Springe auf Hauptinhalt Springe auf Hauptmenü Springe auf SiteSearch
ORIGINALIA

Veränderungen in der Beurteilung des (Arbeits-)Fähigkeitsprofils psychosomatischer Patienten im Verlauf einer ergotherapeutischen Behandlung

Veränderungen in der Beurteilung des (Arbeits-)Fähigkeitsprofils psychosomatischer Patienten im Verlauf einer ergotherapeutischen Behandlung

Einleitung: Psychische Erkrankungen führen nicht nur zu Krankheitssymptomen, sondern auch regelhaft zu Fähigkeitseinschränkungen und damit Beeinträchtigungen in der sozialen Teilhabe, einschließlich einer Arbeitsunfähigkeit. Die Erfassung von Fähigkeitsbeeinträchtigungen basiert zumeist auf Schilderungen der Patienten. In psychosomatischen Rehabilitationskliniken besteht zudem die Möglichkeit, Patienten in der Ergotherapie auch in Anforderungssituationen zu beobachten. Die Frage ist, wie sich Beobachtungen im Therapiealltag in der Einschätzung des Fähigkeitsprofils niederschlagen.

Material und Methode: Es wurden 143 Patienten einer psychosomatischen Rehabilitationsklinik über fünf Wochen in der Ergotherapie behandelt und von ihren Therapeutinnen mittels des Mini-ICF-APP zu Beginn und zum Ende des Aufenthalts hinsichtlich ihres (Arbeits-)Fähigkeitsprofils eingeschätzt.

Ergebnis: Es zeigte sich, dass die Therapeutinnen auf nahezu jeder Dimension des Mini-ICF-APP die Patienten nach der Therapie schlechter beurteilten, was unabhängig voneinander in zwei unterschiedlichen Ergotherapie-Gruppen beobachtet werden konnte. Dies geschah, obwohl sich im Verlauf des stationären Aufenthalts der psychische Zustand der Patienten besserte wie auch die Einschätzung der Arbeitsfähigkeit seitens der Ärzte.

Schlussfolgerungen: Die Ergebnisse sprechen dafür, dass Ergotherapeuten durch regelmäßigen Kontakt mit den Patienten, Probleme zunehmend deutlicher erkennen und daher im Verlauf Einschränkungen der Leistungsfähigkeit besser erkennen. Dieser Befund ist von Bedeutung für die sozialmedizinische Begutachtung, da der erste Eindruck von außen eventuell nicht dem ganzheitlichen Bild des Patienten entspricht.

Schlüsselwörter: Ergotherapie – ICF – Arbeitsunfähigkeit – psychosomatische Rehabilitation – sozialmedizinische Begutachtung

Changes in the evaluation of the (working) capacity profile of psychosomatic patients in the course of occupational therapy

Introduction: Mental disorders not only result in symptoms of illness, but also in capacity limitations and restricted participation in society, including an inability to work. The assessment of capacity limitations is mostly based on patient reports. In psychosomatic inpatient treatment it is also possible to observe patients in occupational therapy in challenging situations. The question is how observations affect the capacity profile assessment in the course of treatment.

Material and Methods: 143 inpatients of a psychosomatic rehabilitation unit were treated for five weeks in occupational therapy. Their (working) capacity was assessed with the Mini-ICF-APP by the occupational therapists at the time of admission and discharge.

Results: At the end of treatment, capacity limitations were rated worse at virtually every level of the Mini-ICF-APP. Similar observations were made in two independent occupational therapy groups. This was the case in spite of the fact that the mental status of patients and the assessment of ability to work improved during the inpatient stay according to doctors.

Conclusions: The results suggest that occupational therapists detect more limitations of capacities the more they learn about the patients in occupational therapy. This finding is of importance for socio-medical assessments, as it shows that a first impression may not reflect the full spectrum of problems.

Keywords: occupational therapy – ICF – working capacity – psychosomatic rehabilitation – socio-medical assessment

M. Linden

N. Noack

(eingegangen am 08.12.2017, angenommen am 08.03.2017)

ASU Arbeitsmed Sozialmed Umweltmed 2017; 52: 272–277

Einleitung

Sozialmedizinische Beurteilungen, beispielsweise wenn es um die Feststellung von Arbeits- oder Erwerbsfähigkeit geht, müssen über die Diagnose hinausgehend ganzheitlich den sog. funktionalen Gesundheitszustand beschreiben. Ein Ordnungssystem bietet die „Internationale Klassifikation der Funktionsfähigkeit, Behinderung und Gesundheit“ (ICF), die von der Weltgesundheitsorganisation 2001 herausgegeben wurde (WHO 2005). In Ergänzung zu den ICD-Diagnosen schlägt die ICF zur Krankheitsbeschreibung und Klassifikation von Krankheitsfolgen eine Unterscheidung vor zwischen Funktionsstörungen (bzw. Krankheitssymptomen), Aktivitäten bzw. Fähigkeiten („capacity“) und Kontextfaktoren, die eine Teilhabe behindern (Linden et al. 2015). Teilhabeeinschränkungen sind das Ergebnis eines Mismatch zwischen Fähigkeiten und Kontext bzw. Rollenanforderungen. Sie tragen wesentlich zur Bestimmung der Krankheitsfolgen und Krankheitswertigkeit einer gesundheitlichen Störung bei (Linden et al. 2015).

Im Sinne der ICF sind psychische Erkrankungen nicht nur durch die Art und Intensität der Symptome, d.h. Funktionsstörungen gekennzeichnet (WHO 2005), sondern gehen immer auch mit Einschränkungen relevanter Fähigkeiten wie Kontaktunfähigkeit oder mangelnder Durchhaltefähigkeit einher (Linden et al. 2010, 2015), mit daraus resultierenden Einschränkungen in der sozialen Teilhabe (z. B. Arbeitsfähigkeit). Fähigkeiten stellen die Verknüpfung zwischen Funktionen/Symptomen einerseits und Partizipation/Teilhabe andererseits dar (Linden 2016). Eine besonders wichtige Form der Teilhabeeinschränkung ist die Arbeitsunfähigkeit. Nach der Arbeitsunfähigkeitsrichtlinie (GeBA 2016) setzt dies die „Unfähigkeit“ voraus, die Anforderungen am Arbeitsplatz bewältigen zu können, also beispielsweise einen Mangel an Problemlösefähigkeiten, Gruppenfähigkeit oder der Fähigkeit zur Wissensanwendung, was dazu führt, dass die Betreuung von Kunden oder die Überwachung von Menschen nicht mehr entsprechend der beruflichen Notwendigkeiten möglich ist.

In der psychosomatischen Rehabilitation zu Lasten der Rentenversicherung ist der Erhalt oder die Wiederherstellung der Arbeits- bzw. Erwerbsfähigkeit ein wichtiger Behandlungsauftrag. Unter diesem Oberziel stellt die Therapie darauf ab,

  • die Funktionsstörungen/Symptomatik zu bessern,
  • die Fähigkeiten wiederherzustellen oder zu trainieren, die für eine Teilhabe am Arbeitsleben unverzichtbar sind und
  • gegebenenfalls behindernde Kontextgegebenheiten zu verändern, beispielsweise durch Eingriffe am Arbeitsplatz (gestufte Wiedereingliederung, betriebliches Eingliederungsmanagement usw.).

Auf allen drei Ebenen kommt der Ergotherapie eine wichtige Rolle zu. Üblicherweise werden alle Patienten in der Ergotherapie mitbetreut und sie verbringen mehr Zeit als mit Psychotherapeuten. Durch den Einsatz von „bedeutungsvollen Betätigungen und Umweltmodifikation ist eine Fähigkeitserweiterung zu fördern, mit dem Ziel Lebensqualität und gesellschaftliche Partizipation zu ermöglichen“ (Deutscher Verband der Ergotherapeuten 1995; Otto u. Linden 2015). Ergotherapeutische Interventionen zielen darauf ab,

  • Funktionsstörungen bzw. das Befinden der Patienten zu bessern, z. B. durch einen Aktivitätsaufbau oder entspannende Aktivitäten bei depressiven Störungen,
  • die Stressbewältigung, Belastbarkeit und Resistenz der Patienten gegenüber alltäglichen Stressoren und Anforderungen durch Vermittlung einschlägiger Copingstrategien zu stärken,
  • eingeschränkte Fähigkeiten zu trainieren, wie beispielsweise Durchhaltefähigkeit, Strukturierungsfähigkeit, oder auch unmittelbar beruflich benötigte Fähigkeiten wie Computerfähigkeiten,
  • neue Ressourcen zu fördern bis hin zum Aufbau kompensatorischer regenerativer Aktivitäten, wie beispielsweise die Förderung von Hobbys.

Den Ergotherapeuten kommt auch eine wichtige diagnostische Funktion zu. Es ist eine Sache, wie sich ein Patient kurzfristig im therapeutischen Gespräch oder in der Selbstbeschreibung darstellt und wie er sich in der Ergotherapie zeigt im Kontakt mit anderen Patienten oder im Leistungsverhalten bei ergotherapeutischen Aufgabenstellungen. Ergotherapeuten müssen sich also auch ein Bild vom Fähigkeitsprofil der Patienten machen, was auch bei der sozialmedizinischen Beurteilung Berücksichtigung finden sollte.

Die Beschreibung und Erfassung von Funktionsstörungen bzw. Krankheitssymptomen erfolgt durch die psychopathologische Befundung oder Symptom-Ratingskalen wie Depressions- oder Angstskalen. Darüber hinaus gibt es eine Reihe von Instrumenten, die je nach Anwendungsgebiet Einschränkungen von unterschiedlichen Fähigkeiten beschreiben und unabhängig von Krankheitsdiagnosen und Funktionsstörungen einsetzbar sind (Linden 2016). Beispiele sind die ADL- (Activities of Daily Living; Katz et al. 1963) und IADL-Skalen (Instrumental Activities of Daily Living; Spector et al. 1987), die zur Erfassung von Beeinträchtigungen in Bezug auf basale Alltagsfähigkeiten und Beurteilung der Pflegebedürftigkeit eingesetzt werden, Intelligenztests (WHO 2005), Verfahren zur Erfassung der sozialen Kompetenz (WHO 2005) und spezifische Leistung-/Fähigkeitstests, die ihre Verwendung vorrangig in der Arbeitspsychologie und Arbeitsmedizin finden (Schuler 2006). Möglichkeiten zur Messung des globalen Fähigkeitsniveaus bieten z. B. die Global Assessment Scale (GAS, Endicott et al. 1976), die Global Assessment of Functioning Scale (GAF, Sass et al. 1998), die Skala zur Erfassung des sozialen und beruflichen Funktionsniveaus (SOFAS, Sass et al. 1996), die Personal and Social Performance Scale (PSP, Morosini et al. 2000), die Persönliche und Soziale Leistungs(fähigkeits-)Skala (PSL, Schaub u. Juckel 2011), die World Health Organization Disability Assessment Schedule II (WHODAS 2.0; WHO 2004) oder der Selbstbeurteilungs-Fragebogen ICF-AT-50 Psych. Ein Selbstbeurteilungsbogen zur Messung von Partizipationsbeeinträchtigungen in unterschiedlichen Lebensbereichen ist der Index zur Messung von Einschränkungen und Teilhabe (IMET; Deck et al. 2007). Ein international genutztes Fremdrating-Instrument zur Erfassung von Fähigkeitseinschränkungen, die speziell im Kontext von psychischen Störungen auftreten, ist das Mini-ICF APP (Baron u. Linden 2009; Linden u. Baron 2005; Linden et al. 2009, 2015; Schneider et al. 2010), das auch in dieser Studie verwendet wurde.

Eine wichtige Frage ist, auf welchen Informationen eine valide Beurteilung der Leistungsfähigkeit basieren kann. In der Regel erfolgt die Beurteilung von Fähigkeitsprofilen, beispielsweise im Rahmen sozialmedizinischer Begutachtungen, durch Befragungen und Selbstauskünfte von Patienten. Diese sind aber konfundiert mit subjektivem Klageverhalten, Insuffizienzerleben der Patienten oder auch arbeitsbezogenen Einstellungen und Motivationen. Eine höhere Validität haben daher Verhaltensbeobachtungen unter Leistungsanforderungen.

Fragestellung

Ziel der vorliegenden Studie war zu untersuchen, wie sich Fähigkeitsbeurteilungen verändern, im Vergleich zu initialen Selbstbeschreibungen von Patienten und nach einer längeren Patientenbeobachtung unter Anforderungsbedingungen in der Ergotherapie.

Material und Methode

Patienten

Es wurden 972 fortlaufend in eine psychosomatische Rehabilitationsklinik aufgenommenen Patienten als optionale Behandlung die Möglichkeit angeboten, entweder

  • (A) an einer Gruppe teilzunehmen, die zum Ziel hatte, das Durchhaltevermögen und die Stresstoleranz zu trainieren (n = 75) oder
  • (B) an einer Gruppe, die auf Erholung und Rekreation ausgerichtet war (n = 70).

Diese Gruppen waren Teil des Routinetherapieangebots der Klinik. Es fanden jeweils sechs Stunden in drei Sitzungen über den Aufenthalt von fünf Wochen statt. Die Gruppensitzungen wurden zusätzlich zur sonstigen Therapie abgehalten (Medikation, individuelle Einzel- und Gruppenpsychotherapie, Bewegungstherapie, Soziotherapie und/oder sonstige Ergotherapieveanstaltungen).

Die Patienten waren im Durchschnitt 50,8 Jahre alt (s. d. 9,7), 62,6 % waren weiblich, 27,9 % gaben an, einen Hochschul- bzw. universitären Abschluss gemacht zu haben, 53,5 % waren verheiratet, 55,2 % waren ganztags beschäftigt, 18,9 % waren halbtags beschäftigt und 23,9 % waren arbeitslos. Die Patienten hatten als klinische Hauptdiagnose in 43,4 % der Fälle eine Affektive Störung (F30-F39), zu 33,2 % eine Angst- oder somatoforme Störung (F40-F49) und zu 11,5 % eine Persönlichkeitsstörung. Zwischen den beiden Gruppen gab es keine signifikanten Unterschiede bezüglich der Stichprobenmerkmale.

Therapeuten

Jede Gruppensitzung wurde von jeweils zwei Therapeutinnen durchgeführt, die speziell in der Durchführung der jeweiligen Gruppeninhalte und auch in der Anwendung der Messinstrumente trainiert waren. Die Behandlungen fanden unter Beteiligung und Supervision der leitenden Ergotherapeutin der Klinik und einer Verhaltenstherapeutin statt.

Instrumente

Das arbeitsbezogene Fähigkeitsprofil wurde mittels des Mini-ICF-APP (Linden et al. 2009) von denselben Therapeuten bei Aufnahme und Entlassung eingeschätzt. Es verlangt ein Urteil auf dreizehn Dimensionen:

  1. Anpassung an Regeln und Routinen;
  2. Planung und Strukturierung von Aufgaben;
  3. Flexibilität und Umstellungsfähigkeit;
  4. Anwendung fachlicher Kompetenzen;
  5. Entscheidungs- und Urteilsfähigkeit;
  6. Durchhaltefähigkeit;
  7. Selbstbehauptungsfähigkeit;
  8. Kontaktfähigkeit zu Dritten;
  9. Gruppenfähigkeit;
  10. familiäre bzw. intime Beziehungen;
  11. Spontanaktivitäten;
  12. Selbstpflege;
  13. Verkehrsfähigkeit.

Die Beurteilung erfolgt auf einer fünftstufigen Likert-Skala von „0 = keine Beeinträchtigung“ bis „4 = vollständige Beeinträchtigung“, indem die Fähigkeit des Patienten in 13 Bereichen eingeschätzt wird. Es kann ein Mittelwert über alle 13 Items im Sinne einer globalen Fähigkeitsbeeinträchtigung gebildet werden. Der Mittelwert über alle Items ist jedoch nur bedingt aussagekräftig, da es genügt, wenn eine wichtige Fähigkeit nicht gegeben ist, um eine Partizipationseinschränkung zu bedingen. Wenn beispielsweise die Verkehrsfähigkeit beeinträchtigt ist, kann ein Patient selbst dann arbeitsunfähig sein, wenn seine sozialen Fähigkeiten oder die Durchhaltefähigkeit unbeeinträchtigt sind. Von daher ist ein wichtiger Kennwert, ob in einer der Fähigkeitsdimensionen ein Wert von 2 oder höher vorliegt, was Probleme in der Partizipation anzeigt.

Die Gütekriterien des Mini-ICF APP wurden in deutschen, englischen und italienischen Studien untersucht (Linden et al. 2009; Molodynski et al. 2012; Balestrieri et al. 2013). Es wurde eine hohe interne Konsistenz (Chronbach’s 0,86–0,91) sowie eine hohe Retest-Reliabilität (ICC 0,83) und Interrater-Reliabilität (ICC 0,88) ermittelt. Die Ratings des Mini-ICF APP fielen bei Arbeitslosen höher aus als bei Beschäftigten.

Die Daten zur Arbeitsunfähigkeit wurden der Basisdokumentation der Klinik entnommen. Bei Aufnahme werden von den Therapeuten der Arbeitsstatus und die Arbeitsunfähigkeit erfasst. Die Einschätzung der Arbeitsfähigkeit erfolgt im Rahmen des Routineassessment vor Entlassung durch den Therapeuten mittels eines Abschlussfragebogens, in dem nach der therapeutischen Besserung und der Arbeitsfähigkeit gefragt wird.

Die psychische Befindlichkeit wurde mittels der Symptom-Checkliste-90 (Franke 2013) erfragt, ein Selbstbeurteilungsverfahren, das ein Spektrum von Symptomen vorgibt, die vom Patienten zu beurteilen sind. Ein Auswertungskriterium ist der PST (Positive Symptom Total), der die Zahl der geklagten Beschwerden angibt.

Statistik

Um die Veränderung in der Beurteilung der Fähigkeiten durch die Therapeuten zu untersuchen, wurden Differenzwerte für alle Dimensionen des Mini-ICF APP und den Globalwert gebildet, sowohl aufgeteilt nach Untersuchungsgruppe als auch für die Gesamtstichprobe. Es wurde eine univariate Varianzanalyse mit Messwiederholung zur Überprüfung von Gruppenunterschieden im Vergleich vom ersten zum zweiten Messzeitpunkt berechnet.

Ethische Überlegungen

Die Patienten nahmen an Routinetherapiemaßnahmen teil, wie sie in allen Ergotherapien zur Anwendung kommen. Ein spezielles Risiko für Patienten war daher nicht zu erwarten. Die Patienten gaben eine schriftliche Einverständniserklärung zur Teilnahme an der wissenschaftlichen Untersuchung und der entsprechenden Weiterverwendung ihrer Daten ab, nachdem sie von den Therapeuten schriftlich über die Studie unterrichtet wurden. Die Studie wurde von der Datenschutzabteilung und der Wissenschaftskommission der Deutschen Rentenversicherung Bund geprüft und genehmigt (8011 – 106 – 31/31.51.9).

Ergebnisse

Bezüglich des Veränderung des allgemeinen psychischen Befundes gaben die Ärzte auf dem Abschlussfragebogen an, dass sich 94,3 % (A) bzw. 92,5 % (B) der Patienten im Verlauf des Aufenthalts gebessert haben. In der Selbstbeurteilung der Patienten war der PST, d.h. die Zahl der geklagten Beschwerden bei Aufnahme 52,66 (A) bzw. 49,72 (B) und bei Entlassung 38,00 (A) bzw. 35,91 (B), was für eine relevante Besserung spricht.

Der Mittelwert der globalen Fähigkeitsbeurteilung durch die Ergotherapeuten veränderte sich über alle Dimensionen hin in der Gruppe A von 0,21 (s.d. 0,27) bei Aufnahme zu 0,27 (s. d. 0,32) bei Entlassung und in der Gruppe B von 0,17 (s. d. 0,29) zu 0,23 (s. d. 0,32), was einer signifikanten Verschlechterung entspricht (F 5,02, p.03). Der Prozentanteil der Patienten, bei denen eine teilhaberelevante Fähigkeitsbeeinträchtigung (Score 2+) in mindestens einer der Dimensionen es Mini-ICF-APP gesehen wurde, lag in der Gruppe (A) bei 70,8 % zu Beginn und 74,3 % bei Entlassung bzw. in Gruppe (B) bei 59,7 % bei Aufnahme und 63,2 % bei Entlassung, was ebenfalls in Richtung einer Verschlechterung geht.

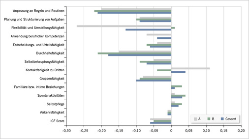
In   Abb. 1 werden die Differenzwerte zwischen der Prä- und Post-Messung über alle Dimensionen des Mini-ICF APP dargestellt. Es zeigt sich in beiden Gruppen, dass nach fünf Wochen Ergotherapie die Veränderungen im Fähigkeitsniveau weitgehend in Richtung einer Verschlechterung gehen, mit Ausnahme von „Kontaktfähigkeit zu Dritten“, „familiäre bzw. intime Beziehungen“, „Spontanaktivitäten“ und „Selbstpflege“ mit marginaler Verbesserung.

Dieselben Patienten waren nach Erhebungen der behandelnden Ärzte vor Aufnahme in 54,9 % (A) bzw. 58,2 % (B) arbeitsunfähig. Bei Entlassung waren es nach Therapeuteneinschätzung auf dem Abschlussfragbogen nur noch 34,3 % (A) bzw. 32,8 % (B), die als ganz arbeitsunfähig eingestuft und weitere 13,4 % (A) bzw. 10,0 % (B), die als partiell arbeitsfähig gesehen wurden.

Diskussion

Wenn man den Verlauf einer Therapie untersucht, erwartet man üblicherweise, dass sich der Befund bessert und spricht von einem Therapieversagen, wenn sich keine Änderung oder gar eine Verschlechterung zeigen. Im vorliegenden Fall ergibt sich für den Krankheitsstatus sowohl nach ärztlicher Einschätzung wie auch in der Selbstbeurteilung der Patienten eine deutliche Besserung im Verlauf des Aufenthalts. Auch die Zahl der arbeitsunfähigen Patienten hat sich verringert. Der stationäre Aufenthalt hat also zu einer relevanten Besserung sowohl im klinischen Zustand als auch in der beruflichen Teilhabe geführt.

Auch die Ergotherapie soll zu einer Verbesserung von beeinträchtigten Fähigkeiten führen. Selbst wenn kein Therapieerfolg erreicht worden wäre, gibt es bei Therapeuten einen grundsätzlichen Beurteilungs-Bias, den Zustand von Patienten nach Therapie als gebessert zu sehen. Umso bemerkenswerter ist, dass die Beurteilung des Fähigkeitsprofils im Verlauf einer fünfwöchigen Ergotherapie eher negativer wird. Dies war in gleicher Form in zwei voneinander unabhängigen Gruppen zu beobachten.

Die Daten könnten also entweder dafür sprechen, dass eine fünfwöchige Behandlung in einer psychosomatischen Rehabilitationsklinik zu einer Verschlechterung der Fähigkeiten der Patienten geführt hat, oder dafür, dass die Behandler das Fähigkeitsprofil im Verlauf des therapeutischen Kontakts zunehmend kritischer oder auch differenzierter sehen. Berücksichtigt man, dass die Arbeitsunfähigkeitsrate bei Entlassung im Vergleich zur Aufnahme fast halbiert wurde, ist davon auszugehen, dass die negativeren Urteile als Beurteilungsveränderung zu verstehen sind.

Dies ist nachvollziehbar, wenn man sich die Art der Arbeit in der Ergotherapie vergegenwärtigt. Den Patienten werden Aufgaben gestellt, die sie nach Anweisung auszuführen haben. Selbst beim Flechten eines Korbes kann das Einhalten von Regeln und Vorgaben, das Durchhaltevermögen, die Umsetzung von Kompetenzen oder die Planungsfähigkeit beobachtet werden. Es kommt natürlich auch zu Ablenkungen, was die Beobachtung der Flexibilität und Umstellungsfähigkeit oder Proaktivität erlaubt. Schließlich handelt es sich um eine Gruppentherapie und zum Teil auch um Gruppenarbeiten, so dass zu sehen ist, wie die Patienten miteinander interagieren, was eine Beobachtung der Kontakt-, Gruppen- oder Selbstbehauptungsfähigkeit erlaubt. Die Ergotherapie kann als eine Form von „Standardumwelt“ verstanden werden, wie die ICF (WHO 2005) sie vorsieht, um Fähigkeiten beurteilen zu können. Im Verlauf der Therapie und Arbeitsanforderungen scheinen die Ergotherapeuten zunehmend mehr Defizite bei den Patienten gesehen und in ihrer Beurteilung abgebildet zu haben.

Insofern ist es von Interesse, dass bei früheren Untersuchungen, die ausschließlich auf Interviews durch Therapeuten basierten, eine Besserung im Therapieverlauf berichtet wurde (Baron u. Linden 2009). Es stellt sich die Frage nach der Reliabilität und Validität des Instruments. Die unterschiedlichen Ergebnisse deuten jedoch auch auf ein gegenstandimmanentes Problem hin. Fähigkeiten sind nie absolut zu beurteilen, sondern stets nur bezogen auf einen Kontext. So ist sind Items in der ICF „einen Gegenstand auf dem Kopf transportieren“ (ICF d4304) oder „sozialen Abstand wahren“ (ICF d7204). Es gibt keine allgemeingültigen Normen, wann von einer Störung dieser Fähigkeiten auszugehen ist. Dies ist kontextabhängig zu beurteilen, je nachdem ob eine Frau aus Somalia oder Deutschland kommt. Die kontextabhängige Beurteilung von Fähigkeiten ist ein Grundprinzip, das auch für die Feststellung der Leistungsfähigkeit beim Intelligenztest, dem Deutschen Sportabzeichen oder bei Schulnoten seit jeher gilt. Ebenso verlangt die Arbeitsunfähigkeits-Richtlinie eine Fähigkeitsbeurteilung unter Bezugnahme auf die Anforderungen am „konkreten Arbeitsplatz“ (GeBa 2016). Die unterschiedlichen Fähigkeitseinschätzungen zwischen Therapeuten und Ergotherapeuten können also auch durch einen unterschiedlichen Beurteilungsrahmen erklärt werden. Therapeuten beurteilen die Fähigkeiten mit Blick auf den Arbeitsplatz, Ergotherapeuten mit Bezug auf die Standardumwelt „Ergotherapie“.

Dies ist nach unserem Wissen die erste Studie, die derartige Urteilsveränderungen im Verlauf einer Ergotherapie zeigt. Vor diesem Hintergrund ist in zukünftigen Untersuchungen zu klären, welche prognostische Bedeutung Fähigkeitsbeurteilungen anhand von Beobachtungen in der Ergotherapie in Ergänzung zu Beurteilungen durch Therapeuten zukommt. Ergotherapeutische Beobachtungen können evtl. eine wichtige Ergänzung darstellen. Eine Beobachtung kann vertiefendere Einsichten ermöglichen als eine ausschließliche Befragung von Patienten.

Bei der Interpretation der Ergebnisse sollten auch die Begrenzungen der vorliegenden Studie berücksichtigt werden. Es liegen keine Parallel-Ratings und keine Selbstbeurteilungen der Patienten vor. Es kann nicht gesagt werden, welche Beobachtungen die Ergotherapeuten zu ihrem Urteil bewogen haben. Obwohl die Ergebnisse durch den Vergleich zweier unabhängiger Gruppen eine gewisse Validität haben, wären Wiederholungsuntersuchungen unter anderen Rahmenbedingungen wichtig.

Schlussfolgerungen

Die Beurteilung des positiven und negativen Leistungsbildes bzw. des Fähigkeitsprofils in der Behandlung wie die sozialmedizinische Begutachtung psychosomatischer Patienten stellt hohe Anforderungen an den Urteilenden. Urteile, die auf Befragungen und Selbstberichten von Patienten beruhen, sollten idealerweise durch Beobachtungen des Leistungsverhaltens ergänzt werden, was insbesondere im stationären Kontext in der Ergotherapie möglich ist.

Literatur

Balestrieri M, Isola R, Bonn R, Tam T, Vio A, Linden M, Maso E: Validation of the Italian version of Mini-ICF-APP, a short instrument for rating activity and participation restrictions in psychiatric disorders. Epidemiol Psychiatr Sci 2013; 22: 81–91.

Baron S, Linden M: Wirksamkeitsanalyse einer stationären psychosomatischen Rehabilitation anhand des Mini-ICF APP. Rehabilitation 2009; 48: 145–153.

Deck R, Mittag O, Hüppe A: Index zur Messung von Einschränkungen der Teilhabe (IMET) – Erste Ergebnisse eines ICF-orientierten Assessmentinstruments. Prax Klin Verhaltensmed Rehabil 2007; 76: 113–120.

DVE, Deutscher Verband der Ergotherapeuten (Beschäftigungs- und Arbeitstherapeuten e.v.): Indikationskatalog Ergotherapie. Idstein: Schulz-Kirchner, 1995.

Endicott J, Spitzer RL, Fleiss JL, Cohen J: The Global Assessment Scale. A procedure for measuring overall severity of psychiatric disturbance. Arch Gen Psychiat 1976; 33: 766–771.

Franke H: SCL-90®-S, Die Symptom-Checkliste mit 90 Items – Standardform – Deutsches Manual. Göttingen: Hogrefe, 2013.

GeBA, Gemeinsamer Bundesausschuss: Arbeitsunfähigkeits-Richtlinie (2016). https://www.g-ba.de/downloads/62-492-1140/AU-RL_2015-12-17_iK-2016-03-17.pdf (Zugriff am 07.12.2016).

Katz S, Moskowitz RW, Jackson BA: Studies of illness in the aged. The Index of ADL: a standardized measure of biological and psychosocial function. J Am Med Assoc 1963; 185: 914–919.

Linden M: Fähigkeitsbeeinträchtigungen und Teilhabeeinschränkungen. Erfassung und Quantifizierung in der sozialmedizinischen Beurteilung von psychischen Störungen. Bundgesundheitsblatt 2016; 59: 1147–1153.

Linden M, Baron S: Das “Mini-ICF Rating für psychische Störungen (Mini-ICF-P)“. Ein Kurzinstrument zur Beurteilung von Fähigkeitsstörungen bei psychischen Erkrankungen. Rehabilitation 2005; 44: 144–151.

Linden M, Baron S, Muschalla B: Mini-ICF-APP – Mini-ICF-Rating für Aktivitäts- und Partizipationsstörungen bei psychischen Erkrankungen. Göttingen: Hogrefe, 2009.

Linden M, Baron S, Muschalla B: Relationship between work-related attitudes,performance and capacities accoridng to the ICF in patients with mental disorders. Psychopathology 2010; 43: 262–267.

Linden M, Baron S, Muschalla B, Ostholt-Corsten M: Fähigkeitsbeeinträchtigungen bei psychischen Erkrankungen. Diagnostik, Therapie und sozialmedizinische Beurteilung in Anlehnung an das Mini-ICF-APP. Bern: Hans Huber, 2015.

Muschalla B, Vilain M, Lawall C, Lewerenz M, Linden M: Berufliche und soziale Partizipationsstörungen bei Patienten in der vertragsärztlichen Versorgung. Rehabilitation 2009; 48: 84–90.

Molodynski A, Linden M, Juckel G, Yeeles K, Anderson C, Vazquez-Montes M, Burns T: The reliability, validity and applicability of an English language version of the Mini-ICF APP. Social Psychiatry and Psychiatric Epidemiology 2012, 48: 1347–1354.

Morosini PL, Magliano L, Brambilla L, Ugolini S, Piolo R: Development, reliability and acceptability of a new version of the DSM-IV Social and Occupational Functioning Assessment Scale (SOFAS) to assess routine social functioning. Acta Psychiat Scand 2000; 1001: 323–329.

Sass H, Wittchen H-U, Zaudig M: Skala zur Erfassung des sozialen und beruflichen Funktionsniveaus (SOFAS): Diagnostisches und Statistisches Manual psychischer Störungen. DSM-IV. Göttingen: Hogrefe, 1996.

Sass H, Wittchen H-U, Zaudig M, Houben I: Diagnostische Kriterien des DSM-IV. Göttingen: Hogrefe, 1998.

Schaub D, Juckel G: PSP-Skala. Deutsche Version der Personal and Social Performance Scale: Validiertes Messinstrument zur Erfassung des psychosozialen Funktionsniveaus in der Schizophrenietherapie. Nervenarzt 2011; 82: 1178–1184.

Schneider W, Becker D, Dohrenbusch R, Freyberger HJ, Gündel H, Henningsen P: Berufliche Leistungsfähigkeit. Psychotherapeut 2010; 55: 373–379.

Schuler H: Lehrbuch der Personalpsychologie. Göttingen: Hogrefe, 2006.

Spector WD, Katz S, Murphy JB, Fulton JP: The hierarchical relationship between activities of daily living and instrumental activities of daily living. J Chron Dis 1987; 40: 481–489.

World Health Organization (WHO):WHODASII – Disability Assessment Schedule Training Manual: A guide to administration [Internet]. Genf: World Health Organization, 2004.

World Health Organization( WHO): Internationale Klassifikation der Funktionsfähigkeit, Behinderung und Gesundheit (ICF). Genf: World Health Organization, 2005.

Danksagung: Die Studie wurde von der Deutschen Rentenversicherung Bund gefördert (8011 – 106 – 31/31.51.9).

Interessenkonflikt: Die Autoren geben an, keine Interessenkonflikte zu haben.

Für die Verfasser

Prof. Dr. med. Michael Linden

Forschungsgruppe Psychosomatische Rehabilitation

Charité, CBF, Hs II, E01

Hindenburgdamm 30

michael.linden@charite.de

Fußnoten

Forschungsgruppe Psychosomatische Rehabilitation, Charité Universitätsmedizin Berlin