Symposium. Die finanzielle Grundlage bieten dafür die Lieselotte und Dr. Karl Otto Winkler-Stiftung und private Sponsoren1. Träger des Forums Arbeitsphysiologie sind die Deutsche Gesellschaft für Arbeitsmedizin und Umweltmedizin (DGAUM) und die Gesellschaft für Arbeitswissenschaft (GfA). Das Forum wird von einem Dreiergremium (seit 11/2023 Priv.-Doz. Dr. Benjamin Steinhilber und Dr. Tessy Luger – Institut für Arbeitsmedizin, Sozialmedizin und Versorgungsforschung, Universität Tübingen, sowie Prof. Dr. Julia Krabbe, Institut für Prävention und Arbeitsmedizin [IPA] der Deutschen Gesetzlichen Unfallversicherung [DGUV] Bochum) geleitet.

Abb. 1:   Versuchsaufbau mit R1000-Geräten und Personendummy
Ergonomie

Überlegungen zu ergonomischen Effekten ultrabreiter Curved-Monitore

-

Der vorliegende Beitrag soll objektive Hinweise als Entscheidungsgrundlage für den Einsatz von Curved-Monitoren liefern. Dabei werden die getroffenen Ableitungen insbesondere auf ultrabreite Geräte bezogen, da hier neben vielen zu erwartenden Vorteilen auch spezifische ergonomische Besonderheiten wirken. Vor dem Hintergrund des Einsatzes solcher Geräte in sicherheitskritischen Anwendungsbereichen wurde eine Laborstudie durchgeführt, deren Erkenntnisse nachfolgend kurz vorgestellt werden.  Roberto Kockrow

 Abb 1:    Vergleich klassischer versus proaktiver Systemgestaltung mit Hilfe eines Screening-Ansatzes (in Anlehnung an Sträter et al. 2012)
Vermeidung von arbeitswissenschaftlichen Planungsfehlern

Rechtzeitige arbeitswissenschaftliche Planung zur Vermeidung psychischer Belastung

-

Arbeitswissenschaft  Digitalisierung und mobiles Arbeiten ist derzeit in aller Munde. Dabei wird oft das Argument aufgeführt, dass Digitalisierung Mitarbeitende in ihrer Tätigkeit entlastet und Geschäftsprozesse reibungsloser und fehlerfreier ablaufen oder mobiles Arbeiten Flexibilität in der Arbeitsdurchführung erlaubt. Während eine adäquate Gestaltung digitaler Systeme zu hohen Entlastungen hinsichtlich der psychischen Aspekte der Arbeit führen kann, resultiert eine inadäquate Gestaltung unweigerlich in einer hohen psychischen Belastung und Beanspruchung. Oft werden Kontext- und Bedingungsfaktoren für die Durchführung übersehen, wodurch die Systeme eingeschränkt nutzbar oder gar unbenutzbar werden bzw. nur mit erhöhter psychischer Belastung umgesetzt werden können. Der vorliegende Beitrag beschreibt einen Ansatz, wie solche Planungsfehler durch systematische Beachtung arbeitswissenschaftlicher Anforderungen in der Planungsphase vermieden werden können. Oliver Sträter et al.

KI ist mittlerweile in der Lage, auch kognitiv anspruchsvolle Aufgaben des Menschen zu übernehmen
Zusatzqualifizierung zu Künstlicher Intelligenz für unterschiedliche Zielgruppen

Produktive Arbeitsgestaltung mit KI

-

Digitalisierung  Künstliche Intelligenz (KI) ist keine „Zukunftstechnologie“ mehr, denn sie wird nicht erst zukünftig relevant, sondern steckt schon heute in vielen Dingen des täglichen Gebrauchs. KI eröffnet neue Chancen und Möglichkeiten für unsere Arbeit und unser Leben. Welches Wissen und welche Kompetenzen über KI notwendig sind, um diese Technologie menschengerecht und produktiv im Unternehmen zu gestalten, wird aktuell im Projekt en[AI]ble untersucht. Sebastian Terstegen, Stephan Sandrock

 Tabelle 1:   Übersicht über die Technikstressoren (nach Hoppe 2009)

Zukunftskonzepte durch Arbeitsforschung

-

Arbeitsgestaltung  Die Arbeitswelt der Zukunft fordert schon heute wissenschaftliche Konzepte, tragfähige Modelle und optimierte Systeme. Dabei müssen, neben technischen Entwicklungen, die physischen und psychischen Belastungen des Menschen im Fokus der Arbeitsgestaltung liegen. Dazu werden neue Erkenntnisse durch die Arbeitsforschung in Zusammenarbeit mit Unternehmen benötigt. Hierbei sollten gesicherte Messverfahren mit neuen Untersuchungsmethoden im systemischen Ansatz verbunden werden, um Grundlage für Analysen, Bewertungen und Empfehlungen zukünftiger Arbeitsgestaltung zu sein. Darüber finden neue Phänomene, wie zum Beispiel Technikstress Beachtung, die einen Beitrag zur Verhinderung einer Resilienzabnahme leisten können. Annette Hoppe et al.

Preisübergabe an die Firmen Probst und Wiha. V.l.n.r.: Dr. Frank Gillmeis­ter (1. Vorsitzender ECN), Peter Lauster (Wiha), Holger Merholz (Fa. Probst),  Eric Wilhelm (Fa. Probst), Prof. Karsten Kluth (2. Vorsitzender ECN)

Herbstkonferenz der Gesellschaft für Arbeitswissenschaft

-

Kongressbericht  Die Herbstkonferenz der Gesellschaft für Arbeitswissenschaft e. V. (GfA) hat am 23. und 24. September 2021 im Dornier-Museum in Friedrichshafen als Präsenzveran­staltung statt­gefunden. Mitveranstalter war das ECN – Ergonomie Kompetenz Netzwerk e. V., das sein 20-jähriges Be­­stehen zum Anlass genommen hat, unter dem Thema „Zeitbezug und Transformation – Ergonomie im Wandel des Fortschritts“ seine jährlich stattfindenden „Tage der Ergonomie“ mit der ­GfA-Herbstkonferenz zusammenzulegen. Martin Schmauder

Abb. 1:   Nutzung der COVID-19-Arbeitszeitverordnung nach Wirtschaftszweig und Betriebsgröße in Prozent (nur für Betriebe, die die COVID-19-Arbeitszeitverordnung angeben zu kennen und nutzungsberechtigt sind, basierend auf hochgerechneten Daten, n = 276), Fehlerbalken repräsentieren das 95%-Konfidenzintervall des Anteilswerts
 Fig. 1: Use of the COVID-19 Working Time Ordinance by economic sector and size of enterprise in per cent (only for enterprises claiming to be familiar with the COVID-19 Working Time Ordinance and entitled to use it, weighted results based on n = 276), error bars represent the 95% confidence interval for the proportion
Arbeitswissenschaftliche Erkenntnisse und empirische Ergebnisse aus betrieblicher Sicht

Die COVID-19-Arbeitszeitverordnung

-

N. Backhaus1

S. Robelski2

S. Sommer2

C. Steidelmüller1

A. Tisch1

1Bundesanstalt für Arbeitsschutz und Arbeitsmedizin (BAuA), Gruppe 1.1. „Arbeitszeit und Organisation“, Dortmund

2Bundesanstalt für Arbeitsschutz und Arbeitsmedizin (BAuA), Gruppe 1.4. „Strukturen und Strategien des Arbeitsschutzes...

Frühjahrskongress der Gesellschaft für Arbeitswissenschaft

-

Beim diesjährigen 67. Frühjahrskongress der GfA steht das Thema „Arbeit humaine gestalten“ im Mittelpunkt der wissenschaftlichen Diskussionen. Die größte deutschsprachige arbeitswissenschaftliche Veranstaltung findet vom 03. bis 05.03.2021 als reine Onlineveranstaltung statt. 


Bernd Hartmann, Michael Spallek, Rolf Ellegast


ecomed Medizin, Heidelberg 2013


ISBN: 978-3-609-16459-5


Preis: € 69,99
Rezension

Arbeitsbezogene Muskel-Skelett-Erkrankungen

-



K.-H. Frank, Karlsruhe








Die in Arbeitsmedizin, Arbeitswissenschaft und Prävention erfahrenen Autoren bieten einen umfangreichen Überblick zum aktuellen Stand arbeitsbezogener Erkrankungen des Bewegungsapparates. In anschaulichen Kapiteln werden biologische und physiologische Grundlagen...


 Abb. 1: 
 Zeitlicher Verlauf der elektrischen Aktivität und Mittenfrequenz beim Endoskopieren nach Luttmann et al. (1996b)
Arbeitsmedizinische S2k-Leitlinie der Deutsche Gesellschaft für Arbeitsmedizin und Umweltmedizin (DGAUM) und der Gesellschaft für Arbeitswissenschaft (GfA); AWMF-Register Nr. 002/016 Vorbemerkung

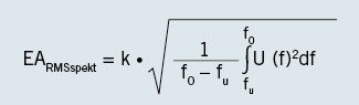
Oberflächen-Elektromyographie in der Arbeitsmedizin, Arbeitsphysiologie und Arbeitswissenschaft – Teil 2*

-

Diese Leitlinie wird zur Anwendung bei der Erfassung muskulärer Beanspruchung in arbeitsmedizinischen, arbeitsphysiologischen und arbeitswissenschaftlichen Studien und zur Bewertung von Tätigkeiten z. B. im Rahmen einer vertieften Gefährdungsbeurteilung empfohlen. Mit der Leitlinie sollen die Punkte aufgezeigt werden, die im Sinne der Qualitätssicherung als wesentlich erachtet werden. Da der vorliegende Text nicht den Charakter eines Lehrbuches haben kann, wird an vielen Stellen lediglich die Komplexität der Methodik aufgezeigt und auf Standardwerke verwiesen (Laurig 1970, 1974; Rau 1977; Tichauer 1978; Einars 1979; Basmajian u. De Luca 1985; Göbel 1996; Luttmann 2001; Luttmann et al. 2001; Göbel 2004; Strasser 2006; SENIAM 1999; Merletti u. Parker 2004). Anwendungsbeispiele illustrieren den praktischen Einsatz der Oberflächen-Elektromyographie (OEMG) unter verschiedenen Fragestellungen.

Vergleichsweise häufig werden mit der OEMG Fragestellungen adressiert, die sich mit der Arbeitsbedingtheit muskuloskelettaler Beschwerden beschäftigen, mit der Frage, ob einzelne Elemente einer Arbeitstätigkeit zu Fehl-, Über- oder Unterbeanspruchungen führen, Anpassungsreaktionen der Muskulatur auslösen oder entspannend wirken können. Aber auch die Beurteilung oder prospektive Gestaltung eines Arbeitsplatzes oder Arbeitsablaufs und die Bewertung der Wirksamkeit von Interventionsmaßnahmen können OEMG-Analysen notwendig oder zumindest zu einer ergänzenden analytischen Methode werden lassen. Hierbei gestatten es rechnergestützte, mehrkanalige elektromyographische Verfahren, nach einer geeigneten Normalisierung die lokale Muskelbeanspruchung, aufgeteilt in statische und dynamische Komponenten, als diejenigen „physiologischen Kosten“ mit Maß und Zahl zu bestimmen, die von der in die Arbeit involvierten Muskulatur „bezahlt“ werden müssen. Zusätzlich existieren verschiedene Verfahren, um muskuläre Ermüdung zu beschreiben. Die OEMG ergänzt im Hinblick auf die bewegungstechnische Arbeitsgestaltung Systeme vorbestimmter Zeiten (z. B. Methods Time Measurement (MTM) oder Work Factor (WF)), die sich lediglich an der Dimension „Zeit“ bzw. dem Zeitbedarf für elementare Bewegungen orientieren. Die genannten Fragestellungen können vorrangig in gruppenvergleichenden Studiendesigns im Rahmen von Modellierung oder Simulation von Tätigkeiten untersucht oder im Rahmen von Felduntersuchungen bearbeitet werden.

Das Ziel der vorliegenden Leitlinie ist es, Anwendern aus dem Bereich der Arbeitswissenschaft, Ergonomie, Arbeitsphysiologie und Arbeitsmedizin Möglichkeiten und Grenzen der Methode der OEMG aufzuzeigen und durch konkrete Empfehlungen eine sachgerechte und qualitativ hochwertige Anwendung zu fördern. Die Erarbeitung dieser Leitlinie erfolgte gemäß dem Leitlinien-Manual (2001) der Arbeitsgemeinschaft der wissenschaftlichen medizinischen Fachgesellschaften (AWMF) und der ärztlichen Zentralstelle Qualitätssicherung (ÄZQ). Das Vorgehen ist im Leitlinien-Report dargestellt.

Beachten Sie bitte die für das arbeitsmedizinische Leitlinienprinzip geltenden Besonderheiten sowie die sonstigen fachgebietsrelevanten Handlungsempfehlungen. Die in dieser Leitlinie vorgeschlagenen Maßnahmen entsprechend dem allgemein anerkannten Stand der Wissenschaft.

Arbeitsmedizinische S2k-Leitlinie der Deutsche Gesellschaft für Arbeitsmedizin und Umweltmedizin (DGAUM) und der Gesellschaft für Arbeitswissenschaft (GfA); AWMF-Register Nr. 002/016 Vorbemerkung

Oberflächen-Elektromyographie in der Arbeitsmedizin, Arbeitsphysiologie und Arbeitswissenschaft – Teil 1*

-

Diese Leitlinie wird zur Anwendung bei der Erfassung muskulärer Beanspruchung in arbeitsmedizinischen, arbeitsphysiologischen und arbeitswissenschaftlichen Studien und zur Bewertung von Tätigkeiten z. B. im Rahmen einer vertieften Gefährdungsbeurteilung empfohlen. Mit der Leitlinie sollen die Punkte aufgezeigt werden, die im Sinne der Qualitätssicherung als wesentlich erachtet werden. Da der vorliegende Text nicht den Charakter eines Lehrbuches haben kann, wird an vielen Stellen lediglich die Komplexität der Methodik aufgezeigt und auf Standardwerke verwiesen (Laurig 1970, 1974; Rau 1977; Tichauer 1978; Einars 1979; Basmajian u. De Luca 1985; Göbel 1996; Luttmann 2001; Luttmann et al. 2001; Göbel 2004; Strasser 2006; SENIAM 1999; Merletti u. Parker 2004). Anwendungsbeispiele illustrieren den praktischen Einsatz der Oberflächen-Elektromyographie (OEMG) unter verschiedenen Fragestellungen.

Vergleichsweise häufig werden mit der OEMG Fragestellungen adressiert, die sich mit der Arbeitsbedingtheit muskuloskelettaler Beschwerden beschäftigen, mit der Frage, ob einzelne Elemente einer Arbeitstätigkeit zu Fehl-, Über- oder Unterbeanspruchungen führen, Anpassungsreaktionen der Muskulatur auslösen oder entspannend wirken können. Aber auch die Beurteilung oder prospektive Gestaltung eines Arbeitsplatzes oder Arbeitsablaufs und die Bewertung der Wirksamkeit von Interventionsmaßnahmen können OEMG-Analysen notwendig oder zumindest zu einer ergänzenden analytischen Methode werden lassen. Hierbei gestatten es rechnergestützte, mehrkanalige elektromyographische Verfahren, nach einer geeigneten Normalisierung die lokale Muskelbeanspruchung, aufgeteilt in statische und dynamische Komponenten, als diejenigen „physiologischen Kosten“ mit Maß und Zahl zu bestimmen, die von der in die Arbeit involvierten Muskulatur „bezahlt“ werden müssen. Zusätzlich existieren verschiedene Verfahren, um muskuläre Ermüdung zu beschreiben. Die OEMG ergänzt im Hinblick auf die bewegungstechnische Arbeitsgestaltung Systeme vorbestimmter Zeiten (z. B. Methods Time Measurement (MTM) oder Work Factor (WF)), die sich lediglich an der Dimension „Zeit“ bzw. dem Zeitbedarf für elementare Bewegungen orientieren. Die genannten Fragestellungen können vorrangig in gruppenvergleichenden Studiendesigns im Rahmen von Modellierung oder Simulation von Tätigkeiten untersucht oder im Rahmen von Felduntersuchungen bearbeitet werden.

Das Ziel der vorliegenden Leitlinie ist es, Anwendern aus dem Bereich der Arbeitswissenschaft, Ergonomie, Arbeitsphysiologie und Arbeitsmedizin Möglichkeiten und Grenzen der Methode der OEMG aufzuzeigen und durch konkrete Empfehlungen eine sachgerechte und qualitativ hochwertige Anwendung zu fördern. Die Erarbeitung dieser Leitlinie erfolgte gemäß dem Leitlinien-Manual (2001) der Arbeitsgemeinschaft der wissenschaftlichen medizinischen Fachgesellschaften (AWMF) und der ärztlichen Zentralstelle Qualitätssicherung (ÄZQ). Das Vorgehen ist im Leitlinien-Report dargestellt.

Beachten Sie bitte die für das arbeitsmedizinische Leitlinienprinzip geltenden Besonderheiten sowie die sonstigen fachgebietsrelevanten Handlungsempfehlungen. Die in dieser Leitlinie vorgeschlagenen Maßnahmen entsprechend dem allgemein anerkannten Stand der Wissenschaft.