Springe auf Hauptinhalt Springe auf Hauptmenü Springe auf SiteSearch
Entwurf einer Empfehlung für die Begutachtung von Erkrankungsfolgen und Post-COVID

COVID-19 als Berufskrankheit und Arbeitsunfall

COVID-19 als Berufskrankheit/Arbeitsunfall

Die Deutsche Gesetzliche Unfallversicherung (DGUV) hat Voraussetzungen für die Anerkennung einer akuten COVID-19-Erkrankung als Berufskrankheit beziehungsweise Arbeitsunfall definiert. Eine Berufskrankheit (BK) im Sinne der Nummer 3101 der Berufskrankheitenliste kann demnach vorliegen bei Beschäftigten des Gesundheits- und Wohlfahrtsdienstes, medizinischen und wissenschaftlichen Laboratorien sowie bei versicherten Tätigkeiten, in denen eine besondere Infektionsgefahr in ähnlichem Maße besteht. Für eine Ausweitung der betroffenen Personengruppe sieht der ärztliche Sachverständigenbeirat für Berufskrankheiten des Bundesministeriums für Arbeit und Soziales derzeit keine Evidenz.

Für einen Arbeitsunfall müssen ein intensiver Kontakt mit einer infizierten Indexperson und eine Erkrankung innerhalb zwei Wochen nach dem Kontakt nachweisbar sein. Alternativ können Ausbruchsgeschehen am Arbeitsplatz unter bestimmten Voraussetzungen oder die Unterbringung in Gemeinschaftsunterkünften zur Anerkennung führen. Stets muss dabei aber auch der Kontakt zu möglichen anderen Indexpersonen in nicht-versicherten Lebensbereichen geprüft werden.

Anerkennung von Berufskrankheiten auf Höchststand

Laut Statistik der DGUV sind bis zum 31.03.2022 bereits 254.732 Verdachtsanzeigen im Zusammenhang mit COVID-19 gestellt worden. Hiervon sind 197.553 Fälle entschieden worden, wovon wiederum 146.038 Fälle als BK 3101 anerkannt wurden. Hinzu kommen 16.814 als Arbeitsunfall anerkannte Infektionen bei 48.541 Meldungen.

Zum Vergleich: 2019 wurden insgesamt (alle BK gemäß SGB VII § 9 Abs. 1 und 2) 80.132 Verdachtsanzeigen gestellt und 18.156 Fälle anerkannt, bei weiteren 17.108 wurde eine berufliche Verursachung festgestellt, ohne dass besondere versicherungsrechtliche Voraussetzungen erfüllt waren.

Post-COVID – Daten und Fakten?

Die Datenlage zu Post-COVID (synonym: Post-COVID-Zustand, Post-COVID-Syndrom) ist aus verschiedenen Gründen unübersichtlich. Die aktuelle WHO-Fall-Definition von Post-COVID lautet (World Health Organization 2021):

„Post-COVID-19 tritt bei Personen mit einer wahrscheinlichen oder bestätigten SARS-CoV-2-
Infektion in der Anamnese auf, in der Regel drei Monate nach Ausbruch der COVID-19-Erkrankung und mit Symptomen, die mindestens zwei Monate lang anhalten und nicht durch eine andere Diagnose erklärt werden können.

Zu den häufigen Symptomen gehören Müdigkeit, Kurzatmigkeit, kognitive Störungen, aber auch andere Symptome, die sich im Allgemeinen auf das tägliche Leben auswirken. Die Symptome können nach der anfänglichen Genesung von einer akuten COVID-19-Episode neu auftreten oder nach der ersten Erkrankung fortbestehen. Die Symptome können auch schwanken oder im Laufe der Zeit wieder auftreten.“

Insgesamt ist diese Definition unscharf und lässt viel Raum für individuelle Interpretationen. Auch ein Auftreten nach Infektionen trotz Impfung, asymptomatischen Verläufen oder leichter akuter Erkrankung ist beschrieben.

Erschwerend kommt hinzu, dass eine einheitliche Bezeichnung in der Literatur fehlt. Neben Post-COVID wurden und werden teilweise weitere Begriffe genutzt, z. B. „long-covid“, „ongoing“, „post-acute“, „long haulers“ mit teils überlappenden und/oder uneinheitlichen Definitionen.

Die für die arbeitstechnischen Voraussetzungen und das Unfallversicherungsrecht relevanten Zeiträume und genutzten medizinischen Termini bei einer Erkrankung mit COVID-19 sind in ➥ Abb. 1 zusammengefasst.

Die vorliegenden wissenschaftlichen Arbeiten zeigen häufig qualitative Mängel. Neben dem inkonsistenten Gebrauch von Definitionen sind das Fehlen von Vergleichsgruppen, die fehlende Erhebung von Komorbiditäten und konkurrierenden Erkrankungen, die erheblichen Unterschiede zwischen den Patientenkollektiven (z. B. Intensivtherapie oder stationäre Therapie), fehlende Angaben zur Altersstruktur oder systematische Fehler (Bias) durch das Studiendesign nur einige der einschränkenden Probleme.

Eine weitere Schwierigkeit ist, dass zur Pathogenese des Krankheitsbildes bisher nur Hypothesen existieren. Postuliert werden unter anderem eine Persistenz des Virus, eine anhaltende Inflammationsreaktion, Autoimmunität, hämostaseologische Veränderungen, eine wesentliche psychosomatische Komponente oder die Folgen einer Therapie. Eine multifaktorielle Genese wird von vielen Autorinnen und Autoren angenommen (Koczulla et al. 2021). Auch dies erschwert die Beurteilung der Kausalität der Erkrankungsfolgen im Sinne des Unfallversicherungsrechts.

In der Literatur werden Prävalenzen von niedrigen einstelligen Prozentbereichen bis mehr als drei Viertel aller Erkrankten beschrieben (Groff et al. 2021). Der Sachverständigenrat der Bundesregierung geht in seiner aktuellen Stellungnahme vom 15.05.2022 von einer Prävalenz von ca. 10 % aus.

In einer vom Autorenteam durchgeführten selektiven Literaturrecherche wurden in Studien mit qualitativ hochwertigem Studiendesign lediglich zwei signifikant mit Post-COVID assoziierte persistierende Symptome identifiziert: Dyspnoe (Lund et al. 2021) und Anosmie (Matta et al. 2022). Weiterhin besteht mit hoher Wahrscheinlichkeit eine Assoziation mit anderen objektivierbaren Folgen wie Tachykardie, Arrhythmien, Haut- und Schleimhautveränderungen, Haarausfall, Organfibrosen, endokrine Störungen, Nervenschädigungen oder Nierenfunktionsstörungen im Zusammenhang mit einer durchgemachten COVID-19-Infektion (Nalbandian et al. 2021). Pathophysiologisch plausibel und gut erklärbar sind konkrete Organfolgeschäden durch zum Beispiel thrombembolische Ereignisse oder Sepsis im Rahmen der akuten Krankheitsphase.

Zahlreiche weitere, zumeist unspezifische Symptome werden vorrangig von den Erkrankten selbst genannt und in der Literatur im Zusammenhang mit Post-COVID beschrieben, allen voran Fatigue/Müdigkeit/Leistungsminderung und unter anderem Husten, Schnupfen, Kopfschmerzen, Muskel-/Gelenkschmerzen, Fieber, Schüttelfrost, Geschmacksverlust, Durchfall und andere Verdauungsbeschwerden, Erbrechen, Bauchschmerzen, Hitzewallungen, Übelkeit, Halsschmerzen, Brustschmerzen, sonstige Schmerzen, Schlafstörungen, Depression, Angst-/Panikstörungen, Symptome einer posttraumatischen Belastungsstörung (PTBS), weitere psychische Symptome, kognitive Einschränkungen inklusive Konzentrations- und Gedächtnisstörungen, Verwirrtheit, Schwindel, Tinnitus, Ohrenschmerzen, Palpitationen, Gewichts-/Appetitverlust.

Post-COVID: Hinweise für psycho­somatische/somatopsychische Genese in Teilen der Fälle

Studien zeigen eine erhöhte Prävalenz von psychischen Erkrankungen nach einer COVID-19-Infektion (Taquet et al. 2021). Auch fallen bei einer Vielzahl der Symptome von Post-COVID-Fällen große Überschneidungen mit psychosomatischen Krankheitsbildern wie Depression oder Somatisierungsstörungen und deren Diagnosekriterien auf. Ursächlich könnte die vermutete multifaktorielle Pathogenese im Sinne eines bio-psycho-sozialen Krankheitsgeschehens sein, insbesondere unter Berücksichtigung der zahlreichen außergewöhnlichen zusätzlichen psychosozialen Anforderungen im Rahmen der Pandemie (u. a. Kurzarbeit, Lockdown, Maskenpflicht, reduzierte soziale Kontakte, Home-Schooling). Weitere psychologische Modelle wie das Vulnerabilitäts-Stress-Modell, das Prinzip der „Somatosensory Amplification“ oder Erklärungsmodelle somatoformer Störungen lassen sich in diesem Kontext anwenden und ermöglichen oftmals eine hinreichende Erklärung für unspezifische Symptomenkomplexe.

Sozialmedizinische und sozioöko­nomische Bedeutung von Post-COVID

Die exakten sozioökonomischen Folgen der Corona-Pandemie sind derzeit nicht abschätzbar. Neben individuellen gesundheitlichen und sozialen Folgen, vermehrten Zeiten der Arbeitsunfähigkeit, Präsentismus, Arbeitslosigkeit, Reduktion von Arbeitszeit, Kosten für Kranken- und Rentenversicherung, betrieblichen und gesamtwirtschaftlichen Auswirkungen sind die Unfallversicherungsträger in besonderem Maß betroffen. Bereits eine konservativ angenommene Post-COVID-Prävalenz von 2 % führt – Stand heute – zu ca. 3000 Berufskrankheiten mit potenzieller Minderung der Erwerbsunfähigkeit (MdE)-Relevanz. Neben den damit verbundenen Kosten ist auch der Verwaltungsaufwand als besondere Herausforderung zu nennen.

Tabelle 1:  Probleme und Herausforderungen in der Begutachtung von COVID-19-Folgen/Post-COVID

Tabelle 1: Probleme und Herausforderungen in der Begutachtung von COVID-19-Folgen/Post-COVID

Schwierigkeiten bei der Begut­achtung von COVID-19 und seinen
Folgen/Post-COVID

Wie aus der vorstehenden Einführung ersichtlich wird, bestehen im Kontext der Begutachtung einer Berufskrankheit „Post-COVID“ zahlreiche Probleme und Herausforderungen. In ➥ Tabelle 1 sind die Hauptprobleme und die möglichen Folgen beziehungsweise Herausforderungen zusammengefasst.

Die genannten zahlreichen Unsicherheitsfaktoren erschweren die ärztliche Beurteilung der Erkrankungsfolgen.

Handlungsbedarf

Um den Ansprüchen der Versicherten, der Unfallversicherungsträger und der begutachtenden Ärztinnen und Ärzte gerecht zu werden, ist eine schnellstmögliche Erarbeitung und Etablierung einheitlicher Empfehlungen beziehungsweise einer Leitlinie zur Anerkennung/Begutachtung der Folgen von COVID-19-Infektionen, insbesondere mit Blick auf Post-COVID, erforderlich. Diese soll den Anforderungen des BK-Rechts, dem Wunsch nach Orientierung der Gutachterinnen und Gutachter sowie dem Ziel einer gutachterunabhängigen Bewertung gerecht werden.

Idealerweise würde die Erarbeitung einer entsprechenden Empfehlung durch eine interdisziplinäre Konsensuskonferenz erfolgen. Jedoch werden bereits jetzt zunehmend Gutachtenaufträge zu Post-COVID-Fällen vergeben. Eine zeitnahe Zwischenlösung scheint daher unabdingbar. Am Institut und Poliklinik für Arbeits-, Sozial- und Umweltmedizin der Universität Erlangen-Nürnberg (IPASUM) wurde eine Begutachtungsempfehlung entworfen, die am IPASUM als interne Richtlinie genutzt wird und zur Diskussion gestellt werden soll. Dieser Vorschlag kann nur vorläufig sein und muss kontinuierlich validiert und modifiziert werden.

Ziel bei der Erstellung des Vorschlags war die bestmögliche Integration der unterschiedlichen Interessen der Beteiligten, die auch eine zeitnahe Begutachtung umfasst. Grundlage hierfür waren erste Erfahrungen aus der Begutachtung von COVID-Erkrankten, eine selektive Literaturrecherche sowie weiterführende Überlegungen und der interkollegiale Diskurs mit Konsensfindung in einem informellen Verfahren.

Tabelle 2:  Grundvoraussetzungen für Post-COVID im Unfallversicherungsrecht

Tabelle 2: Grundvoraussetzungen für Post-COVID im Unfallversicherungsrecht
Tabelle 3:  Haupt- und Nebenkriterien für die Diagnosestellung Post-COVID im Sinne des Unfallversicherungsrechts

Tabelle 3: Haupt- und Nebenkriterien für die Diagnosestellung Post-COVID im Sinne des Unfallversicherungsrechts

Post-COVID bzw. Folgen einer COVID-19-Infektion im Vollbeweis

Im weiteren Text werden die Begriffe Post-COVID und Folgen einer COVID-19-Erkrankung synonym verwendet.

Die Grundvoraussetzungen, die alle erfüllt sein müssen und ohne die nach unserer Auffassung keine Post-COVID-Erkrankung entsprechend den hohen Ansprüchen des Unfallversicherungsrechts (UV-Recht) vorliegen kann, zeigt ➥ Tabelle 2.

Eine Schwierigkeit umfasst die nach dem UV-Recht geforderte zweifelsfreie Sicherung der Erkrankung beziehungsweise deren (Folge-)Schäden. Um dieser Anforderung gerecht zu werden, wurden Diagnosekriterien entworfen, die eine Stratifizierung ermöglichen und gleichzeitig auch in unklaren Fällen (z. B. nach asymptomatischen Verlauf), unter bestimmten Voraussetzungen, eine BK-Folge wahrscheinlich machen (➥ Tabelle 3).

Wir schlagen vor, dass zur Erbringung des Vollbeweises eines Post-COVID-Zustands

  • 2 von 3 Hauptkriterien oder
  • 1 Hauptkriterium und beide Nebenkriterien
  • zu fordern sind. Damit könnte der Vollbeweis eines Post-COVID beziehungsweise der Folgen einer COVID-19-Infektion im Sinne des UV-Rechts („mit an Sicherheit grenzender Wahrscheinlichkeit“) als erbracht anzusehen sein.

    Ausnahme: Eine, nach einer hochgradig-invasiven Intensivtherapie (z. B. Intubation/extrakorporale Membranoxygenierung) oder langer Liegezeit (> 2 Wochen) auf der Intensivstation, gesicherte PTBS, die auf diese Erlebnisse zurückgeführt werden kann, kann unabhängig von den oben genannten Kriterien nach psychiatrisch-psychologischer Begutachtung als Krankheitsfolge anerkannt werden.

    Spezifische somatische Folgen

    Die spezifischen somatischen Folgen einer COVID-19-Infektion lassen sich anhand der Literatur in folgenden Bereichen finden:

  • pulmonal,
  • kardial,
  • renal,
  • neurologische Störungen mit organischem Korrelat,
  • persistierende Geruchs- und/oder Geschmacksstörungen,
  • endokrine Störungen, vor allem Diabetes mellitus Typ I, Störungen der Hypophysen-Hypothalamus-Achse und Schilddrüsenerkrankungen,
  • Autoimmunerkrankungen,
  • Schwindel,
  • sonstige Folgen thrombembolischer Ereignisse,
  • nur im Kindes-/Jugendalter zu erwarten: Hyperinflammationssyndrome wie Kawasaki-Syndrom, Multisystem Inflammatory Syndrome in Children (MIS-C) und Pediatric Inflammatory Multisystem Syndrome (PIMS).
  • Besteht bei den Versicherten eine führende Symptomatik in einem oder mehreren der vorgenannten somatischen Bereiche (d. h. die somatisch bedingten Symptome sind für den deutlich überwiegenden Anteil der subjektiven Symptomlast verantwortlich), sollte eine Zusammenhangsbegutachtung erfolgen.

    Hinsichtlich der Beurteilung des Ausmaßes der MdE sind Empfehlungen für vergleichbare Erkrankungen von Organsystemen heranzuziehen (z. B. Reichenhaller oder Falkensteiner Empfehlungen oder Mehrtens/Valentin/Schönberger: Arbeitsunfall und Berufskrankheit).

    Unspezifische Folgesymptomatik

    Sind die Folgen der COVID-19-Erkrankung jedoch wesentlich durch unspezifische Symptome gekennzeichnet und sind gleichzeitig die Kriterien für Post-COVID erfüllt, sollte direkt eine Begutachtung auf psychosomatischem Fachgebiet erfolgen.

    Bei einer vorrangig unspezifischen Symptomatik, zum Beispiel Leistungsminderung ohne passendes organisches Korrelat oder Konzentrationsminderung, ist von einem multifaktoriellen Geschehen auszugehen. Entsprechende Erkrankungen sind dem psychosomatischen Fachgebiet zuzuordnen. Im Rahmen der psychiatrisch-psychosomatischen Begutachtung erfolgt eine ausführliche Differenzialdiagnostik, die unter anderem folgende Punkte umfassen sollte:

  • Feststellung der Wesentlichkeit der COVID-19-Infektion für die Symptomatik/Folgen im Sinne des Unfallversicherungsrechtes
  • Im Zuge dessen: Feststellung, dass andere Stressoren (z. B. anderer Virusinfekt) mit hoher Wahrscheinlichkeit nicht geeignet gewesen wären, um die vorliegende oder eine vergleichbare Symptomatik unter vergleichbaren Bedingungen (Lockdown etc.) auszulösen
  • Ausschluss von Vorstufen der Symptomatik vor der COVID-19-Erkrankung
  • Ausschluss psychischer Erkrankungen mit ähnlicher Symptomatik (z. B. Depression), die unabhängig von der
    COVID-19-Infektion bestehen
  • Ausschluss einer Aggravation (übertriebene/überhöhte, ausgeweitete oder verstärkte Symptomschilderung)
  • Erhebung von validierten psychometrischen Tests und Prüfung der Konsistenz zwischen Testergebnis und ärztlicher Einschätzung nach der Anamnese.
  • Diese Kriterien sind als Vorschlag, der die hohen Anforderungen des UV-Rechts auch im Kontext psychischer Erkrankungen berücksichtigt, anzusehen.

    Hinsichtlich der Begutachtung von Post-COVID im neurologisch-psychiatrischen Teilgebiet möchte das Autorenteam ergänzend auf einen zeitgleich mit der vorliegenden Arbeit entstandenen Artikel verweisen (Tegenthoff et al., siehe „Weitere Infos“).

    Geforderte Diagnostik

    Auf Grundlage der bekannten spezifischen somatischen Korrelate und der möglichen Folgeerkrankungen wurden die im Rahmen der Begutachtung zu fordernden diagnostischen Maßnahmen definiert, um den Anforderungen des UV-Rechts zu entsprechen, und in einer Checkliste zusammengestellt. Diese sind nach Erkrankungsgebiet unterteilt. Die Diagnostik zu einem Erkrankungsgebiet ist nur bei Vorliegen entsprechender Symptome obligat.

    Gleichzeitig enthält die Checkliste Hinweise zu weiteren Befunde, welche bereits in der Aktenlage enthalten sein sollten oder gegebenenfalls bereits im Vorfeld der Begutachtung erbracht werden sollten.

    Die entsprechende Checkliste ist auf der ASU-Homepage bei der Online-Version des Beitrags abrufbar (s. auch „Weitere Infos“).

    Empfehlungen von weiteren Maßnahmen

    Bei positiver Begutachtung sind allgemeine und folgespezifische Maßnahmen, die ein Fortschreiten verhindern oder eine Besserung bedingen können, unter Berücksichtigung des Einzelfalles zu Lasten des Unfallversicherungsträger zu empfehlen, zum Beispiel Rehabilitationsmaßnahmen, Trainings-, Physio- oder Ergotherapien.

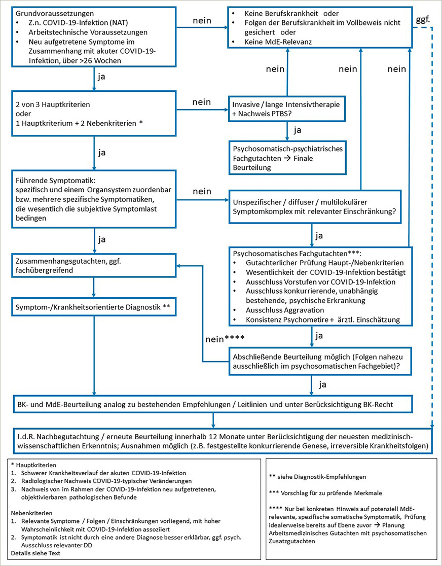
    Abb. 2:  Zusammenfassung der Begutachtungsempfehlung als Flowchart

    Abb. 2: Zusammenfassung der Begutachtungsempfehlung als Flowchart

    Nachbegutachtung

    Mit einem weiter stetig rasch wachsenden Erkenntnisgewinn zu Post-COVID ist zu rechnen. Auch ist in einer Vielzahl der Fälle, gegebenenfalls unterstützt durch eine Therapie der Krankheitsfolgen, eine (Teil-)Reversibilität denkbar. Aus diesen Gründen ist eine erneute Beurteilung innerhalb von 12 Monaten zu empfehlen. Abweichungen hiervon sind möglich, beispielsweise im Falle (nahezu) irreversibler Schäden (z. B. Lungenfibrose, Z. n. Amputation, Z. n. Schlaganfall, strukturelle Schäden des Herzens).

    Im Falle der Ablehnung einer BK sollte eine erneute Begutachtung erfolgen, sofern neue wissenschaftliche Erkenntnisse vorliegen, welche eventuell zu einer veränderten Beurteilung führen. Fälle mit nachgewiesener konkurrierender Ursache der Folgen beziehungsweise fehlender Wesentlichkeit der COVID-19-Infektion und damit einhergehender Ablehnung dürften hiervon jedoch ausgenommen sein.

    ➥ Abbildung 2 fasst die vorgestellte Begutachtungsempfehlung als Flowchart zusammen.

    Diskussion

    Wie bereits oben dargestellt, können die Folgen einer COVID-19-Infektion als Berufskrankheit oder Arbeitsunfall schon allein aufgrund der Neuartigkeit der Erkrankung nicht auf Erfahrungen gestützt begutachtet werden. Bei hoher medizinisch-wissenschaftlicher Unsicherheit liegt eine große sozioökonomische Bedeutung vor. Die vorliegende Empfehlung geht daher zwangsläufig mit Einschränkungen einher, die auch bereits in Tabelle 1 ausgeführt werden. Allerdings wurde versucht, einige der definierten Probleme durch diese Empfehlung zumindest teilweise zu lösen. Andere Einschränkungen lassen sich auf Basis des aktuellen Wissenstandes nicht umgehen.

    Die Begutachtungsempfehlung beruht auf einer selektiven Literaturrecherche und ist lediglich als Diskussionsgrundlage zu verstehen. Die zeitnahe Etablierung dieses Vorschlags war in erster Linie für die bereits laufenden Begutachtungsverfahren gedacht, um eine Grundlage für ein einheitliches Vorgehen und eine nachvollziehbare Beurteilung zu schaffen.

    Es ist zu betonen, dass dieser Beitrag nicht zum Ziel hat, allgemeingültige Kriterien für Post-COVID zu postulieren oder die Diagnostik und Therapie in anderen medizinischen Fachbereichen zu beeinflussen. Die Empfehlung behandelt ausdrücklich und ausschließlich die Bewertung von Post-COVID beziehungsweise der Folgen einer COVID-19-Infektion im Sinne des UV-Rechts mit seinen Besonderheiten.

    Hinsichtlich der Empfehlungen zur psychosomatischen Beurteilung vorwiegend unspezifischer Krankheitsfälle beziehungsweise Symptome ist festzuhalten, dass diese die eigenen Erfahrungen und Expertise im Fachbereich Psychosomatik mit den Besonderheiten des UV-Rechts zu kombinieren versucht. Die Vorschläge sind unverbindlich und sollten durch psychosomatische Fachgesellschaften oder Arbeitsgruppen, unter arbeitsmedizinischer Beteiligung, diskutiert und weiterentwickelt werden.

    Bezüglich der Folgen einer Intensivtherapie, unabhängig von der zugrunde liegenden intensivpflichtigen Erkrankung, findet sich in der Literatur das Krankheitsbild Post-Intensive-Care-Syndrom (PICS). PICS ist ein ebenfalls vergleichsweise neu geschaffener Krankheitsbegriff und es bestehen weitgehend ähnliche Probleme in der Beurteilung wie bei Post-COVID. Auch das Symptomspektrum zeigt große Überschneidungen mit den oben dargestellten Krankheitsfolgen. Daher wurde PICS nicht als separate Krankheitsentität in die Begutachtungsempfehlung aufgenommen, da die im Vollbeweis nachweisbaren PICS-Krankheitsfolgen bereits durch die definierten Post-COVID-Symptom-Bereiche abgedeckt sind.

    Einzig die Diagnose PTBS (als Erkrankung im Rahmen eines PICS) wurde durch das formulierte Ausnahmekriterium zusätzlich in die vorliegende Empfehlung aufgenommen, zumal eine PTBS MdE-relevante Folgen mit sich bringen kann. Bei einer hochgradig invasiven Intensivtherapie mit erheblicher Wahrscheinlichkeit eines dennoch letalen Ausgangs ist von einem Trauma in psychologischen Sinn auszugehen, so dass das A-Kriterium der gut definierten PTBS-Diagnosekriterien (nach DSM-5) erfüllt sein dürfte.

    Weitere Symptommanifestationen wurden in der Literatur gefunden, die in die oben vorgestellten Empfehlungen jedoch noch nicht eingeflossen sind. Häufig wurden Haarausfall und Hautveränderungen beschrieben. Bezüglich des Haarausfalls besteht die Schwierigkeit, dass dieser häufig mit einer zeitlichen Latenz auftritt und in der Regel nicht als MdE-relevant zu werten sein dürfte, außer aufgrund des Haarausfalls entwickelt sich nachweislich eine weitere Folgeerkrankung, zum Beispiel eine Depression. Gleiches gilt für seltener beschriebene Hautveränderungen.

    Die in der WHO-Definition mögliche Latenz von drei Monaten für das Auftreten der neuen Symptomatik nach Erkrankungsbeginn muss bei der Betrachtung der Kausalität im Sinne des UV-Rechts kritisch gewürdigt werden.

    Die Stärken der vorgestellten und zur Diskussion gestellten Empfehlung sind:

  • Definierte Kriterien für die Sicherung von Post-COVID im Vollbeweis und Schaffung einer einheitlichen und damit sozial gerechten Beurteilungsgrundlage
  • Möglichkeit einer Stratifizierung bei gleichzeitiger Berücksichtigung eines breiten Symptomspektrums
  • Abgrenzung von im Vordergrund stehenden, eigenständigen psychosomatischen Krankheitsverläufen und deren direkten Verweis an entsprechende Fachgutachterinnen/-gutachter anhand klarer Kriterien (Vermeidung von unnötigen Mehrfachbegutachtungen)
  • Festlegung eines standardisierten Mindestuntersuchungsumfangs
  • Bestmögliche Berücksichtigung der Besonderheiten des UV-Rechts und der Einschränkungen der Empfehlungen durch Kompromisslösungen.
  • Die Autorinnen und Autoren freuen sich über alle Rückmeldungen von erfahrenen medizinischen Gutachterinnen und Gutachtern zur Validität und Weiterentwicklung des Vorschlags und laden ausdrücklich zur Diskussion ein.

    Interessenskonflikt: Herr Prof. Drexler ist als Gutachter für Unfallversicherungsträger und Gerichte tätig sowie Mitglied im ärztlichen Sachverständigenrat. Frau Prof. Schmitz-Spanke, Frau Dr. Hiller und Herr Dr. Ott wirken als Sachbearbeiterinnen und Sachbearbeiter bei Gutachten im Auftrag von Unfallversicherungsträgern und Gerichten mit.

    Literatur

    August D, Giesen R, Götz V, Pfau S, Stete K, Kern WV: Post-COVID-Syndrom: Anhaltend krank nach SARS-CoV-2. Dtsch Arztebl 2022; 10: A-432/B-354.

    Augustin M, Schommers P, Stecher M et al.: Post-COVID syndrome in non-hospitalised patients with COVID-19: a longitudinal prospective cohort study. Lancet Reg Health Eur 2021; 100122.

    Blankenburg J, Wekenborg MK, Reichert J et al.: Comparison of mental health outcomes in seropositive and seronegative adolescents during the COVID19 pandemic. Sci Rep 2022; 1: 2246.

    Burgers J: "Long covid": the Dutch response. BMJ 2020; m3202.

    Cabrera Martimbianco AL, Pacheco RL, Bagattini AM, Riera R: Frequency, signs and symptoms, and criteria adopted for long COVID-19: A systematic review. Int J Clin Pract 2021; 10: e14357.

    Cares-Marambio K, Montenegro-Jimenez Y, Torres-Castro R et al.: Prevalence of potential respiratory symptoms in survivors of hospital admission after coronavirus disease 2019 (COVID-19): A systematic review and meta-analysis. Chron Respir Dis 2021; 14799731211002240.

    Chevinsky JR, Tao G, Lavery AM et al.: Late Conditions diagnosed 1-4 months following an initial coronavirus disease 2019 (COVID-19) encounter: a matched-cohort study using inpatient and outpatient administrative data-United States, 1 March–30 June 2020. Clin Infect Dis 2021; Suppl 1: S5–S16.

    Chippa V, Aleem A, Anjum F: Post Acute Coronavirus (COVID-19) Syndrome. 2022. https://www.ncbi.nlm.nih.gov/books/NBK570608/

    Daste C, Ficarra S, Dumitrache A et al.: Post-intensive care syndrome in patients surviving COVID-19. Ann Phys Rehabil Med 2021; 6: 101549.

    Deutsche Gesellschaft für Pädiatrische Infektiologie: Stellungnahme der DGPI, API, DGKJ, DGPK, GPOH, GKJR, GPP und STAKOB zur Klinik, Diagnostik und Therapie von Kindern mit COVID-19 – Update Februar 2022.

    Deutsche Gesetzliche Unfallversicherung: Berufskrankheitengeschehen. 2021a. https://www.dguv.de/de/zahlen-fakten/bk-geschehen/index.jsp (abgerufen am 04.05.2022).

    Deutsche Gesetzliche Unfallversicherung: COVID-19 als Berufskrankheit oder Arbeitsunfall. 2021b. https://www.dguv.de/de/mediencenter/hintergrund/corona_arbeitsunfall/in… (abgerufen am 04.05.2022).

    Deutsche Gesetzliche Unfallversicherung: Berufskrankheiten und Arbeitsunfälle im Zusammenhang mit COVID-19. 2022. https://www.dguv.de/medien/inhalt/mediencenter/hintergrund/covid/dguv_z… (abgerufen am 04.05.2022).

    El Sayed S, Shokry D, Gomaa SM: Post-COVID-19 fatigue and anhedonia: A cross-sectional study and their correlation to post-recovery period. Neuropsychopharmacol Rep 2021; 1: 50–55.

    Falkai P, Wittchen H-U (Hrsg.): Diagnostische Kriterien DSM-5. 1. Aufl. Göttingen: Hogrefe, 2015.

    Forster C, Colombo MG, Wetzel AJ, Martus P, Joos S: Persisting symptoms after COVID-19-prevalence and risk factors in a population-based cohort. Dtsch Arztebl Int 2022; Forthcoming.

    Groff D, Sun A, Ssentongo AE et al.: Short-term and long-term rates of postacute sequelae of SARS-CoV-2 infection: a systematic review. JAMA Netw Open 2021; 10: e2128568.

    Gunster C, Busse R, Spoden M et al.: 6-month mortality and readmissions of hospitalized COVID-19 patients: A nationwide cohort study of 8,679 patients in Germany. PLoS One 2021; 8: e0255427.

    Heesakkers H, van der Hoeven JG, Corsten S et al.: Clinical outcomes among patients with 1-year survival following intensive care unit treatment for COVID-19. JAMA 2022; 6: 559–565.

    Horn A, Krist L, Lieb W et al.: Long-term health sequelae and quality of life at least 6 months after infection with SARS-CoV-2: design and rationale of the COVIDOM-study as part of the NAPKON population-based cohort platform (POP). Infection 2021; 6: 1277–1287.

    Hoyer J, Knappe S (Hrsg.): Klinische Psychologie & Psychotherapie. 3. Aufl. Berlin: Springer, 2020.

    Huang C, Huang L, Wang Y et al.: 6-month consequences of COVID-19 in patients discharged from hospital: a cohort study. Lancet 2021; 10270: 220–232.

    Huang L, Yao Q, Gu X et al.: 1-year outcomes in hospital survivors with COVID-19: a longitudinal cohort study. Lancet 2021; 10302: 747–758.

    Inoue S, Hatakeyama J, Kondo Y et al.: Post-intensive care syndrome: its pathophysiology, prevention, and future directions. Acute Med Surg 2019; 3: 233–246.

    Khan M, Yoo SJ, Clijsters M et al.: Visualizing in deceased COVID-19 patients how SARS-CoV-2 attacks the respiratory and olfactory mucosae but spares the olfactory bulb. Cell 2021; 24: 5932–5949, e5915.

    Koczulla AR, Ankermann T, Behrends U et al.: S1-Leitlinie Post-COVID/Long-COVID. 2017.

    Lackermair K, Wilhelm K, William F et al.: The prevalence of persistent symptoms after COVID-19 disease – a cross-sectional study of 896 patients treated on an outpatient basis. Dtsch Arztebl Int 2022; 175–176.

    Lenzen-Schulte M: Multiple vorbestehende Risikofaktoren: Long COVID ist nicht nur Schicksal. Dtsch Arztebl 2022; 10: A-438/B-359.

    Lund LC, Hallas J, Nielsen H, Koch A, Mogensen SH, Brun NC, Christiansen CF, Thomsen RW, Pottegard A: Post-acute effects of SARS-CoV-2 infection in individuals not requiring hospital admission: a Danish population-based cohort study. Lancet Infect Dis 2021; 10: 1373–1382.

    Matta J, Wiernik E, Robineau O et al., P R e I S e P G P l C C-S S G: Association of self-reported COVID-19 infection and SARS-CoV-2 serology test results with persistent physical symptoms among french adults during the COVID-19 pandemic. JAMA Intern Med 2022; 1: 19–25.

    Mehrtens G: Arbeitsunfall und Berufskrankheit : rechtliche und medizinische Grundlagen für Gutachter, Sozialverwaltung, Berater und Gerichte. 9. Aufl. Berlin: Erich Schmidt, 2017.

    Möller H-J, Laux G, Kapfhammer H-P (Hrsg.): Psychiatrie, Psychosomatik, Psychotherapie. 5. Aufl. Berlin: Springer, 2017.

    Moreno-Perez O, Merino E, Leon-Ramirez JM et al. Post-acute COVID-19 syndrome. Incidence and risk factors: A Mediterranean cohort study. J Infect 2021; 3: 378–383.

    Nakanishi N, Liu K, Kawakami D et al.: Post-intensive care syndrome and its new challenges in coronavirus disease 2019 (COVID-19) pandemic: a review of recent advances and perspectives. J Clin Med 2021; 17.

    Nalbandian A, Sehgal K, Gupta A et al.: Post-acute COVID-19 syndrome. Nat Med 2021; 4: 601–615.

    Nasserie T, Hittle M, Goodman SN: Assessment of the frequency and variety of persistent symptoms among patients with COVID-19: A Systematic Review. JAMA Netw Open 2021; 5: e2111417.

    National Institute for Health and Care Excellence (NICE), Scottish Intercollegiate Guidelines Network (SIGN) and Royal College of General Practitioners (RCGP): COVID-19 rapid guideline: managing the long term effects of COVID-19. 2022.

    Nittas V, Puhan M, Raineri A, Gao M, West E: Literature screening report: Long COVID: Evolving definitions, burden of disease and socio-economic consequences. Swiss School of Public Health, 2021.

    Petersen MS, Kristiansen MF, Hanusson KD et al.: Long COVID in the Faroe Islands: a longitudinal study among nonhospitalized patients. Clin Infect Dis 2021; 11: e4058–e4063.

    Raveendran AV: Long COVID-19: Challenges in the diagnosis and proposed diagnostic criteria. Diabetes Metab Syndr 2021; 1: 145–146.

    Robert Koch-Institut: Corona-Monitoring bundesweit (RKI-SOEP-Studie). Berlin: Robert Koch-Institut, 2021a.

    Robert Koch-Institut: Epidemiologischer Steckbrief zu SARS-CoV-2 und COVID-19. 2021b. https://www.rki.de/DE/Content/InfAZ/N/Neuartiges_Coronavirus/Steckbrief… (abgerufen am 04.05.2022).

    Robert Koch-Institut: Gesundheitliche Langzeitfolgen. 2022. https://www.rki.de/SharedDocs/FAQ/NCOV2019/FAQ_Liste_Gesundheitliche_La… (abgerufen am 04.05.2022).

    Schulz M, Mangiapane S, Scherer M, Karagiannidis C, Czihal T: Post-acute sequelae of SARS-CoV-2 infection – characterization of community-treated patients in a case – control study based on nationwide claims data. Dtsch Arztebl Int 2022; 177–178.

    Sudre CH, Murray B, Varsavsky T et al.: Attributes and predictors of long COVID. Nat Med 2021; 4: 626–631.

    Taquet M, Dercon Q, Luciano S, Geddes JR, Husain M, Harrison PJ: Incidence, co-occurrence, and evolution of long-COVID features: A 6-month retrospective cohort study of 273,618 survivors of COVID-19. PLoS Med 2021; 9: e1003773.

    Taquet M, Geddes JR, Husain M, Luciano S, Harrison PJ: 6-month neurological and psychiatric outcomes in 236 379 survivors of COVID-19: a retrospective cohort study using electronic health records. Lancet Psychiatry 2021; 5: 416–427.

    Welte T: Post-COVID syndrome – more questions than answers. Dtsch Arztebl Int 2022; 165–166.

    World Health Organization (WHO) Working Group on the Clinical Characterisation and Management of COVID-19 infection: A minimal common outcome measure set for COVID-19 clinical research. Lancet Infect Dis 2020; 8: e192–e197.

    World Health Organization (WHO): A clinical case definition of post COVID-19 condition by a Delphi consensus. 2021. https://www.who.int/publications/i/item/WHO-2019-nCoV-Post_COVID-19_con… (abgerufen am 05.05.2022).

    doi:10.17147/asu-1-204756

    Weiterführende Infos

    Eine Diagnostik-Empfehlung finden Sie unter diesem Beitrag als ergänzendes Material.

    Definition Schweregrad einer COVID-19-Infektion: WHO Working Group on the Clinical Characterisation and Management of COVID-19 infection:
    https://www.ncbi.nlm.nih.gov/pmc/articles/PMC7292605/pdf/main.pdf

    Tegenthoff et al.: Neurologisch-psychiatrische Begutachtung des Post-COVID-Syndroms. Nervenarzt 2022
    https://www.ncbi.nlm.nih.gov/pmc/articles/PMC9017073/pdf/115_2022_Artic…

    World Health Organization: A clinical case definition of post COVID-19 condition by a Delphi consensus
    https://www.who.int/publications/i/item/WHO-2019-nCoV-Post_COVID-19_con…

    DGUV: COVID-19 als Berufskrankheit oder Arbeitsunfall
    https://www.dguv.de/de/mediencenter/hintergrund/corona_arbeitsunfall/in…

    S1-Leitlinie Post-COVID
    https://www.awmf.org/uploads/tx_szleitlinien/020-027l_S1_Post_COVID_Lon…

    Kernaussagen

  • Die Folgen von COVID-19-Erkrankungen haben eine hohe sozialrechtliche Relevanz.
  • Es bestehen derzeit zahlreiche Probleme und bisher ungelöste Herausforderungen in der
    Beurteilung der Folgen einer COVID-19-Erkrankung in der medizinischen Begutachtung.
  • Empfehlungen zur Begutachtung von versicherten Personen mit Post-COVID sind dringend notwendig, um eine vereinheitlichte Beurteilung zu gewährleisten.
  • Die vorliegende Arbeit stellt einen Entwurf für eine Begutachtungsempfehlung der Folgen
    einer COVID-19-Erkrankung unter Berücksichtigung der bestehenden Probleme und den Anforderungen des Unfallversicherungsrechtes zur Diskussion.
  • Koautorenteam

    Dr. med. Julia Hiller
    Prof. Dr. med. Simone Schmitz-Spanke
    Prof. Dr. med. Hans Drexler

    Institut und Poliklinik für Arbeits-, Sozial- und Umweltmedizin, Friedrich-Alexander-Universität Erlangen-Nürnberg

    Kontakt

    Dr. med. Dipl.-Mol.Med. Stephan Ott
    Institut und Poliklinik für Arbeits-, Sozial- und Umweltmedizin der Friedrich-Alexander-Universität Erlangen-Nürnberg; Henkestraße 9–11; 91054 Erlangen

    Foto: privat

    Das PDF dient ausschließlich dem persönlichen Gebrauch! - Weitergehende Rechte bitte anfragen unter: nutzungsrechte@asu-arbeitsmedizin.com.