Springe auf Hauptinhalt Springe auf Hauptmenü Springe auf SiteSearch

Vergleich zweier Screening-Verfahren zur Farb­sinnprüfung: Ishihara-Tafeln vs. digitales Replikat

D. Grau

(eingegangen am 22.04.2020, angenommen am 22.02.2021)

Comparison of two screening procedures for testing
colour perception: Ishihara plates vs. digital replication

Purpose: The study was designed to prove that the digitalized colour vision test integrated into the Optovist II is equivalent to the traditional Ishihara colour charts.

Methods: Colour vision was tested with a sample size of 220 subjects
(36 colour-deficient) and three different test methods. A new version of the Ishihara tablets was used under standard lighting conditions and at a distance of about 75 cm. The colour vision test (digitalized Ishihara plates) of a calibrated Optovist II (Vistec AG, Olching) and an HMC anomaloscope (Oculus Optikgeräte GmbH, Wetzlar) were also used. The first 17 plates of the Ishihara test were assessed in both the Ishihara colour vision test and the Optovist II, because the plates contain 18–24 lines that are not suitable for testing in the vision-testing device.

Results: The test subject was classified as colour-deficient after two false readings of the pseudoisochromatic plates. The Ishihara plates provided the correct result in 200 subjects compared to the gold standard anomaloscope. In contrast, the Optovist II rated correctly in a total of 202 subjects. In the case of the Ishihara plates, 17 persons with normal colour vision were identified as having a colour deficiency, and three colour-deficient persons were classified as colour-competent. The Optovist II classified 16 colour-competent persons as colour-deficient, and two colour-deficient persons as colour-competent. In addition, it was possible to test for equivalence using the McNemar test and to verify this.

Conclusion: The two test methods should be considered equivalent. Both methods – Ishihara plates and their digital replica in the Optovist II – should be used exclusively as a screening method. A test with the anomaloscope should be performed for the final diagnosis.

Keywords: Ishihara colour vision test – pseudoisochromatic panels – color vision – anomaloscope – digital colour vision test

ASU Arbeitsmed Sozialmed Umweltmed 2021; 56: 222–227

Vergleich zweier Screening-Verfahren zur Farbsinnprüfung: Ishihara-Tafeln vs. digitales Replikat

Ziel: Durch diese Studie sollte nachgewiesen werden, dass der im Optovist II digitalisierte Farbsehtest gleichwertig mit den herkömmlichen Ishihara-Farbsehtafeln ist.

Methoden: An einer Stichprobe von 220 Testpersonen (davon 36 Farbfehlsichtige) zwischen 18 und 75 Jahren wurde anhand dreier verschiedener Testmethoden das Farbensehen geprüft. Es kam eine neuwertige Version der Ishihara-Tafeln unter Normlichtbedingungen und im Abstand von ca. 75 cm zum Einsatz. Des Weiteren wurde der Farbsehtest (digitalisierte Ishihara-Farbtafeln) eines kalibrierten Optovist II (Vistec AG, Olching) verwendet sowie ein HMC-Anomaloskop (Oculus Optikgeräte GmbH, Wetzlar). Beim Ishihara-Farbsehtest und Optovist II wurden jeweils die ersten 17 Tafeln des Ishihara-Tests geprüft, da die Tafeln 18–24 Linien beinhalten, die für die Prüfung im Sehtestgerät nicht geeignet sind.

Ergebnisse: Ab zwei Fehlern beim Vorlesen der pseudoisochromatischen Tafeln wurde die Testperson als farbfehlsichtig eingestuft. Die Ishihara-Tafeln lieferten bei 200 Testpersonen das richtige Ergebnis gegenüber dem festgelegten Goldstandard Anomaloskop. Im Gegensatz dazu bewertete der Optovist II bei insgesamt 202 Personen richtig. Bei den Ishihara-Tafeln wurden 17 Farbtüchtige als farbfehlsichtig identifiziert und drei Farbfehlsichtige als farbtüchtig eingestuft. Der Optovist II stufte 16 Farbtüchtige als farbfehlsichtig ein und zwei farbtüchtig, die farbfehlsichtig waren. Außerdem konnte mittels des McNemar-Tests auf Äquivalenz getestet und diese bestätigt werden.

Schlussfolgerung: Die beiden Testmethoden sind als gleichwertig zu erachten. Beide Verfahren – Ishihara Tafeln und ihr digitales Replikat im Optovist II – sollten ausschließlich als Screening-Verfahren eingesetzt werden. Zur endgültigen Diagnose ist eine Testung mit dem Anomaloskop durchzuführen.

Schlüsselwörter: Ishihara-Farbsehtest – pseudoisochromatische Tafeln – Farbensehen – Anomaloskop – digitaler Farbsehtest

Foto: Damaris Grau

Abb. 2: Probandin am Anomaloskop mit Bedieneroberfläche während der Untersuchung
Fig. 2: Test subject at the anomaloscope with user interface during the examination

Foto: Damaris Grau

Abb. 3: Probandin vor dem Optovist II mit der Darstellung in der Vistec App am PC
Fig. 3: Test subject in front of the Optovist II with the display in the Vistec app on the PC

Hintergrund

„Die Menschen empfinden im Allgemeinen eine große Freude an der Farbe. Das Auge bedarf ihrer, wie es des Lichtes bedarf.“
Johann Wolfgang von Goethe (1749–1832)

Wie Goethe schon schrieb, erfreuen sich die Menschen an dem vielseitigen Farbenspiel, das sie umgibt. Doch Farbe dient nicht nur zur Freude. Der Farbe beziehungsweise der Farbwahrnehmung fallen weit mehr Funktionen zu. Das Auge kann dabei mehrere Millionen Farbnuancen differenzieren (Erb u. Fahle 2006). Im Alltag erleichtert uns das Farbsehen durch den Farbkontrast eine einfachere und schnellere Distinktion von verschiedenen Gegenständen im Raum und trägt somit zu einer besseren Raumorientierung bei (Bühler et al. 2018). Oft erhöhen Farben insbesondere in Extremsituationen die Reaktionsgeschwindigkeit, wie dies beispielsweise in Krankenhäusern mit der Signalfarbe Rot der Fall ist (Bartel 2014). Genauso machte man sich mit der Industrialisierung im 19. Jahrhundert farbige Signale im Verkehr zu Nutze (Heinsius 1973). Doch da einige darauffolgende Verkehrskatastrophen auf Menschen mit veränderter Farbwahrnehmung zurückgeführt werden konnten, wurde eine Regelung zur Verkehrseignung angestrebt. Gerade im Verkehr kommen oft rote und grüne Signale zum Einsatz, obwohl Rot- und Grün-Farbsinnstörungen zu den häufigsten genetisch bedingten Funktionsstörungen beim Menschen gehören. In der Literatur wird eine Prävalenz von 8 % bei Männern und 0,4 % bei Frauen angegeben (Birch 1997).

Im Jahr 1921 folgte durch die Einführung der Ishihara-Tafeln ein Durchbruch in der Farbsehtestung als Bestandteil der Tauglichkeitsprüfung beim Militär (Thompson 2001) und später auch im Verkehr. In der Schifffahrt, im Flugverkehr, im Straßenverkehr, in der Chemiebranche, in der Kunst, in der Medizin, in der Elektrik und im Designbereich findet man Berufe, die Farbuntüchtige ausschließen müssen.

Bis heute garantieren Betriebe für unanfechtbare Leistungen ihrer Beschäftigten („Grundsätze der Prävention“ § 7 Abs. 1 DGUV Vorschrift), was zeigt, welche Bedeutung das Testen des Farbensehens im Bereich der Arbeitsmedizin hat. Mit der zunehmenden Digitalisierung werden auch vermehrt digitale Farbsehtests angeboten. Doch sind diese genauso verlässlich wie ihre analogen Originale? In dieser Studie wurde das analoge Testverfahren mittels der pseudoisochromatischen Tafeln von Ishihara und deren digitalem Replikat im Optovist II der Firma Vistec AG verglichen.

Methodik

Studiendesign

Das Farbensehen soll mithilfe der ersten 17 Tafeln aus der 24-Tafel-Edition 2007 (binokular) von Kanehara ICN., deren digitalisierter Form im Optovist II (binokular) der Vistec AG und dem HMC-Anomaloskop (monokular) von Oculus ermittelt werden.

Versuchspersonen

Die Testpersonen wurden in Kooperation mit der Hochschule Aalen und durch private Kontakte angeworben. Als Einschlusskriterien galten ein Visus CC von 0,7 sowie ein Alter zwischen 18 und 75 Jahren. Klares Ausschlusskriterium bei der Prüfung des Farbensehens war das Tragen jeglicher Form von Farbfiltern.

Methoden

Die Messungen wurden in untersuchungsgeeigneten Räumen vorgenommen, in denen die Lichtverhältnisse angepasst wurden. Mit einer Nahleseprobe wurde der Visus und mit dem Amsler-Gitter das zentrale Gesichtsfeld vor der Farbsehtestung überprüft. Darauf wurde randomisiert entweder mit den herkömmlichen Ishihara-Tafeln oder dem Optovist II begonnen. Bei der Testung an den Ishihara-Tafeln wurde auf die erforderlichen Normlichtbedingungen (Normlichtlampe D65 [JUST Normlicht GmbH, Weilheim/Teck] unter standardisierten Lichtbedingungen von ca. 400–1000 Lux [lx]) im Abstand von ca. 75 cm geachtet. Es folgte die Farbsinnprüfung am HMC-Anomaloskop. Je nachdem mit welchem Test begonnen wurde, endete die Untersuchung an den noch fehlenden Testtafeln. Die ➥ Abb. 1 bis 3 zeigen die verschiedenen Untersuchungssituationen.

Statistische Methode

In der Auswertung kamen verschiedene statistische Tests zum Einsatz. Sensitivität und Spezifität wurden von beiden Tests ausgewertet und mithilfe des erweiterten McNemar-Tests verglichen (T1 = Ishihara-Tafeln; T2 = Optovist-II-Farbsehtest) (➥ Tabelle 1), kann der McNemar-Test verallgemeinert werden (Lachenbruch u. Lynch 1998). Dies setzt allerdings voraus, dass auch anhand des Goldstandards gemessen wurde. Als weitere Voraussetzung muss die Anzahl der Farbtüchtigen der Anzahl der Farbfehlsichtigen entsprechen.

Um die Sensitivitäten zu vergleichen, definiert man:

Für die Spezifität wird definiert:

Es gilt zu beachten, dass der Nenner zur Errechnung der Sensitivität alle Testpersonen zusammenfasst, die laut dem Goldstandard bestanden haben (Lachenbruch u. Lynch 1998). Im Gegensatz dazu findet man im Nenner der Spezifität den Anteil aller Testpersonen, die nicht bestanden haben, bezogen auf den Goldstandard.

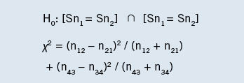
Nun lautet die Nullhypothese:

Die Nullhypothese wird abgelehnt, wenn χ2 > χ22 ;0,05 . Für 2 Freiheitsgrade ist χ22 ;0,05 = 5,991. Dieser Wert ist aus der χ2-Verteilung bei Freiheitsgrad 2 und einem Alpha von 0,05 entnommen.

Tabelle 1:  Tabellarische Darstellung für den Vergleich der Sensitivität und Spezifität der beiden Testmethoden (Ishihara-Tafeln und Optovist II-Farbsehtest). Abgeleitet von Lachenbruch u. Lynch (1998)Table 1: Tabular presentation for a comparison of the two test methods in terms of sensitivity and specificity (Ishihara plates and Optovist II colour vision test). Derived from Lachenbruch and Lynch (1998)

Tabelle 1: Tabellarische Darstellung für den Vergleich der Sensitivität und Spezifität der beiden Testmethoden (Ishihara-Tafeln und Optovist II-Farbsehtest). Abgeleitet von Lachenbruch u. Lynch (1998)
Table 1: Tabular presentation for a comparison of the two test methods in terms of sensitivity and specificity (Ishihara plates and Optovist II colour vision test). Derived from Lachenbruch and Lynch (1998)
Tabelle 2:  Übersicht über das gesamte Probandenkollektiv in Abhängigkeit vom GeschlechtTable 2: Overview of the test collective according to gender

Tabelle 2: Übersicht über das gesamte Probandenkollektiv in Abhängigkeit vom Geschlecht
Table 2: Overview of the test collective according to gender
Tabelle 3:  Übersicht über 36 farbfehlsichtige TestpersonenTable 3: Overview of 36 test subjects with colour vision deficiency

Tabelle 3: Übersicht über 36 farbfehlsichtige TestpersonenTable 3: Overview of 36 test subjects with colour vision deficiency
Abb. 4:  Histogramm zur Altersverteilung der ProbandenFig. 4: Histogram displaying the age distribution of test subjects

Abb. 4: Histogramm zur Altersverteilung der Probanden
Fig. 4: Histogram displaying the age distribution of test subjects

Ergebnisse

Während der Testphase haben 223 Testpersonen an der Studie teilgenommen. Davon erfüllten drei nicht die Einschlusskriterien. Von den 220 Testpersonen waren 58 % (n = 128) Männer und 42 % (n = 92) Frauen (➥ Tabelle 2). Von dieser Probandengruppe hatten 16 % (n = 36) eine Farbfehlsichtigkeit (➥ Tabelle 3). Wie durch die Einschlusskriterien festgelegt, betrug die Altersspanne der Teilnehmenden 18 bis 75 Jahre. Der Median lag bei 25 Jahren, das 1. Quartil bei 22 Jahren und das 3. Quartil bei 32 Jahren. Das Histogramm in ➥ Abb. 4 zeigt, dass eine schiefe Verteilung vorlag. Diese Verteilung kam hauptsächlich durch die erleichterte Akquirierung der Testpersonen zum Beispiel auf dem Campus zustande.

Die Anzahl der Farbfehlsichtigen mit einer Deutanstörung (n = 22) war höher als die Anzahl der Testpersonen mit einer Protanomalie beziehungsweise -anopie (n = 13). Dagegen war die Anzahl der Dichromaten (n = 9) geringer als die Anzahl der anomalen Trichromaten (n = 26). Es konnte ein Monochromat getestet werden.

Außerdem war unter den farbfehlsichtigen Frauen kein Dichromat. Zwei Frauen zeigten eine Protanomalie und vier eine Deuteranomalie.

Zu Beginn wurde festgelegt, dass ein Fehler noch zulässig ist, um jeweils die Ishihara-Tafeln und ihr digitales Replikat im Optovist II zu bestehen. Da lediglich 17 Tafeln zum Einsatz kamen, wurden die Probanden ab zwei Fehlern als farbfehlsichtig eingeschätzt. Außerdem geht aus der Literatur hervor, dass bei einem Tafelumfang von 36 ein Proband mit mehr als zwei Fehlern als farbfehlsichtig anzusehen ist (Miyahara 2008). Dadurch konnten 167 Testpersonen durch die Ishihara-Tafeln und 168 durch ihr digitales Replikat als richtig farbtüchtig ermittelt werden. Allerdings wurden durch die Ishihara-Tafeln auch 17 Teilnehmende als farbfehlsichtig dargestellt, obwohl sie farbtüchtig waren. Auch bei dem digitalen Farbsehtest wurden 16 Personen fälschlicherweise für farbfehlsichtig gehalten. Als farbfehlsichtig wurden an den Ishihara-Tafeln 33 und am Optovist II 34 Testpersonen erkannt. Nur ein Proband, der farbfehlsichtig war, hat die Pigmenttafeln ohne Fehler gelesen und auch die digitalisierten Tafeln im Optovist II mit nur einem Fehler bestanden. Zwei weitere Farbfehlsichtige haben die Ishihara-Tafeln (jeweils 1 Fehler) bestanden, wobei nur einer der beiden auch beim Optovist II (1 Fehler) bestanden hat und der andere mit drei Fehlern als farbfehlsichtig erkannt wurde (➥ Tabelle 4).

Mithilfe statistischer Testmethoden wurde zunächst der Cohens-Kappa-Koeffizient ermittelt, der mit einem Wert von 0,675 auf eine gute Übereinstimmung hinweist. Allerdings handelt es sich bei dem Cohens-Kappa-Koeffizienten lediglich um eine Maßzahl mit geringer Aussagekraft. Deshalb wurden weitere Tests durchgeführt wie der McNemar-Test auf Äquivalenz. Dabei bestätigte sich die Gleichwertigkeit der Testmethoden. Außerdem wurden mithilfe des ebenfalls geprüften Goldstandards die Sensitivität und Spezifität der beiden Methoden ermittelt. Durch den erweiterten McNemar-Test zeigte sich, dass sich Sensitivität und Spezifität der beiden Farbsinntests nicht signifikant unterscheiden.

Um nachzuweisen, dass kein signifikanter Unterschied bezüglich der Sensitivität und Spezifität der beiden Tests besteht, wird nun die bereits erklärte statistische Methode zur Durchführung des verallgemeinerten McNemar-Tests angewandt. Dabei gilt zu beachten, dass eine randomisiert ermittelte Gruppe von Farbtüchtigen gewählt wird, die der Anzahl der Farbfehlsichtigen entspricht. In diesem Fall wird die Zufallszahlentabelle nach Linder u. Berchtold (1979) angewandt. ➥ Tabelle 5 wurde dann entsprechend ausgefüllt und die Berechnungen wurden durchgeführt.

Sn1 = 0,9167 Sp1 = 0,972

Sn2 = 0,944 Sp2 = 0,8611

χ2 = 5

Weil der χ2-Wert 5 beträgt und damit nicht größer als χ22 ;0,05 = 5,991 ist, darf die Nullhypothese nicht abgelehnt werden. Dies bedeutet, dass kein signifikanter Unterschied zwischen der Sensitivität und Spezifität der beiden Testmethoden besteht.

Tabelle 4:  Gegenüberstellung der Testmethoden und der damit ermittelten Farbtüchtigen/FarbfehlsichtigenTable 4: Comparison of test methods and persons with normal/deficient colour vision thus identified

Tabelle 4: Gegenüberstellung der Testmethoden und der damit ermittelten Farbtüchtigen/Farbfehlsichtigen
Table 4: Comparison of test methods and persons with normal/deficient colour vision thus identified
Tabelle 5:  Tabellarische Darstellung für den Vergleich der Sensitivität und Spezifität der beiden Testmethoden (Ishihara-Tafeln und Optovist II-Farbsehtest)Table 5: Tabular presentation for a comparison of the two test methods in terms of sensitivity and specificity (Ishihara plates and Optovist II colour vision test)

Tabelle 5: Tabellarische Darstellung für den Vergleich der Sensitivität und Spezifität der beiden Testmethoden (Ishihara-Tafeln und Optovist II-Farbsehtest)
Table 5: Tabular presentation for a comparison of the two test methods in terms of sensitivity and specificity (Ishihara plates and Optovist II colour vision test)

Diskussion

Durch die präsentierten Ergebnisse wird deutlich, dass beide Messmethoden als gleichwertig anzuerkennen sind. Dennoch bestehen Unterschiede, die im Nachfolgenden diskutiert werden.

Im Praxisalltag werden die Ishihara-Tafeln oder auch andere Pigmenttafeln häufig zur Schnelltestung des Farbensinns verwendet. Dabei wird meist nicht auf die Untersuchungsbedingungen geachtet. Qualitätsanforderungen in Bezug auf die richtige Beleuchtung, Beleuchtungsstärke, Beobachtungsdistanz, -winkel und -zeit etc. werden selten berücksichtigt. Doch dies kann zu verfälschten Ergebnissen führen (Krastel et al. 2009). Als Vorteile eines digitalen Farbsehtests, wie dies im Optovist II der Fall ist, gelten die im Folgenden dargestellten Faktoren:

  • Beobachtungsabstand: Das Optovist II gibt durch eine Stirnstütze einen definierten Abstand vor, der bei den Pigmentproben selten ausgemessen wird. Bei den Ishihara-Tafeln wird ein Abstand von 75 cm verlangt.
  • Beobachtungswinkel: Während der Farbsinnprüfung an den analogen Farbtafeln kommt es schnell zu einem schrägen Betrachtungswinkel. Doch bei der Messung an einem Sehtestgerät wie dem Optovist II ist der Winkel wiederum durch die Stirnstütze und das Design vorgegeben, wodurch ein Erraten der Zahl mittels Kopfbewegungen oder das Wackeln der Testtafeln unterbunden werden kann.
  • Beobachtungszeit: Für die Ishihara-Tafeln ist eine Betrachtungszeit von 3 Sekunden festgelegt. Doch diese Zeit exakt einzuhalten, fällt bei einer digitalen Anwendung wesentlich leichter. Außerdem verlängert das Umblättern bei den Tafeln die Untersuchungszeit. Somit ist die Untersuchungsdauer bei der digitalisierten Testform verkürzt.
  • Beleuchtung: Die Farbsehtestung mit Pigmentproben wird üblicherweise unter „Tageslichtbedingungen“ durchgeführt. Dabei gibt es Vorgaben für geeignete Lichtquellen. Bei einer digitalisierten Form muss nicht jedes Mal auf die Beleuchtung geachtet werden.
  • Alterungsprozess der Pigmenttafeln: Im Gegensatz zu den Pigmenttafeln, bei denen auf die Auflage und das Erscheinungsjahr und den damit zusammenhängenden Alterungsprozess geachtet werden muss, ist bei der digitalen Darstellung wichtig, dass richtig und regelmäßig kalibriert und kontrolliert wird.
  • Gebrauchsspuren: Durch das Testen mit den Farbtafeln können Fettflecken oder andere Verschmutzungen auftreten, da oft keine Untersuchungshandschuhe verwendet werden. Im Gegensatz dazu sind die digitalisierten Testtafeln nicht zugänglich und somit nicht empfindlich gegen direkte Verschmutzung. Sonstige Gebrauchsspuren können bei Sehtestgeräten wie dem Optovist II durch das regelmäßige, sanfte Reinigen des Durchblickfensters vermieden werden.
  • Im Zusammenhang mit dieser Studie werden nun die einzelnen Teile des Untersuchungsablaufs genauer betrachtet und mögliche Fehlerquellen diskutiert.

    Voruntersuchung

    Im Rahmen der Voruntersuchung hätten noch genauere Messungen (z.B. Amsler-Gitter) erfolgen können, um einen Gesichtsfeldausfall zu ermitteln, wodurch die Zahlen falsch erkannt werden können. Aufgrund der zu Verfügung stehenden Zeit und da bei den überwiegend jungen Testpersonen von einem intakten Gesichtsfeld und gesundem Allgemeinzustand ausgegangen werden konnte, wurde dieser Kompromiss eingegangen.

    Optovist II

    Während der Farbsehtestung am Optovist II ist wiederholt aufgefallen, dass Farbtüchtige Zahlen (Tafeln 14 und 15) erkannt haben, die nur Farbfehlsichtige erkennen sollten. Man könnte das auf die verkleinerte Darstellung im Display zurückführen. Eine Verkleinerung lässt eventuell eine einfachere Kombination der Punkte zu. Um diese Komplikation zu beheben, muss eine erneute Überprüfung mit angepassten Farbpunkten erfolgen.

    Dennoch bietet, wie bereits angedeutet, der Farbsehtest im Optovist eine bequeme und schnelle Farbsehtestung für die Testperson im Gegensatz zu den Ishihara-Tafeln. Es muss weniger auf äußere Einflüsse geachtet werden. Die Einhaltung der Untersuchungsvorgaben wird dadurch erleichtert. Außerdem kann die Abfolge der Tafeln durch die Steuerung über die Software leichter randomisiert werden. Durch eine regelmäßige Wartung wird die korrekte Farbdarstellung gewährleistet (Dombrowsky 2017).

    Ishihara-Farbsehtafeln

    Die Ishihara-Tafeln scheinen in der Untersuchung von Farbsinnstörungen oftmals überschätzt zu sein (Birch 1997). Auffallend ist, dass die angegebene Unterscheidung von Protan- und Deutanstörungen nicht möglich ist. In der Praxis kann der Ishihara-Test nur Farbtüchtige von Personen mit auffälligem Farbensehen (nur Rot-Grün-Störungen) unterscheiden. Tatsächlich weisen die Ishihara-Farbsehtafeln auch nicht die erwünschte Spezifität auf. Außerdem stellte sich die Zahlenform bei der jüngeren Generation als veraltet und dadurch schwieriger lesbar dar.

    Da eine neuwertige Ausgabe der Ishihara-Tafeln verwendet wurde, wurden Unterschiede, die durch den Ausbleichungsprozess entstehen können, nicht analysiert. In der Praxis sind häufig nur ältere Ausgaben des Ishiharatests vorhanden, so dass davon auszugehen ist, dass der Farbsehtest im Optovist II bei regelmäßiger Kalibrierung Vorteile gegenüber diesen Versionen hat (Hyon et al. 2005). Es ist deshalb eher eine schnellere Ausbleichung und Verschmutzung der Ishihara-Tafeln im Alltag zu erwarten als das Altern der LED. Die Erfahrung zeigt, dass in vielen Augenarztpraxen, in denen eine Farbsinnprüfung durchgeführt wird, kein Normlicht vorhanden ist. Es anzunehmen, dass die Qualitätsanforderungen (Krastel et al. 2009) schwerer einzuhalten sind als bei einem digitalisierten Farbsehtest.

    Anomaloskop

    Das Anomaloskop ist in seiner Bedienung schwierig und muss intensiv gelernt und angewendet werden, um verlässliche Ergebnisse zu liefern. Deshalb wurde der Untersucher zuvor von fachkundigem und erfahrenem Personal geschult.

    Manche Testpersonen haben Farbsäume während der Untersuchung wahrgenommen und als störend empfunden. Dies könnte sich auch auf ihre Entscheidung ausgewirkt haben.

    Die relative Einstellbreite wurde nicht gemessen, da es zeitintensiv und unbedeutend für das Ergebnis ist. Außerdem wird diese Art der Einstellbreite laut dem Hersteller bevorzugt für das Messen von erworbenen Farbfehlsichtigkeiten eingesetzt.

    Durchführung

    Man könnte die Verwendung der eigenen Brille bei den Ishihara-Tafeln und der Farbsehprüfung am Optovist II als kritisch bezüglich des Materials, der Beschichtung und weiteren farbbeeinflussenden Faktoren sehen. Allerdings sind zu eventuellen farbveränderten Wahrnehmungen durch das Tragen einer herkömmlichen Brille (ohne Tönung und Farbfilter) keine Studien bekannt. Da der Test unter realistischen Bedingungen durchgeführt werden sollte, wurde der Einfluss als vernachlässigbar angesehen.

    Anwendungsbereich des digitalen Farbsehtests

    Es bleibt zu erwähnen, dass der Farbsehtest im Optovist II zwar als gleichwertig mit den Ishihara-Tafeln gesehen werden kann. Wobei dies bedeutet, dass der Test nur als ein Screening-Verfahren angewendet werden darf. Wie Heinsius (1973) empfohlen hat, ist ein zweites Tafelwerk immer sinnvoll und verbessert zudem die Spezifität. Natürlich ist dies mit einem Mehraufwand verbunden und muss sich in der Praxis als hilfreich erweisen. Es ist allerdings fraglich, ob Untersuchende des Farbensinns die nötige Zeit dafür investieren möchten.

    Fazit für die Praxis

    Die digitalisierten Ishihara-Tafeln im Optovist II erfüllen ebenso gut wie die analogen Ishihara-Tafeln ihren Zweck als Screening-Verfahren. Es gibt Abweichungen bei beiden Methoden, so dass einzelne Tafeln besser beziehungsweise einfacher zu erkennen sind. Allerdings ist keine Tendenz festzustellen.

    Für den Praxisalltag ist die digitalisierte Form zeitgemäßer. Zudem erleichtert und verkürzt die Anwendung die Prüfung des Farbensinns.

    Die standardisierten Untersuchungsbedingungen (Beleuchtung, Alterungsprozess, Beobachtungsdistanz, -winkel, -zeit etc.) bei der Farbsehtestung in seinem Sehtestgerät sind ein deutlicher Vorteil gegenüber den analogen Pigmenttafeln.

    Interessenskonflikt: Die als Basis dienende Facharbeit des Artikels wurde in Kooperation mit der Vistec AG, Olching (München) verfasst.

    Anhang 1

    Die folgende Tabelle zeigt eine Übersicht der Studien zu digitalisierten Farbsehtestung.

    Anhang 2

    Das Farbsehen wird von Augen- und Betriebsärztinnen und -ärzten getestet. Dabei kommen pseudoisochromatische Tafeln, Farblegetests, Signallaternen und das Anomaloskop zum Einsatz. Bei pseudoisochromatischen Tafeln kommt es auf die Anzahl der Fehler, bei Farblegetests auf die Reihenfolge und bei Anpassungstests wie dem Anomaloskop auf die Lichtmischung an. Folgend werden die Testverfahren kurz beschrieben sowie der Farbsehtest im Optovist II der Vistec AG. Allerdings wird nicht näher auf die Untersuchungsbedingungen eingegangen. Dazu sei auf den Titel von Krastel et al. (2009) verwiesen.

    Pseudoisochromatische Tafeln

    Die Farbpunkte auf den pseudoisochromatischen Tafeln sind unterschiedlich groß (2–5 mm Durchmesser), verschiedenfarbig und meist kreisförmig, um zu gewährleisten, dass keine Kontrastphänomene das Erkennen des Sehzeichens erleichtern. Aus drucktechnischen Gründen variieren auch Helligkeit und Sättigung der Farbflecke. Normale Trichromaten erkennen ein Sehzeichen, während farbfehlsichtige Personen entweder keine Form differenzieren können oder falsche Zeichen erkennen. Das Prinzip hinter den pseudoisochromatischen Tafeln ist die Farbverwechslung. Die Farbpunkte der Sehzeichen und des Hintergrunds sind so gewählt, dass sie auf einer Farbverwechslungsgeraden im CIE-Farbdreieck liegen. Man unterscheidet außerdem zwischen vier verschiedenen Tafeltypen:

  • Transformationstafeln: Bei diesen Tafeln kann eine farbtüchtige Person ein Zeichen erkennen und eine Person mit einer Farbsinnstörung erkennt ein anderes Zeichen.
  • Tafeln mit verschwindenden Zeichen: Farbtüchtige Personen nehmen bei diesen Tafeln ein Zeichen wahr und farbfehlsichtige Personen können keines erkennen.
  • Tafeln mit versteckten Zeichen: Bei Tafeln mit einem versteckten Zeichen können Personen ohne Farbsehstörung kein Zeichen erkennen, aber farbfehlsichtige Personen nehmen ein Zeichen wahr.
  • Diagnostische Tafeln: Es befinden sich mehrere Zeichen auf diesen Tafeln, wobei ein Zeichen besser wahrgenommen werden kann als das andere.
  • Allerdings sind die Tafeln in erster Linie für die Prüfung einer angeborenen Rot- oder Grünstörung gedacht. Nur wenige Tafeln wurden für die Testung einer Blaustörung entwickelt (einzelne Tafeln in Velhagen-Broschmann, Velhagen-Pflügerhaken-„E”-Tafeln, Ichikawa-SPP-II-Tafeln und AO-HRR-Tafeln).

    Farblegetests

    Bei den Farblegetests wird die Testperson aufgefordert, „Hütchen“ oder „Chips“ verschiedener Farben zueinander passend anzuordnen, beginnend mit einem festgelegten Referenzchip. Anschließend wird durch eine Ziffer auf der Unterseite des jeweiligen Chips der Test ausgewertet. Hierbei ergibt dies eine fortlaufende Zahlenreihe bei Farbtüchtigen. Farbfehlsichtige verwechseln bestimmte Farben, wodurch die Reihenfolge durcheinandergebracht wird. Um die Art der Farbsinnstörung zu ermitteln, wird die Zahlenfolge in ein vorgegebenes Diagramm eingetragen. Farblegetests gibt es in kleinen und größeren Chipumfängen. Tests mit geringer Anzahl an Chips (z.B. Farnsworth-D-15-Test) werden als weniger zuverlässig gesehen, da es möglich ist, diese trotz Farbfehlsichtigkeit korrekt anzuordnen. Allerdings scheinen sich kleinere Chipumfänge besser zur Beurteilung von Art und Ausmaß einer Farbsinnstörung zu eignen.

    Anomaloskop

    Das Anomaloskop ist ein Farbabgleichtest. Beim Anomaloskop wird die Rayleigh-Gleichung oder die Moreland-Gleichung verwendet.

    Rayleigh-Gleichung

    Die Rayleigh-Gleichung dient zur Untersuchung des Rot-Grün-Sinns: Grün (545 nm) + Rot (666 nm) = Gelb (589 nm). Durch ein Okular blickt die Testperson auf ein kreisförmiges Prüfbild, das aus zwei Halbkreisen zusammengesetzt ist. Der obere Halbkreis ist eine Mischung aus monochromatischem Licht der Wellenlänge 666 nm und 549 nm. Im unteren Halbkreis wird mit monochromatischem Licht der Wellenlänge 589 nm beleuchtet. Die Testperson kann mithilfe zweier Drehknöpfe im oberen Halbkreis das Mischverhältnis und im unteren die Helligkeit variieren. Schlussendlich soll unter Berücksichtigung der Farbe und der Helligkeit die Gleichheit beider Felder erzielt werden.

    Um die Messung zu erleichtern, wird meist das Pitt-Diagramm verwendet. Dabei gibt eine vordefinierte Skala von 0 bis 73 das Mischungsverhältnis von Rot (666 nm) und Grün (545 nm) sowie eine Skala von 0 bis 35 dunkel und hell des Gelbs (589 nm) an. Der Wert für das Mischungsverhältnis wird als Abszisse und die Intensität des Gelbtons als Ordinate im Diagramm dargestellt. Daraus ergibt sich dann die Spezifikation der Farbsinnstörung, die jeweils durch Bereiche im Pitt-Diagramm angedeutet ist. Die Einstellung bei Normalfarbsichtigen beträgt 34 bis 46 Skalenwerte. Als Mittelnormgleichung ist der Mittelwert 40/15 festgelegt. In diesem Fall beträgt der Anomalie-Quotient (AQ) 1,0. Personen mit einem AQ von 0 bis <0,7 sind demnach protanomal, 0,7 bis 1,4 normal und >1,4 bis unendlich deuteranomal.

    Moreland-Gleichung

    Die Moreland-Gleichung eignet sich zur Untersuchung des Blausinns: Blau (436 nm) + Grün (490 nm) = Zyan (480 nm) + Gelb (589 nm). Wie bei der Rayleigh-Gleichung soll die Testperson unter Berücksichtigung der Farbe und der Helligkeit die Gleichheit beider Felder erzielen. Allerdings wird zuvor ein 4°-Okular zusätzlich aufgesteckt und zentriert, um die Beurteilung für die Testperson zu erleichtern. Die Angaben bezüglich des Normbereichs variieren je nach Hersteller. Skalenwerte von 50 zu 50 werden bei dem HMC-Anomaloskop von Oculus dem Normalbereich zugeordnet.

    Farbsehtest im Optovist II

    Der Optovist II der Vistec AG wird als vielseitiges Prüfgerät in der Arbeitsmedizin angewandt und ist für den stationären sowie mobilen Einsatz gedacht. Unter den neun verschiedenen Prüfoptionen findet sich der hier relevante Farbsehtest. Dieser wurde auf Grundlage der Ishihara-Tafeln entwickelt und kann je nach Testanwendung auf dem Display präsentiert werden. Bei dem Display handelt es sich im Optovist II um ein Mikrodisplay LCoS, wobei das Panel mit einer RGBW-LED-Backlight durch einen Beamsplitter beleuchtet wird. Die Anzeige wird über eine installierte App auf dem verbundenen PC gesteuert. Die App-Oberfläche bietet die Möglichkeit, den Farbsehtest in eine Reihe von Untersuchungen zu integrieren.

    Weitere Farbsehtests

    Signallaternen: Zwar finden Signallaternen zur Farbsehtestung nur noch äußerst selten Anwendung. Dennoch verlangt die Tauglichkeitsrichtlinie der European Aviation Safety Agency (EASA) Signallaternen zur endgültigen Einstufung als „farbsicher“. Folgende Signallaternen kommen zum Einsatz: Spektrolux, Beyne und Holmes Wright. Es wurde versucht, eine realitätsnahe Testung zu entwickeln. Nacheinander werden Farben wie Rot, Grün, Blau, Weiß und Gelb in einem abgedunkelten Raum gezeigt. Wenn diese sicher unterschieden werden können, gilt der Test als bestanden. Allerdings gibt es große Zweifel an der Zuverlässigkeit dieser Tests.

    Wollprobentests: Farbige Wollfäden waren nach den Untersuchungen von Goethe vor 1800 und von Seebeck 1837 eine der ersten Testmethoden. Holmgren verbesserte diese Methode 1874. Doch auch die Holmgren-Wollproben sind nicht sehr zuverlässig, da sie oft nicht richtig ausgeführt werden. Die Wollprobentests beruhen ebenfalls auf dem Prinzip der Verwechslungsfarben.

    Kinder-Farbsehtests: Ab dem Vorschulalter können Farbsehtests bei Kindern durchgeführt werden. Häufig werden pseudoisochromatische Tafeln mit Tier- oder Pflanzenbildern verwendet. Einer der bekanntesten Tests ist dabei der Waggoner Farbtest "Color Vision Testing Made Easy". Mit fünf Jahren kann der Farnsworth D-15 Test angewandt werden.

    Literatur

    Bartel S: Farben im Webdesign. Symbolik, Farbpsychologie, Gestaltung. 1. Aufl. X.media.press. Berlin: Springer, 2014.

    Birch J: Efficiency of the Ishihara test for identifying red-green colour deficiency. Ophthalmic Physiol Opt 1997; 17: 403–408.

    Bühler P, Schlaich P, Sinner D: Digitale Farbe. Berlin, Heidelberg: Springer, 2018.

    Dombrowsky I: Digitale Reproduktion von Ishiharatafeln. Eine Untersuchung über die kolorimetrische Nachbildung von Farben der Pigmenttafeln aneinem LCoS-Mikrodisplay. Aalen, 2017.

    Erb C, Fahle M: Farbensehen und erworbene Farbsinnstörungen. Teil I: Grundlagen. Ophthalmologe 2006; 103: 349–60; quiz 361.

    Goethe JW von, Speiser A, Boerner P: Zur Farbenlehre. Didaktischer Teil, 3. Aufl. dtv-Taschenbücher Gesamtausgaben, in 45 Bänden / Johann Wolfgang Goethe. Nach den Texten der Gedenkausgabe der Werke, Briefe und Gespräche Goethes des Artemis-Verl. Hrsg. von Peter Boerner; Bd. 40. München: Deutscher Taschenbuch-Verlag, 1974.

    Heinsius E: Farbsinnstörungen und ihre Prüfung in der Praxis. 23 Tabellen. Stuttgart: Enke, 1973.

    Hyon JY, Lee JH, Wee WR: Shift of colorimetric values in ishihara pseudoisochromatic plates with plate aging. Korean J Ophthalmol 2005; 19: 145–148.

    Krastel H, Kolling G, Schiefer U, Bach M: Qualitätsanforderungen an die Untersuchung des Farbsinns. Ophthalmologe 2009; 106: 1083–1102.

    Lachenbruch PA, Lynch CJ: Assessing screening tests: extensions of McNemar’s test. Statist Med 1998; 17:2207–2217.

    Lachenmayr B: Verkehrsophthalmologie. Fahreignungsbegutachtung im Straßenverkehr. Ophthalmologe 2006; 103: 425–443; quiz 444–445.

    Linder A, Berchtold W: Elementare statistische Methoden. Basel: Birkhäuser, 1979.

    Miyahara E: Errors reading the Ishihara pseudoisochromatic plates made by observers with normal colour vision. Clin Exp Optometry 2008; 91: 161–165.

    Newcombe RG: Simultaneous comparison of sensitivity and specificity of two tests in the paired design: a straightforward graphical approach. Statist Med 2001; 20: 907–915.

    Pardo PJ, Pérez AL, Suero MI: A new colour vision test in a PC-based screening system. Displays 2000; 21: 203–206.

    Thompson HSB: One hundred important ophtalmology bokóks of the 20th century. 2001. http://webeye.ophth.uiowa.edu/dept/20thcenturybooks/100books.pdf (Zuge­griffen: 08. Juni 2019).

    Kontakt

    Damaris Grau
    Master of Science in Augenoptik und Psychophysik
    Klauberweg 8
    4030 Linz
    damaris.grau@gmail.com