Influence of a passive trunk exoskeleton on subjective physical strain and perceived discomfort during simulated tasks with static trunk flexion posture and dynamic lifting
Objective: The influence of a passive back-supporting exoskeleton on perceived physical strain and discomfort was investigated in two occupational tasks.
Methods: Thirty-six men (average age 26 years) performed simulated occupational tasks with and without the Laevo® exoskeleton in a balanced and randomised within-subject design. One of the activities was a dynamic lifting task (2 x 5 lifting processes, 11.6 kg load), which was performed with and without exoskeleton in a stoop (stretched knees) and squat position (flexed knees), The second activity was a 90-second sorting task with a static and 40° flexed upper body posture. Subjective physical strain was recorded by the “physical demand” dimension of the NASA-TLX questionnaire, discomfort by an 11-level numeric rating scale. The localisation of discomfort was also reported. The differences between the conditions with and without exoskeleton were analysed for both tasks and lifting postures (stretched vs. flexed knees).
Results: With exoskeleton, there was always a small reduction in perceived physical strain levels (p < 0.05). Discomfort was rare, low and mainly in the lower back. For the sorting task with exoskeleton, the median level of discomfort intensity was one point lower (p < 0.05) than without exoskeleton. The frequency of discomfort was also lower with exoskeleton. There were no differences in the intensity of discomfort during dynamic lifting. When the exoskeleton was applied during lifting with stretched knee joints, the frequency of discomfort was slightly reduced; no differences occurred with flexed knee joints.
Conclusion: The main potential of the studied exoskeleton appears to lie in activities with a static bent upper body posture. Longitudinal studies with a randomised controlled design are necessary to evaluate whether the possible potential described here is relevant to the prevention of work-related back complaints.
Keywords: workplace design – back pain – assistive device
ASU Arbeitsmed Sozialmed Umweltmed 2019; 55: 494-502
Einfluss eines passiven Exoskeletts zur Rückenunterstützung auf die subjektive körperliche Beanspruchung und subjektive Beschwerdewahrnehmung bei simulierten Tätigkeiten mit statischer Oberkörpervorneigung und dynamischen Hebebewegungen
Zielstellung: Der Einfluss eines passiven rückenunterstützenden Exoskeletts auf die empfundene körperliche Beanspruchung und Beschwerdewahrnehmung wurde bei zwei Tätigkeiten untersucht.
Methode: Sechsunddreißig Männer (mittleres Alter 26 Jahre) führten simulierte Tätigkeiten mit und ohne das Laevo®-Exoskelett in einem balancierten und randomisierten Within-Subject-Design durch. Eine Tätigkeit war eine dynamische Hebetätigkeit (2-mal 5 Hebevorgänge, Last 11,6 kg), die neben der Ausführung mit und ohne Exoskelett zusätzlich mit gestreckten und gebeugten Kniegelenken erfolgte. Die zweite Tätigkeit war eine 90-sekündige Sortiertätigkeit mit 40° vorgeneigter, statischer Oberkörperhaltung. Die subjektive körperliche Beanspruchung wurde mit der Dimension „körperliche Anforderung“ des NASA-TLX-Fragebogens erfasst, die Beschwerdewahrnehmung mit einer elfstufigen numerischen Ratingskala. Zusätzlich wurde die Beschwerdelokalisation erfragt. Unterschiede zwischen den Bedingungen mit und ohne Exoskelett wurden für die beiden Tätigkeiten bzw. die Hebetechniken (gestreckte vs. gebeugte Kniegelenke) analysiert.
Ergebnisse: Mit Exoskelett kam es stets zu einer geringen Reduktion der empfundenen körperlichen Beanspruchung (p < 0,05). Beschwerden traten selten auf, waren gering und meistens im unteren Rücken. Bei der Sortiertätigkeit in statischer Oberkörpervorneigung mit Exoskelett war die Beschwerdeintensität im Median um einen Punkt niedriger als ohne Exoskelett (p < 0,05). Auch die Beschwerdehäufigkeit war dabei durch Verwendung des Exoskeletts geringer. Beim dynamischen Heben ergaben sich keine Unterschiede in der Beschwerdeintensität. Beim Heben mit gestreckten Kniegelenken war die Beschwerdehäufigkeit mit Exoskelett leicht reduziert, mit gebeugten Kniegelenken nicht.
Schlussfolgerung: Potenziale des untersuchten Exoskeletts scheinen insbesondere bei Tätigkeiten mit statisch vorgebeugtem Oberkörper zu liegen. Längsschnittstudien mit kontrolliert-randomisiertem Design sind notwendig, um die Relevanz der hier beschriebenen möglichen Potenziale für die Prävention arbeitsassoziierter Rückenbeschwerden zu evaluieren.
Schlüsselwörter: Arbeitsgestaltung – Rückenbeschwerden – Assistenzsystem
Einleitung
Muskel-Skelett-Erkrankungen des Rückens sind ein verbreitetes gesellschaftliches Problem. So wird die Lebenszeitprävalenz von Rückenschmerzen auf etwa 75 % geschätzt und etwa 40% der allgemeinen erwachsenen Bevölkerung muss im Laufe eines Monats mit Rückenschmerzen rechnen (Burton u. Kendall 2014). Einem 2018 veröffentlichten Gesundheitsbericht einer deutschen Krankenkasse zufolge konnten für das Jahr 2017 etwa 9 % aller Krankheitstage auf allgemeine Rückenprobleme, so genannte Dorsopathien, zurückgeführt werden, wobei es keine Unterschiede zwischen Männern und Frauen gab (Grobe et al. 2018). Für die meisten Betroffenen sind normale Alltagsaktivitäten (einschließlich Arbeit) schwierig oder unmöglich (Burton u. Kendall 2014). Neben bekannten Risikofaktoren wie zum Beispiel Rauchen oder Übergewicht (Ferreira et al. 2013) erhöhen arbeitsplatzbezogene Faktoren wie das Hantieren schwerer Lasten oder Zwangshaltungen das Risiko für Rückenschmerzen (Raspe 2012). Leider lassen sich diese Risikofaktoren nicht immer durch Arbeitsgestaltungsmaßnahmen vermeiden.
Seit einiger Zeit werden Exoskelette zur Unterstützung von beruflichen Tätigkeiten in der betrieblichen Praxis verschiedener Branchen erprobt. Praktikerinnen und Praktiker sehen in diesen Assistenzsystemen das Potenzial, dem Risiko für arbeitsassoziierte Muskel-Skelett-Beschwerden entgegenzuwirken (Fischer 2018). In der kürzlich veröffentlichten Leitlinie zum Einsatz von Exoskeletten im betrieblichen Setting werden Exoskelette als am Körper getragene Assistenzsysteme, die mechanisch auf den Körper einwirken und im beruflichen Kontext darauf abzielen, Funktionen des Skelett- und Bewegungssystems bei körperlicher Arbeit zu unterstützen, definiert (Steinhilber et al 2020). Hersteller von Exoskeletten werben unter anderem damit, dass körperliche Belastungen reduziert und Muskel-Skelett-Beschwerden bei den Beschäftigten verringert werden. Bislang gibt es jedoch nur wenige Studien, die die Wirkung von Exoskeletten auf den arbeitenden Menschen untersucht haben. Eine Literaturübersicht von de Looze et al. (2016) zeigt, dass eine Belastungsreduktion in der Körperregion, in der das Exoskelett wirksam werden soll, wahrscheinlich ist. Aufgrund der häufig kleinen Stichproben bisheriger Studien (Steinhilber et al. 2018) kann diese Belastungsreduktion derzeit weder verlässlich quantifiziert noch verallgemeinert werden. Viele der vorhandenen Studien sollten daher lediglich als „Proof-of-Concept-Studien“ betrachtet werden.
Die Unterstützung (erzeugtes Drehmoment) von rückenunterstützenden Exoskeletten variiert je nach Öffnungswinkel zwischen den unteren Extremitäten und dem Oberkörper. Dieser Zusammenhang zwischen dem Winkel und dem durch das Exoskelett erzeugten Drehmoment wird als Unterstützungskennlinie bezeichnet und variiert zwischen verschiedenen Exoskeletten teilweise erheblich. Je nach Charakteristik kann die biomechanische Wirkung eines Exoskeletts höher oder geringer ausfallen (Koopman et al. 2019). In einer Studie von Glitsch et al. (2019) wurde gezeigt, dass der Unterstützungseffekt, quantifiziert mittels biomechanischer Methoden, stark von der Vorneigung des Oberkörpers respektive vom eingenommenen Hüftbeugewinkel abhängt. Daher ist anzunehmen, dass rückenunterstützende Exoskelette nicht bei allen Tätigkeiten, für die diese Assistenzsysteme potenziell geeignet wären, gleichermaßen wirksam werden können. Für ein Exoskelett zur Unterstützung der oberen Extremitäten wurde eine solche tätigkeitsabhängige Wirkung bereits gezeigt (Theurel et al. 2018). Viele rückenunterstützende Exoskelette zeichnen sich dadurch aus, dass auf Höhe der Hüftgelenke ein momenterzeugendes Element verarbeitet ist. Einige rückenunterstützende Exoskelette haben vor dem Brustbein eine Auflagefläche, die über Verbindungsstangen mit Auflageflächen auf den Oberschenkeln verbunden ist. Bei Rückenbelastungen durch Vorneigung/-beugung wird dann ein Moment erzeugt, das den Belastungen im Rücken entgegenwirken soll. Bisherige Studien haben dabei eine mögliche Wirkung meist ausschließlich in der Hauptfunktionsebene des Exoskeletts untersucht, das heißt, die Rumpfvorneigung fand überwiegend ohne Abweichung von der Symmetrieachse des Körpers (Sagittalebene) statt. Ein gezieltes Abweichen davon wurde bisher kaum berücksichtigt.
Fragestellung
In der vorliegenden Studie wurde daher ein rückenunterstützendes Exoskelett bei zwei Tätigkeiten – einer dynamischen Hebetätigkeit mit zwei verschiedenen Hebetechniken sowie einer Sortiertätigkeit mit ca. 40° vorgeneigter statischer Oberkörperhaltung – untersucht. Zusätzlich wurden die Tätigkeiten mit frontal ausgerichtetem sowie nach links und rechts ausweichendem Oberkörper durchgeführt. Ziel dieser Studie war es zu untersuchen, ob sich die Verwendung des Exoskeletts auf die subjektive körperliche Beanspruchung sowie die subjektive Beschwerdewahrnehmung (Häufigkeit, Intensität und Lokalisation) auswirkt und ob dabei eine mögliche Wirkung von der Tätigkeit abhängt beziehungsweise von der Hebetechnik bei der dynamischen Hebetätigkeit.
Methode
Probanden
Sechsunddreißig gesunde, männliche Probanden mit einem mittleren Alter von 25,9 ± 4,6 Jahren nahmen an der Studie teil. Die mittlere Körpergröße betrug 178,7 ± 7,3 cm und das mittlere Körpergewicht 73,5 ± 8,9 kg. Im Durchschnitt waren diese Probanden 5,7 ± 4,6 Stunden pro Woche sportlich aktiv. Fünf der Probanden gaben an, während der letzten zwölf Monate Beschwerden im oberen Rücken gehabt zu haben, für den Bereich des unteren Rückens waren es elf Probanden. Innerhalb der letzten sieben Tage hatte keiner der Probanden Beschwerden im oberen Rücken und im unteren Rücken waren es zwei. Die Beschwerdeprävalenzen und die Angaben zur sportlichen Aktivität, dem Alter sowie zu Körpergröße und -gewicht, wurden mit dem Nordischen Fragebogen (Kuorinka et al. 1987) erfasst. Weitere Eigenschaften waren, dass 32 der Probanden Rechtshänder waren und nur ein Proband angab, Raucher zu sein. Ausschlusskriterien waren anamnestisch erfasste Muskel-Skelett-Erkrankungen, neurologische Erkrankungen sowie akute Krankheit und akute Muskel-Skelett-Beschwerden.
Es fand eine Gewöhnung an die Verwendung des Exoskeletts und an die experimentellen Tätigkeiten während eines separaten Termins 1–5 Tage vor der eigentlichen Datenerhebung statt. Die Studie wurde von der Ethikkommission der Medizinischen Fakultät der Universität Tübingen genehmigt (617/2018BO2) und alle Probanden gaben vor Studieneinschluss ihre freiwillige und schriftliche Einwilligung zur Studienteilnahme.
Rückenunterstützendes Exoskelett
Bei dieser Studie wurde das Laevo®-Exoskelett (V2.56) der Firma Laevo (Laevo B.V., Delft, Niederlande) eingesetzt (➥ Abb. 1). Dabei handelt es sich um ein passives Exoskelett zur Unterstützung des Rückens, das Teile des Extensionsmoments in der Hüfte und der lumbalen Wirbelsäule, beim Arbeiten in vorgebeugter Oberkörperhaltung oder bei Hebevorgängen (mit und ohne Lasten) übernimmt. Das heißt, das Exoskelett erzeugt ein Moment, das die den Oberkörper aufrichtende Muskulatur unterstützt. Das Exoskelett besteht aus einem Hüftgurt, an dem zwei Gasdruckfedern mit eindimensionalen Gelenken auf Höhe der Hüftgelenke angebracht sind. Zusätzlich hat das Exoskelett zwei Beinschalen, eine Brustauflage mit Polster und Schultergurte. Die Gasdruckfedern sind über Metallstäbe mit den Beinschalen und der Brustauflage verbunden. Eine Annäherung von Beinschalen und Brustauflage, wie es bei einer Vorbeugung des Oberkörpers der Fall ist, drückt die Gasdruckfedern zusammen und erzeugt ein Moment in entgegengesetzter Richtung (Extensionsmoment). Dieses Moment ist abhängig vom Beugewinkel und hat bei einem Winkel von etwa 40° sein Maximum (ca. 30 Nm).
Studiendesign
Die hier präsentierten Daten stellen die Teilauswertung eines größeren, explorativ angelegten Forschungsprojekts dar, in dem eine arbeitsphysiologisch-biomechanische Analyse des Laevo®-Exoskeletts bei simulierten beruflichen Tätigkeiten durchgeführt wurde. Dazu wurden subjektive und objektive (z. B. Oberflächen-Elektromyographie) Methoden eingesetzt. Das Projekt wurde bei ClinicalTrials.gov mit der Nummer NCT03725982 registriert und beinhaltete vier Experimente in einer standardisierten Laborumgebung. Die dabei eingesetzten Tätigkeitssimulationen wurden mit mehreren Unternehmen, die bereits Exoskelette in der Praxis erprobt haben, abgestimmt, um möglichst reale Arbeitsplatzsituationen abzubilden. Alle Experimente erfolgten mit einem randomisierten und balancierten Within-Subject-Design, das heißt, jeder Proband führt jede experimentelle Bedingung mit und ohne Verwendung des Exoskeletts aus. In der Folge werden zwei der vier Experimente detailliert beschrieben, da sie die Grundlage der hier präsentierten Daten bilden.
Simulierte Tätigkeiten
Bei den beiden simulierten Tätigkeiten handelte es sich um eine dynamische Hebetätigkeit und eine Sortiertätigkeit mit 40° vorgeneigtem Oberkörper. Beide Tätigkeiten fanden an einer höhenverstellbaren Tischkonstruktion statt, die es erlaubte, für jeden Probanden, abhängig von dessen Körpergröße, einen relativ gleichen Arbeitsplatz einzurichten. Dafür sollten die Probanden bei den dynamischen Hebevorgängen, ausgehend vom aufrechten Stand, ihren Oberkörper bis zu einem Winkel von 70° (zwischen Rumpf und der Senkrechten) nach vorne beugen. Dieser Winkel wurde mit einem gravimetrischen Lagesensor (THUMEDI GmbH & Co KG, Thum-Jahnsbach) kontrolliert, der auf Höhe des 10. Brustwirbels des Probanden angebracht war. Die Kniegelenke blieben dabei annähernd gestreckt. Die Arme wurden nach vorne unten ausgestreckt, so dass der Winkel zwischen dem Oberarm und der Senkrechten ca. 15° ergab (kontrolliert mit einem Goniometer). Aus dieser Position sollten die Griffe der Kiste bequem umfasst werden können. Um diese Position individuell zu realisieren, wurde die Fußposition eines Probanden nach vorne oder hinten korrigiert und der Tisch auf die entsprechende Höhe angepasst. Bei der Sortiertätigkeit wurde ebenfalls ausgehend vom aufrechten Stand der Oberkörper bis zu einem Winkel von 40° (zwischen Rumpf und der Senkrechten) nach vorne gebeugt. Auch hier wurde wiederum der Lagesensor am 10. Brustwirbel genutzt, um den Winkel zu kontrollieren. Die Kniegelenke blieben dabei in annähernd gestreckter Position. Bei gerade nach unten gehaltenen Oberarmen wurden die Unterarme mit einem Ellenbogenwinkel von 135° nach vorne positioniert (kontrolliert mit einem Goniometer). Aus dieser Position sollten die Probanden mit ausgestreckten Händen und Fingern den Boden der Sortierkiste am äußeren Rand und mittig erreichen können. Um auch bei dieser Tätigkeit die Position individuell zu realisieren, wurde erneut die Fußposition eines Probanden nach vorne oder hinten korrigiert und der Tisch auf die passende Höhe gebracht. Die beschriebenen Standardisierungsmaßnahmen bezüglich der Oberkörpervorneigung und Armstellung sowie dem Abstand des Probanden zur Kiste und dem Setzkasten erfolgten nur bei der Einstellung des Arbeitsplatzes. Sie dienten dazu, die Belastungen im Rücken zwischen den verschiedenen experimentellen Bedingungen innerhalb eines Probanden möglichst konstant zu halten. Bei der Durchführung der simulierten Tätigkeiten erfolgte keine Kontrolle der Winkel im Oberkörper und den Armen, mit Ausnahme des Oberkörperneigungswinkels bei der Sortieraufgabe. Das individuelle Bewegungsverhalten bei der Aufgabendurchführung 
sollte somit möglichst wenig beeinflusst werden.
Versuchsdurchführung dynamische Hebetätigkeit
Jede Versuchsbedingung der dynamischen Hebetätigkeit bestand aus zweimal fünf Hebevorgängen mit einer kurzen Unterbrechung von 35 Sekunden. Ein Hebevorgang beinhaltete, aus dem aufrechten Stand kommend eine 11,6 kg schwere Kiste (10 kg Last plus 1,6 kg Eigengewicht der Kiste) mit vorgebeugten Oberkörper aufzunehmen, mit der Kiste in die Senkrechte zurückzukehren, die Kiste in einer Oberkörpervorbeugung wieder abzustellen und wieder ohne Kiste in die Senkrechte zurückzukehren. Lasten von bis zu 10 kg gelten in der manuellen Lastenhandhabung als zulässige Last und entsprechen somit der Situation an echten Arbeitsplatzen, an denen ein Exoskelett eingesetzt werden könnte (BG ETEM Heben und Tragen). Die Tätigkeit wurde mit einem akustischen Signal getaktet, so dass die Probanden für einen Hebevorgang 5 Sekunden benötigten. Die Hebevorgänge wurden mit frontal sowie im Winkel von 45° nach links und 45° nach rechts ausgerichtetem Oberkörper ausgeführt, mit und ohne Verwendung des Exoskeletts. Zusätzlich fanden alle Hebevorgänge mit zwei Hebetechniken (gebeugte und nahezu gestreckte Kniegelenke) statt (s. Abb. 1). Die Ausführungsvariante mit gestreckten Kniegelenken wurde gewählt, um beruflichen Situationen Rechnung zu tragen, in denen ein Beugen der Kniegelenke aufgrund räumlicher Begrenzungen nicht möglich ist und ein eher rückenbelastendes Heben erforderlich wird.
Versuchsdurchführung Sortiertätigkeit mit statischer Oberkörpervorneigung
Nachdem die Tischkonstruktion für den jeweiligen Probanden eingerichtet wurde, brachten die Probanden ihren Oberkörper in ca. 40° Vorbeugung. Diese Körperposition wurde statisch gehalten, und die Probanden sortierten 90 Sekunden lang verschiedene Dübel, Nägel und Muttern in einem Setzkasten. Es wurde beidhändig sortiert und die Teile durften nur einzeln bewegt werden. Die Sortiergeschwindigkeit erfolgte in einem von den Probanden selbst gewählten angenehmen Tempo. Auch diese Tätigkeit wurde mit frontal, 45° nach links und 45° nach rechts ausgerichtetem Oberkörper ausgeführt sowie mit und ohne Verwendung des Exoskeletts (s. Abb. 1). Bei dieser Tätigkeit sollten die Kniegelenke der Probanden annährend gestreckt bleiben. Diese Haltung wurde in Abstimmung mit mehreren Firmen, die Anwendungspotenziale für solche Exoskelette sehen, gewählt. Eine statische Körperhaltung mit Oberkörpervorneigung und gestreckten Kniegelenken aufgrund mangelnder räumlicher Freiheit im Bereich der unteren Extremitäten war für diese Firmen ein in der Praxis vorkommender und passender Anwendungsfall für das Laevo®-Exoskelett.
Zwischen den verschiedenen experimentellen Bedingungen erfolgte jeweils eine Pause von mindestens zwei Minuten.
Subjektive körperliche Beanspruchung
Zur Bestimmung der subjektiven körperlichen Beanspruchung wurde die Dimension „körperliche Anforderungen“ des National Aeronautics and Space Administration Task Load Index (NASA-TLX) eingesetzt. Diese Dimension ist eine von insgesamt sechs Dimensionen, die in der Summe die erlebte subjektive Beanspruchung einer Person bei einer Tätigkeit oder Aufgabe erfassen (Hart u. Lowell 1988). Die Befragung zur körperlichen Beanspruchung fand während der Sortiertätigkeit insgesamt zweimal statt: einmal nach den experimentellen Bedingungen mit Nutzung des Exoskeletts und einmal nach den experimentellen Bedingungen ohne Exoskelett. Während dem dynamischen Heben wurde die körperliche Beanspruchung viermal erfragt: nach Verwendung beziehungsweise Nichtverwendung des Exoskeletts bei Ausführung mit gestreckten Kniegelenken und nach Verwendung beziehungsweise Nichtverwendung des Exoskeletts bei Ausführung mit gebeugten Kniegelenken.
Subjektive Beschwerdewahrnehmung – Intensität, Häufigkeit und Lokalisation
Zur Bestimmung der subjektiven Beschwerdewahrnehmung wurde eine elfstufige numerische Ratingskala (0–10) verwendet. Die Angabe einer Null entspricht dabei keinerlei Beschwerden, die einer Zehn den maximal vorstellbaren Beschwerden. Die Skala war zusätzlich mit orientierenden Bezeichnungen „leicht“ (Skalenwerte 1–3), „bescheiden/moderat“ (Skalenwerte 4–6) und „stark“ (Skalenwerte 7–10) 
hinterlegt. Die Skala wurde vorab erklärt und der empfundene Punktwert vor und nach jeder experimentellen Bedingung von den Probanden erfragt. Für die Erhebung von Schmerzen zeigt die englische Version dieser Skala (allerdings ohne die zusätzlichen orientierenden Bezeichnungen leicht, bescheiden/moderat, stark) eine exzellente Reliabilität (Intra-Klassen-Koeffizient von 0,95) und eine gute bis exzellente Validität im Vergleich mit einer visuellen Analogskala beziehungsweise verbalen Ratingskala (Pearson Korrelationskoeffizient von 0,94 bzw. 0,93; Alghadir et al. 2018). Zusätzlich konnten die Probanden angeben, in welcher Körperregion die Beschwerden wahrgenommen wurden. Dafür wurde eine Body Map nach Corlett und Bishop (1976) verwendet. Von den wahrgenommenen Beschwerden wurden zunächst die Delta-Werte, also die Differenzen zwischen vor und nach einer experimentellen Bedingung berechnet, um die während einer experimentellen Bedingung entstehenden Beschwerden zu erfassen. Diese Delta-Werte wurden zur Analyse der Beschwerdeintensität und der relativen Beschwerdehäufigkeit verwendet. Die relativen Häufigkeiten wurden definiert als Delta-Werte >0 im Verhältnis zu Delta-Werten von ≤0. Für die Erfassung der Beschwerdelokalisation wurde lediglich die Angabe zur Beschwerdelokalisation nach einer experimentellen Bedingung verwendet.
Randomisierung, Fallzahl und statistische Analyse
Die untersuchte Fallzahl von n = 36 basiert auf der Konstruktion eines Single-Williams-Design mit drei unabhängigen Variablen in je zwei Ausprägungen. Mit diesem balancierten Versuchsplan können Reihenfolgeneffekte erster Ordnung verhindert werden (Bate u. Jones 2006). Die unabhängigen Einflussfaktoren waren die Exoskelettbedingung (mit vs. ohne), die Kniegelenkstellung (gebeugt vs. gestreckt) sowie die Tätigkeit (Sortiertätigkeit mit statischer Oberkörpervorneigung vs. dynamische Hebetätigkeit). Daraus ergaben sich sechs verschiedene Reihenfolgen der experimentellen Bedingungen. Für diese explorative Studie wurde daher n = 36 als Vielfaches von sechs gewählt, so dass jede Reihenfolge von je sechs Probanden besetzt wurde. Die drei verschiedenen Oberkörperausrichtungen (frontal, 45° nach links und 45° nach rechts ausgerichtet) wurden in einem separaten Double-Williams-Design randomisiert. Da nicht ausgeschlossen werden kann, dass eine potenzielle Wirkung des Laevo®-Exoskeletts vom Geschlecht und anthropometrischen Eigenschaften sowie muskuloskelettaler Vorschädigung der Probanden abhängt, wurden ausschließlich gesunde, männliche, normalgewichtige Personen rekrutiert.
Für die statistische Analyse der beiden metrischen Variablen „subjektive körperliche Beanspruchung“ und „subjektive Beschwerdeintensität“ wurden die Differenzen zwischen den experimentellen Bedingungen „mit“ und „ohne“ Exoskelett berechnet und auf signifikante Unterschiede gegen Null getestet. Nach visueller Beurteilung der Histogramme sowie von Schiefe und Kurtosis zeigten sich diese Daten als nicht normalverteilt, so dass ein Wilcoxon-Vorzeichen-Rangtest verwendet wurde. Das Signifikanzniveau wurde mit Alpha = 0,05 festgelegt. Die beiden nominalen Variablen „relative Beschwerdehäufigkeit“ und „Beschwerdelokalisation“ wurden mittels deskriptiver Statistik ausgewertet. Für die Darstellung der Ergebnisse wurden Boxplots, die die 25., 50., und 75. Quantile beinhalten, sowie Histogramme verwendet. Die Analysen wurden für die Sortiertätigkeit und die dynamische Hebetätigkeit mit gestreckten und gebeugten Kniegelenken separat durchgeführt. Die drei Oberkörperausrichtungen wurden in der Analyse nicht separiert.
Ergebnisse
 
 
 Subjektive körperliche Beanspruchung
Die wahrgenommene körperliche Beanspruchung lag mit Medianwerten von 3 und weniger in einem eher niedrigen Bereich. Die Verwendung des Exoskeletts führte während allen experimentellen Bedingungen zu geringen, jedoch statistisch signifikanten Reduktionen der wahrgenommenen körperlichen Beanspruchung (➥ Abb. 2). Die mittleren Differenzen lagen bei weniger als einem Punkt der Dimension körperliche Anforderung des NASA-TLX Fragebogen, dessen Skala von 0 bis 10 reichte.
Subjektive Beschwerdewahrnehmung
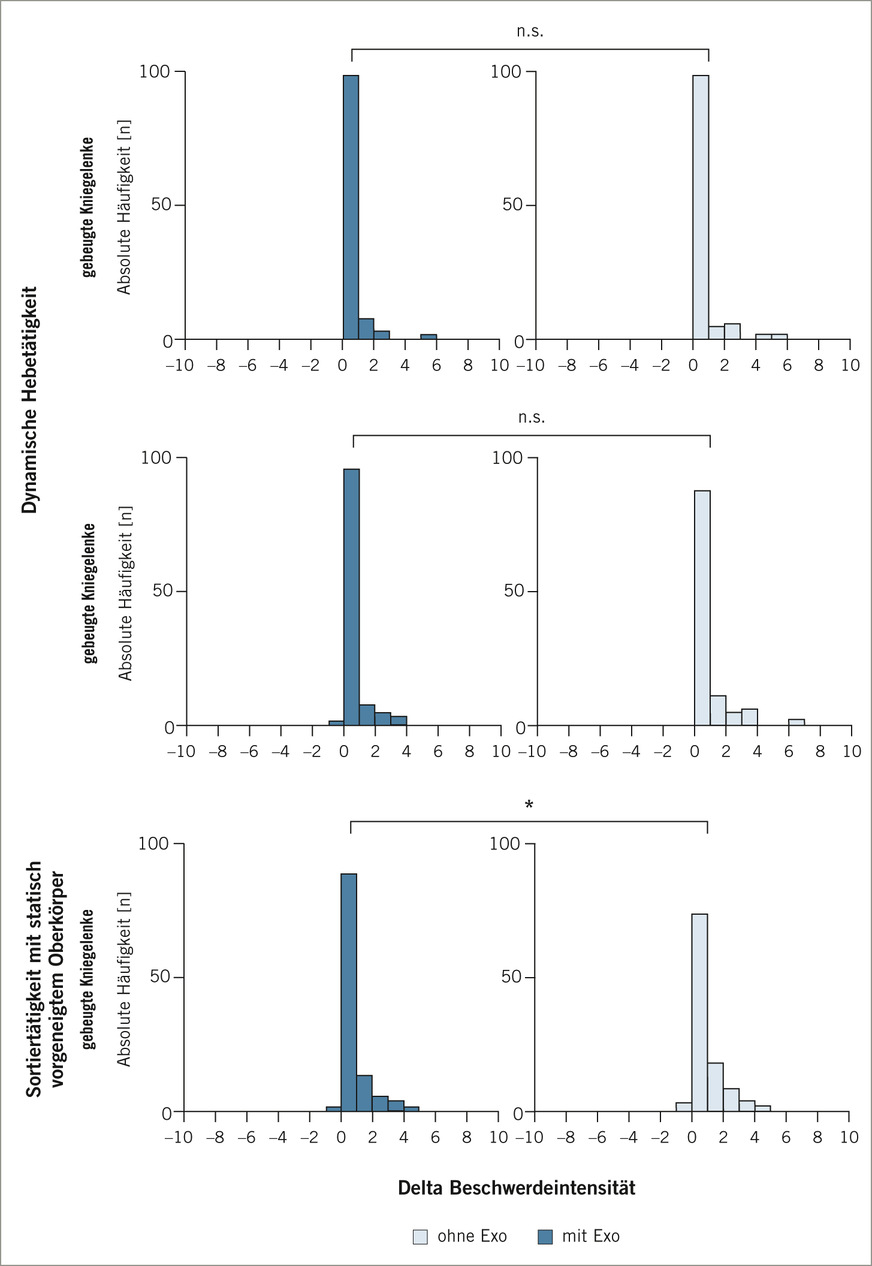
Für die Änderung der Beschwerdeintensität zeigten sich insgesamt sehr geringe Werte. Die Medianwerte lagen für alle experimentellen Bedingungen bis auf eine bei 0 und die Mittelwerte zwischen 0 und 1 (➥ Tabelle 1). Der höchste Wert lag bei 6 (mögliches Maximum 10). Bei der dynamischen Hebetätigkeit waren die angegebenen Änderungen der Beschwerdeintensitäten tendenziell noch etwas geringer als bei der Sortiertätigkeit, und es ergab sich für keine der beiden Ausführungsvarianten (gestreckte vs. gebeugte Kniegelenke) eine weitere Reduktion bei Verwendung des Exoskeletts. Bei der Sortiertätigkeit mit ca. 40° statischer Oberkörpervorneigung zeigte sich eine statistisch signifikante Reduktion der ohnehin sehr geringen Beschwerdeintensität bei Verwendung des Exoskeletts (➥ Abb. 3).
Die Ergebnisse der relativen Beschwerdehäufigkeit verdeutlicht, dass für beide Tätigkeiten insgesamt eher selten Beschwerden angegeben wurden. Bei der dynamischen Hebetätigkeit mit gebeugten Kniegelenken ergab sich kein Unterschied zwischen mit und ohne Exoskelett in der relativen Beschwerdehäufigkeit. Für beide Bedingungen (mit und ohne Exoskelett) lag die relative Beschwerdehäufigkeit bei 10%. Eine leichte Zunahme der relativen Beschwerdehäufigkeit ergab sich bei der dynamischen Hebetätigkeit mit nahezu gestreckten Kniegelenken. Dabei wurden ohne Verwendung des Exoskeletts etwas häufiger Beschwerden angegeben (13 % mit Exoskelett, 19 % ohne Exoskelett). Bei der Sortiertätigkeit mit 40° vorgeneigtem Oberkörper waren die Beschwerden insgesamt etwas häufiger als bei der dynamischen Hebetätigkeit und die Verwendung des Exoskeletts führte zu weniger Beschwerdeangaben (21 % mit Exoskelett, 32 % ohne Exoskelett).
Bei der Beschwerdelokalisation wurden unterschiedliche Körperregionen, von den Füßen bis zu den Händen, angegeben (➥ Abb. 4). Für alle Tätigkeiten zeigte sich tendenziell eine Reduktion der Beschwerdeangaben im Bereich des unteren Rückens bei Verwendung des Exoskeletts. Bei der Sortiertätigkeit war dieses Muster klarer als für die dynamische Hebetätigkeit. Weitere Muster in der Beschwerdelokalisation konnten nicht erkannt werden.
 
 
 Fig. 3: Histograms of the intensity of discomfort during the dynamic lifting task and the sorting task with and without exoskeleton. The charts show the frequencies of delta values, i.e. of the changes in intensity of discomfort during each experimental condition. The asterisk (*) symbolises statistically significant differences in the Wilcoxon signed rank test at p < 0.05. Exo = exoskeleton
 
 
 Fig. 4: Histograms of the perceived localisation of discomfort during the dynamic lifting task and the sorting task with and without exoskeleton. Exo = exoskeleton
Diskussion
Die präsentierten Ergebnisse deuten darauf hin, dass dieses rückenunterstützende Exoskelett bei einer statischen Körperhaltung mit vorgeneigtem Oberkörper potenziell körperliche Beanspruchungen und daraus resultierende Beschwerden im Bereich des unteren Rückens reduzieren kann. Dieses Ergebnis entspricht bereits publizierten Studienergebnissen. In einer Studie von Bosch et al. (2016) wurde der Einfluss eines Vorgängermodells des Laevo®-Exoskeletts bei einer statischen Körperhaltung mit 40° Oberkörpervorneigung (in der Sagittalebene) auf die Aktivität verschiedener Muskeln sowie auf die wahrgenommene Beschwerdeintensität untersucht. Dabei ergaben sich eine deutliche Reduktion der Muskelaktivität im Musculus erector spinae und ebenfalls eine reduzierte wahrgenommene Beschwerdeintensität im Bereich des unteren Rückens. Zusätzlich gaben die Versuchspersonen jedoch Beschwerden im Brustbereich durch Verwendung des Exoskeletts an. Obwohl die untersuchte Sortiertätigkeit der vorliegenden Studie sehr der untersuchten Tätigkeit von Bosch et al. (2016) ähnelte, stellt die vorliegende keine Replikation dieser Daten dar, sondern ergänzt diese um wertvolle Erkenntnisse. In diesem Zusammenhang ist erwähnenswert, dass auch das Nachfolgemodell, das Laevo® 2.56, bei einer sehr kurzen Versuchsdurchführung (90 Sekunden) und einer nicht ausschließlich symmetrischen Oberkörperausrichtung zu einer wahrgenommenen Reduktion der körperlichen Beanspruchung und von Beschwerden führen kann. Selbstverständlich muss an dieser Stelle offen bleiben, ob diese Reduktionen eine relevante präventive Wirkung gegen das Auftreten beziehunsgweise eine weitere Verschlimmerung von Muskel-Skelett-Beschwerden im Bereich des Rückens haben. Zudem gaben die Probanden in der vorliegenden Analyse keine Beschwerden im Brustbereich bei der Verwendung des Exoskeletts an, wie es bei Bosch und Kollegen der Fall war.
Für die dynamische Hebetätigkeit der vorliegenden Studie wurden keine signifikanten Reduktionen der subjektiven Beschwerdewahrnehmung gefunden. Die wahrgenommene körperliche Beanspruchung bei Verwendung des Exoskeletts war wie bei der Sortiertätigkeit auch hier in geringem Maße niedriger als bei Durchführung ohne Exoskelett. In einer Studie von Abdoli et al. (2006) wurde bei einer symmetrischen Hebetätigkeit mit verschiedenen Lasten eine Reduktion der körperlichen Belastung anhand einer geringeren lumbalen und thorakalen Musculus-erector-spinae-Aktivität durch Verwendung eines rückenunterstützenden Exoskeletts gezeigt. Die Autoren zeigten zudem zwar, dass die Bewegungsausführung durch Verwendung des Exoskeletts nicht verändert wird, haben aber keine Angaben zu einer möglichen Beschwerdereduktion durch das Exoskelett gemacht. Hensel und Keil (2018) untersuchten die Verwendung des Laevo®-Exoskeletts (unklar, welche Version eingesetzt wurde) an industriellen Arbeitsplätzen mit statischen und dynamischen Tätigkeiten. Die statischen Tätigkeiten charakterisieren dabei Tätigkeiten mit einer statisch, vorgeneigten Oberkörperhaltung, die dynamischen dagegen Tätigkeiten mit wiederholten Rumpfbeugungen. Die Autoren haben neben der Gebrauchstauglichkeit und Nutzerakzeptanz auch die subjektive Beschwerdeintensität zu Beginn und am Ende eines vierwöchigen Interventionszeitraums bei 30 Beschäftigen aus der Automobilindustrie erfragt. Es zeigte sich, wie in der vorliegenden Studie, dass bei der statischen Tätigkeit im Bereich des unteren Rückens eine Beschwerdereduktion eintrat. Diese Reduktion konnte jedoch nicht bei den dynamischen Tätigkeiten gefunden werden.
Mit Blick auf die relativen Beschwerdehäufigkeiten in der vorliegenden Studie kann die Hypothese aufgestellt werden, dass auch die Ausführungsvariante einen Einfluss auf die Wirkung eines rückenunterstützenden Exoskeletts haben könnte. Bei der Hebetechnik mit gebeugten Kniegelenken war die relative Beschwerdehäufigkeit für die experimentelle Bedingung mit Exoskelett identisch wie ohne Exoskelett, wohingegen die Verwendung des Exoskeletts beim Heben mit gestreckten Kniegelenken zu einer etwas reduzierten relativen Beschwerdehäufigkeit führte. Ursächlich für diese tendenziellen Unterschiede zwischen den beiden Bewegungsausführungen könnten Unterschiede in Art und Höhe der Rückenbelastung zwischen dem Heben mit gebeugten und gestreckten Kniegelenke sein, die sich aus einer geänderten Oberkörpervorneigung ergeben. Allerdings deuten lediglich die Daten der relativen Beschwerdehäufigkeit in diese Richtung. Um diese Hypothese zu überprüfen, bedarf es definitiv weiterer Untersuchungen.
 
 
 Table 1: Mean values and medians of change in intensity of discomfort during the simulated dynamic lifting task and the sorting task with and without exoskeleton
Limitationen
Als Limitation kann die kurze Dauer der untersuchten Tätigkeiten angesehen werden. Es ist möglich, dass bei einer längeren Ausübung der Tätigkeiten Unterschiede zwischen den Exoskelettbedingungen klarer hervorgetreten wären. Andererseits ist nicht auszuschließen, dass bei einer längeren Tragedauer des Exoskeletts die Beschwerden gleichermaßen zunehmen würden wie bei der Tätigkeitsdurchführung ohne Exoskelett. Andere Studien berichten auch von zunehmenden Beschwerden in anderen Körperregionen durch Exoskelette (Bosch et al. 2016; Huysamen et al. 2018; Luger et al. 2019).
Eine klare Limitation der vorliegenden Datenanalyse besteht in Bezug auf die Verallgemeinerbarkeit der Ergebnisse. In diese Studie wurden ausschließlich männliche, junge und beschwerdefreie Personen eingeschlossen. Zusätzlich handelte es sich bei der Stichprobe um ein so genanntes „Convenience Sample“ (eine einfach zu rekrutierende Stichprobe). Dies erschien jedoch vor dem Hintergrund der motorisch recht einfachen statischen Oberkörpervorneigung und den Hebevorgängen als ausreichend, zumal eine Gewöhnung an einem separaten Tag stattgefunden hat. Dennoch sind Aussagen für weibliche Personen, insbesondere weibliche Beschäftigte, die gleichermaßen an Arbeitsplätzen arbeiten, wo dieses Exoskelett eingesetzt werden könnte, nicht möglich. Dafür bedarf es weiterer Untersuchungen, die explizit unterschiedliche Wirkungen von Exoskeletten bei männlichen und weiblichen Personen untersuchen. Immerhin werden Exoskelette eng am Körper getragen, so dass die unterschiedlichen anatomischen Eigenschaften zwischen Männern und Frauen bedeutsam sein können.
Eine weitere Limitation könnte sich aus der eingesetzten Bewertungsskala zur Erfassung von subjektiven Beschwerden ergeben. Keiner der Probanden gab Verständnisschwierigkeiten bei der Nutzung dieser Skala an und selbst wenn beispielsweise durch die orientierenden Bezeichnungen Irritationen bei den Probanden erzeugt wurden, ist anzunehmen, dass sich daraus ergebende Fehlangaben, aufgrund der intraindividuellen Vergleiche und des balancierten und randomisierten Designs, eher gleichmäßig über die zu bewertenden experimentellen Bedingungen verteilt haben. Dennoch muss angemerkt werden, dass diese Skala nicht für die Erfassung von Beschwerden/Diskomfort beziehungsweise hinsichtlich der Änderungssensitivität validiert wurde. Eine feinstufigere Skala beziehungsweise eine kontinuierliche Skala wäre möglicherweise besser geeignet, die sehr geringen Unterschiede zwischen den experimentellen Bedingungen zu beschreiben. Die gefundenen Änderungen in der Beschwerdeintensität sollten nicht als relevante Unterschiede interpretiert werden, sondern sind vielmehr Ausgangspunkt für Hypothesen, die in Folgestudien mit den bestmöglichen Instrumenten überprüft werden sollten.
Schlussfolgerung
Das untersuchte Exoskelett hat das Potenzial, die subjektiven körperlichen Beanspruchungen zu verringern, und führt bei einer Tätigkeit mit statischer Oberkörpervorneigung möglicherweise eher zu reduzierten wahrgenommenen Beschwerden als bei einer dynamischen Hebetätigkeit. Bei der dynamischen Hebetätigkeit könnte allerdings die Bewegungsausführung einen Einfluss auf die Wirkung des Exoskeletts haben und sollte Gegenstand weiterer Untersuchungen werden. Zudem sollten dringend Studien mit einer längeren Tragedauer und längeren Interventionszeiträumen durchgeführt werden, um zu überprüfen, ob die hier beschriebenen potenziellen körperlichen Beanspruchungs- und Beschwerdereduktionen eine relevante präventive Wirkung gegen arbeitsassoziierte Muskel-Skelett-Beschwerden oder Muskel-Skelett-Erkrankungen im Rücken haben.
Finanzierung: Die durch die Mitarbeitenden des Instituts für Arbeitsmedizin, Sozialmedizin und Versorgungsforschung initiierte und konzipierte Studie wurde mit finanzieller Unterstützung der Firmen AUDI AG, Daimler AG, BMW AG, Deutsche Post DHL Group, MTU Aero Engines AG, BASF SE, ITURRI Gruppe und DACHSER SE durchgeführt. Die Firmen hatten zu keinem Zeitpunkt Einfluss auf die Datenanalyse und -interpretation. Zusätzlich notwendige Finanzmittel wurden aus Eigenmitteln des Instituts für Arbeitsmedizin, Sozialmedizin und Versorgungsforschung erbracht. Das Institut für Arbeitsmedizin, Sozialmedizin und Versorgungsforschung, Universitätsklinikum Tübingen erhält eine institutionelle Förderung durch den Verband der Metall- und Elektroindustrie Baden-Württemberg e.V. (Südwestmetall).
Danksagung: Ein besonderer Dank gilt Pia Rimmele, Stefanie Lorenz und Sylvia Weymann für ihre Unterstützung bei der Datenerhebung. Pia Rimmele nutzt andere Daten aus diesem Projekt zur Anfertigung einer medizinischen Doktorarbeit, Stefanie Lorenz und Sylvia Weymann haben andere Daten aus diesem Projekt genutzt, um ihre Bachelorarbeiten anzufertigen.
Beitrag der Autorinnen und Autoren: BS, RS, MR und TL entwickelten das Studien-Design, MB und GC führten die Datenerhebung und Datenaufbereitung aus, BS und TL konzipierten die Datenanalyse und interpretierten die Daten, BS lieferte einen ersten Entwurf des Artikels. Alle Autoren haben das Manuskript sorgfältig gelesen und gegebenenfalls Rückmeldungen gegeben und ihr Einverständnis für die finale Version erteilt.
Interessenkonflikt: Alle Autorinnen und Autoren geben an, dass kein Interessenkonflikt vorliegt.
Literatur
Abdoli EM, Agnew MJ, Stevenson JM: An on-body personal lift augmentation device (plad) reduces emg amplitude of erector spinae during lifting tasks. Clin Biomech (Bristol, Avon) 2006; 21: 456–465.
Alghadir AH, Anwer S, Iqbal A, Iqbal ZA: Test-retest reliability, validity, and minimum detectable change of visual analog, numerical rating, and verbal rating scales for measurement of osteoarthritic knee pain. J Pain Res 2018; 11: 851–856.
Bate S, Jones B: The construction of nearly balanced and nearly strongly balanced uniform cross-over designs. Journal of Statistical Planning and Inference 2006; 136: 3248–3267.
Bosch T, Van Eck J, Knitel K, de Looze M: The effects of a passive exoskeleton on muscle activity, discomfort and endurance time in forward bending work. Appl Ergonom 2016; 54: 212–217.
Burton K, Kendall N: Musculoskeletal disorders. BMJ 2014; 348, g1076.
BG ETEM: Heben und Tragen. https://www.bgetem.de/arbeitssicherheit-gesundheitsschutz/themen-von-a-… (Zugriff: 16.07.2020).
Corlett EN, Bishop RP: A technique for assessing postural discomfort. Ergonomics 1976; 19: 175–182.
de Looze MP, Bosch T, Krause F, Stadler KS, O’sullivan LW: Exoskeletons for industrial application and their potential effects on physical work load. Ergonomics 2016; 59: 671–681.
Ferreira PH, Beckenkamp P, Maher CG, Hopper JL, Ferreira ML: Nature or nurture in low back pain? Results of a systematic review of studies based on twin samples. Eur J Pain 2013; 17: 957–971.
Fischer L: Wir setzen auf Prävention. DGUV Forum Fachzeitschrift für Prävention, Rehablilitation und Entschädigung 2018, Ausgabe 1 und 2.
Glitsch U, Bäuerle I, Hertrich L, Heinrich K, Liedtke M: Biomechanische Beurteilung der Wirksamkeit von rumpfunterstützenden Exoskeletten für den industriellen Einsatz. Z Arb Wiss 2019 (https://link.springer.com/article/10.1007/s41449-019-00184-9).
Grobe T, Steinmann S, Gerr J: Gesundheitsreport 2018 – Arbeitsunfähigkeiten. Hamburg: Techniker Krankenkasse, 2018.
Hart SG, Lowell ES: Development of NASA-TLX (task load index): Results of empirical and theoretical research. Advances in Psychology 1988; 52: 139–183.
Hensel R, Keil M: Subjektive Evaluation industrieller Exoskelette im Rahmen von Feldstudien an ausgewählten Arbeitsplätzen. Z Arb Wiss 2018; 72: 252–263.
Huysamen K, de Looze M, Bosch T, Ortiz J, Toxiri S, O’sullivan LW: Assessment of an active industrial exoskeleton to aid dynamic lifting and lowering manual handling tasks. Appl Ergonom 2018; 68: 125–131.
Koopman AS, Kingma I, Faber GS, de Looze MP, van Dieen JH: Effects of a passive exoskeleton on the mechanical loading of the low back in static holding tasks. J Biomech 2019; 83: 97–103.
Kuorinka I, Jonsson B, Kilbom A, Vinterberb H, Biering-Sørensen F, Andersson G, Jørgensen K: Standardised Nordic questionnaires for the analysis of musculoskeletal symptoms. Appl Ergonom 1987; 18: 233–237.
Luger T, Seibt R, Cobb TJ, Rieger MA, Steinhilber B: Influence of a passive lower-limb exoskeleton during simulated industrial work tasks on physical load, upper body posture, postural control and discomfort. Appl Ergonom 2019; 80: 152–160.
Raspe R: Rückenschmerzen. Gesundheitsberichterstattung des Bundes. Berlin: Robert Koch-Institut, 2012.
Steinhilber B Seibt R, Luger T: Einsatz von Exoskeletten im beruflichen Kontext – Wirkung und Nebenwirkung. ASU Arbeitsmed Sozialmed Umweltmed 2018; 53: 662–664.
Steinhilber B, Luger T, Schwenkreis P, Middeldorf S, Bork H, Mann B, von Glinski A, Schildhauer TA, Weiler S, Schmauder M, Heinrich K, Winter G, Schnalke G, Frener P, Schick R, Wischniewski S, Jäger M: Einsatz von Exoskeletten im beruflichen Kontext zur Primär-, Sekundär- und Tertiärprävention von arbeitsassoziierten muskuloskelettalen Beschwerden, 1. Aufl., Version 1 ed. Deutsche Gesellschaft für Arbeitsmedizin und Umweltmedizin e.V., AWMF online Das Portal der wissenschaftlichen Medizin, 2020, https://www.awmf.org/uploads/tx_szleitlinien/002-046l_S2k_Exoskelette_2… (Zugriff: 16.07.2020).
Theurel J, Desbrosses K, Roux T, Savescu A: Physiological consequences of using an upper limb exoskeleton during manual handling tasks. Appl Ergonom 2018; 67: 211–217.
Kontakt
Dr. rer. nat. Benjamin Steinhilber
Institut für Arbeitsmedizin, Sozialmedizin und Versorgungsforschung
Universitätsklinikum Tübingen
Wilhelmstraße 27 – 72074 Tübingen
Benjamin.steinhilber@med.uni-tuebingen.de
 
     
     
     
     
     
     
    