Springe auf Hauptinhalt Springe auf Hauptmenü Springe auf SiteSearch
Beschreibung am Beispiel des kanzerogenen Arbeitsstoffs Cobalt

Beurteilungswerte in biologischem Material

Einleitung

„Biomonitoring ist die Untersuchung biologischen Materials der Beschäftigten zur Bestimmung von Gefahrstoffen, deren Metaboliten oder deren biochemischen beziehungsweise biologischen Effektparametern“ (AMR 6.2; AfAMed 2013).

In der Arbeitsmedizin als überwiegend präventivem Fach wird Biomonitoring durchgeführt, um die individuelle Belastung von Beschäftigten durch aufgenommene Gefahrstoffe zu quantifizieren und damit verbundene eventuelle gesundheitliche Gefährdungen zu bewerten. Zudem kann der Erfolg präventiver Maßnahmen zur Reduzierung der Belastung und Gefährdung überprüft werden.

In der Verordnung zur arbeitsmedizinischen Vorsorge (ArbmedVV 2013) wird das Biomonitoring als Bestandteil der arbeitsmedizinischen Vorsorge aufgeführt, wenn anerkannte Analyseverfahren und geeignete Beurteilungswerte zur Verfügung stehen. Die Arbeitsmedizinische Regel (AMR) 6.2 „Biomonitoring“ konkretisiert die Anforderungen der ArbmedVV, gibt Hinweise zur Durchführung des Biomonitorings und führt Werte auf, die eine Beurteilung von Biomonitoringbefunden ermöglichen (AfAMed 2013).

Biomonitoring wird insbesondere auch beim Umgang mit kanzerogenen Arbeitsstoffen empfohlen, um die individuelle Belastung der Exponierten abschätzen zu können (DFG 2020).

Kanzerogene Arbeitsstoffe

Krebserzeugende Arbeitsstoffe werden von der Ständigen Senatskommission zur Prüfung gesundheitsschädlicher Arbeitsstoffe der Deutschen Forschungsgemeinschaft (DFG) in fünf verschiedene Kanzerogenitätskategorien eingeteilt (nach DFG 2020):

  • Kanzerogenitätskategorie 1:
    beinhaltet Stoffe, die beim Menschen Krebs erzeugen und bei denen davon auszugehen ist, dass sie einen Beitrag zum Krebsrisiko leisten.
  • Kanzerogenitätskategorie 2:
    beinhaltet Stoffe, die als krebserzeugend für den Menschen anzusehen sind, weil durch Ergebnisse aus Tierversuchen und epidemiologischen Untersuchungen davon auszugehen ist, dass sie einen Beitrag zum Krebsrisiko leisten.
  • Kanzerogenitätskategorie 3:
    beinhaltet Stoffe, die wegen erwiesener oder möglicher krebserzeugender Wirkung Anlass zur Besorgnis geben, aber aufgrund unzureichender Informationen nicht in eine andere Kategorie eingeordnet werden können. Sofern der Stoff oder seine Metaboliten keine genotoxischen Wirkungen aufweisen, kann ein MAK- (Maximale Arbeitsplatz-Konzentration) oder BAT- (Biologische Arbeitsstofftoleranz)Wert festgelegt
    werden.
  • Kanzerogenitätskategorie 4:
    beinhaltet Stoffe, die bei Tier oder Mensch Krebs erzeugen oder als krebserzeugend für den Menschen anzusehen sind und für die ein MAK-Wert abgeleitet werden kann. Im Vordergrund steht ein nichtgenotoxischer Wirkungsmechanismus und genotoxische Effekte spielen bei Einhaltung des MAK- und BAT-Werts keine oder nur eine untergeordnete Rolle, so dass kein Beitrag zum Krebsrisiko für den Menschen zu erwarten ist.
  • Kanzerogenitätskategorie 5:
    beinhaltet Stoffe, die bei Tier oder Mensch Krebs erzeugen oder als krebserzeugend für den Menschen anzusehen sind und für die ein MAK-Wert abgeleitet werden kann. Im Vordergrund steht ein genotoxischer Wirkungsmechanismus, für den aber bei Einhaltung des MAK- und BAT-Werts nur ein sehr geringer Beitrag zum Krebsrisiko für den Menschen zu erwarten ist.
  • Beurteilungswerte in biologischem Material

    Die Arbeitsgruppe „Aufstellung von Grenzwerten in biologischem Material“ der Ständigen Senatskommission zur Prüfung gesundheitsschädlicher Arbeitsstoffe der Deutschen Forschungsgemeinschaft evaluiert fortlaufend Beurteilungswerte in biologischem Material (s. Infokasten):

  • Biologische Arbeitsstoff-Toleranzwerte (BAT-Werte)
  • Biologische Leitwerte (BLW)
  • Biologische Arbeitsstoff-Referenzwerte (BAR) und
  • Expositionsäquivalente für kanzerogene Arbeitsstoffe (EKA).
  • Die Werte werden jährlich in der MAK- und BAT-Werte-Liste und die ausführlichen Begründungen zur Ableitung der Werte in der „MAK-Collection for Occupational Health and Safety“ (DFG 2020) veröffentlicht.

    Der Ausschuss für Gefahrstoffe (AGS) leitet als Beurteilungswerte in biologischem Material (s. Infokasten) Biologische Grenzwerte (BGW), die in der Technischen Regel für Gefahrstoffe (TRGS) 903 publiziert werden, und für kanzerogene Arbeitsstoffe Äquivalenzwerte zu Expositions-Risiko-Beziehungen (ERB) und zu AGW (Arbeitsplatzgrenzwert)-analogen Werten ab, die in der TRGS 910 veröffentlicht werden. Zusätzlich liegen Begründungen zur Ableitung der einzelnen ERB vor (TRGS 910, s. „Weitere Infos“).

    Biologische Arbeitsstoff-Toleranzwerte (BAT-Werte, DFG)

    Sie beschreiben in der Regel die mittlere arbeitsmedizinisch-toxikologisch abgeleitete Konzentration eines Arbeitsstoffes, seiner Metaboliten, Addukte oder eines Beanspruchungsindikators im entsprechenden biologischen Material, bei der im Allgemeinen die Gesundheit der Beschäftigten auch bei wiederholter und langfristiger Exposition (maximal 8 Stunden täglich und 40 Stunden wöchentlich über die Lebensarbeitszeit) nicht beeinträchtigt wird (DFG 2020). Auch für kanzerogene Stoffe können BAT-Werte abgeleitet werden, unter anderem, wenn ein Arbeitsstoff der Kanzerogenitätskategorie 3 oder seine Metaboliten keine genotoxische Wirkung aufweisen. Bei Arbeitsstoffen der Kanzerogenitätskategorie 4 (nichtgenotoxischer Wirkungsmechanismus steht im Vordergrund) und 5 (genotoxische Kanzerogene mit geringer Wirkungsstärke), kann ein BAT-Wert festgesetzt werden, bei dem kein beziehungsweise nur ein sehr geringer Beitrag zum Krebsrisiko für den Menschen zu erwarten ist. Für Arbeitsstoffe der Kanzerogenitätskategorie 1 und 2 können keine BAT-Werte abgeleitet werden (DFG 2020).

    Biologische Leitwerte (BLW, DFG)

    BLW werden als mittlere Konzentration eines Arbeitsstoffs, seiner Metaboliten, Addukte oder eines Beanspruchungsindikators im entsprechenden biologischen Material nur für solche Arbeitsstoffe abgeleitet, für die keine arbeitsmedizinisch-toxikologisch begründeten BAT-Werte aufgestellt werden können (z. B. Kanzerogene der Klasse 1 und 2). Die Werte sollen unter anderem einen hinreichenden Schutz gegenüber den nichtkanzerogenen Effekten dieser Stoffe bieten, ohne jedoch jedes Gesundheitsrisiko durch zum Beispiel kanzerogene Effekte ausschließen zu können (DFG 2020). Dem liegt das mechanistische Verständnis zugrunde, dass nichtkanzerogene Effekte eines Gefahrstoffs dosisabhängig und unabhängig vom jeweiligen Krebsrisiko auftreten. Für die Gefahrstoffe, bei denen es für diese Prämisse keine wissenschaftlichen Belege gibt, werden keine BLW abgeleitet.

    Biologische Arbeitsstoff-Referenzwerte (BAR, DFG)

    Diese beschreiben das 95. Perzentil der Hintergrundbelastung von beruflich nicht gegenüber dem Gefahrstoff exponierten Personen im erwerbsfähigen Alter ohne auf gesundheitliche Effekte Bezug zu nehmen (DFG 2020). Mit diesem Wert wird eine Abschätzung des Ausmaßes der beruflichen Exposition ermöglicht. Außerberufliche Einflussfaktoren, unter anderem Alter und Geschlecht, werden bei der Ableitung der BAR berücksichtigt. Bei relevantem Einfluss des Tabakkonsums auf die Hintergrundbelastung des zu evaluierenden Arbeitsstoffs werden BAR nur für Nichtraucher abgeleitet (DFG 2020).

    Expositionsäquivalente für kanzerogene Arbeitsstoffe (EKA, DFG)

    Sie zeigen die Beziehungen zwischen der Stoffkonzentration in der Luft am Arbeitsplatz und der inneren Belastung durch die Stoff- bzw. Metabolitenkonzentration im biologischen Material bei ausschließlich inhalativer Stoffaufnahme an (DFG 2019). Diese Ableitung ist rein deskriptiv und benennt im Gegensatz zu den Expositions-Risiko-Beziehungen (ERB, siehe unten) kein Risiko.

    Biologische Grenzwerte (BGW, AGS)

    BGW sind in der Regel mittlere toxikologisch-arbeitsmedizinisch abgeleitete Konzentrationen eines Stoffs, seines Metaboliten oder eines Beanspruchungsindikators im entsprechenden biologischen Material, bei der die Gesundheit von Beschäftigten im Allgemeinen nicht beeinträchtigt wird. Dabei dienen die BAT-Werte der DFG-Kommission dem AGS überwiegend als Grundlage für die Festsetzung der biologischen Grenzwerte (TRGS 903, s. „Weitere Infos“).

    Expositions-Risiko-Beziehungen (ERB, AGS)

    ERB für kanzerogene Stoffe beschreiben den Zusammenhang zwischen der Stoffkonzentration in der Luft am Arbeitsplatz und der statistischen Wahrscheinlichkeit des Auftretens einer berufsbedingten Krebserkrankung während des gesamten Lebens. Es werden derzeit Erkrankungsrisiken von 4:1000 als Toleranzrisiko und von 4:10 000 als Akzeptanzrisiko festgelegt. Zusätzlich werden Äquivalenzwerte in biologischem Material zur Akzeptanz- oder Toleranzkonzentration der ERB abgeleitet. Diese beschreiben diejenige Konzentration eines krebserzeugenden Arbeitsstoffs beziehungsweise seines Metaboliten in Körperflüssigkeiten, die einer ausschließlich inhalativen Exposition des Arbeitsstoffes in der Luft entspricht und bei der das Akzeptanz- bzw. das Toleranzrisiko erreicht ist (TRGS 910 s. „Weitere Infos“).

    AGW-analoge Werte (AGS)

    Hierbei handelt es sich um gesundheitsbasiert abgeleitete Grenzwerte eines kanzerogenen Arbeitsstoffs in der Luft am Arbeitsplatz zum Schutz vor den nichtkanzerogenen Wirkungen dieses krebserzeugenden Stoffes. Zu diesem Wert kann auch ein entsprechender Äquivalenzwert in biologischem Material abgeleitet werden, der die Konzentration eines Stoffs, seines Metaboliten oder eines Beanspruchungsindikators im entsprechenden biologischen Material zu diesem AGW-analogen Wert beschreibt. Der AGW-analoge Wert kann im Bereich oder unterhalb der Toleranzkonzentration der ERB für den kanzerogenen Arbeitsstoff liegen und wird dann zur (gesundheitsbasierten) Toleranzkonzentration (TRGS 910).

    Biomonitoring-Auskunftssystem der BAuA

    Das Biomonitoring-Auskunftssystem der BAuA (2020) ermöglicht kostenlos und ohne Registrierung den Zugang zu verfügbaren Biomonitoring-Untersuchungsparametern, Analysenmethoden für diese Parameter (einschließlich Angeboten zur externen Qualitätssicherung von Biomonitoring-Analysen durch Ringversuche) sowie entsprechenden Beurteilungswerten für die Bewertung der Biomonitoring-Untersuchungsergebnisse. Derzeit sind regelmäßig und bei Neuerungen auch zeitnah aktualisierte Informationen für das Biomonitoring von über 1000 Gefahrstoffen und Gefahrstoffgruppen im System enthalten, die jeweils durch Angabe und überwiegend auch direkte Verlinkung zu den Originalquellenangaben belegt sind.

    Beurteilungswerte in biologischem Material für Cobalt

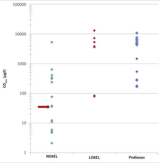
    Expositionen gegenüber Cobalt und Cobaltverbindungen bestanden und bestehen durch den Einsatz unter anderem als Farbstoff, in Legierungen für Magnete, Maschinenbauteile und zusammen mit Wolframcarbid in Hart- und Sintermetallen für Schneidwerkzeuge, als Katalysator, Trockner, in Batterien und Akkumulatoren, aber auch in Prothesen und als Stabilisator in Bierschaum. In der Metallindustrie kann ein direkter Kontakt zu Cobalt-haltigen Metallen und Metallstäuben sowie gebrauchten Schneidölen oder Schmier- und Kühlschmiermitteln bestehen. Als Bestandteil von Vitamin B12 ist Cobalt für den Menschen lebensnotwendig. In höheren Konzentrationen wirkt es jedoch toxisch. Zum Schutz exponierter Personen wurden wissenschaftlich begründete Beurteilungswerte in biologischem Material abgeleitet. Von der Senatskommission zur Prüfung gesundheitsschädlicher Arbeitsstoffe wurden Cobalt und Cobaltverbindungen in die Kanzerogenitätskategorie 2 als krebserzeugend beim Menschen eingestuft, weil durch hinreichende Ergebnisse aus Langzeit-Tierversuchen oder Hinweise aus Tierversuchen und epidemiologischen Untersuchungen davon auszugehen ist, dass sie einen Beitrag zum Krebsrisiko leisten. Diese Einstufung erlaubt keine Ableitung eines BAT-Werts, so dass die verfügbaren wissenschaftlichen Studien hinsichtlich der Möglichkeit der Ableitung eines BLW überprüft wurden. Basierend auf diesen Studien listet ➥ Abb. 1 die NOAEL (No-Observed-Adverse-Effect-Level), die LOAEL (Low-Observed-Adverse-Effect-Level) und die Cobaltkonzentrationen symptomatischer Erkrankter im Urin nach Prothesenimplantation auf.

    Beispiel für eine Cobalt-Verbindung: Cobalt(II)-chlorid (wasserfrei)

    Foto: Wikipedia / Walkerma

    Beispiel für eine Cobalt-Verbindung: Cobalt(II)-chlorid (wasserfrei)

    Kritische systemische Endpunkte der Cobalttoxizität sind unter anderem das Herz, die Lunge, die Schilddrüse und die Blutbildung. Die niedrigsten LOAELs wurden bei Beschäftigten in der Cobaltraffinerie und in der Herstellung von Diamantkreissägen gemessen. Die adversen Effekte waren Hypothyreose und restriktive Ventilationsstörung. Für die Ableitung eines Beurteilungswerts an der systemischen Toxizität sah die Kommission die kardiotoxische Wirkung von Cobalt und Cobaltverbindungen als kritischen Endpunkt an. Bei Beschäftigten aus der finnischen Cobaltproduktion wurden bei einer Konzentration von ca. 36 μg Cobalt/l Urin echokardiographisch keine eindeutigen kardiotoxischen Effekte beobachtet und daher ein BLW für Cobalt und Cobaltverbindungen von 35 µg Cobalt/l Urin abgeleitet. Zum Vergleich sei angemerkt, dass nach einer Implantation von cobalthaltigen Prothesen symptomatische Erkrankte mit Kardiomyopathie, Hypothyreose, Hörverlust, visuellen und/oder neurologischen Effekten Cobaltkonzentrationen von 163 bis 4783 µg/l Urin aufwiesen. Der BLW von 35 µg Cobalt/l Urin wurde gesundheitsbasiert an den nichtkanzerogenen, nichtsensibilisierenden, systemischen Wirkungen des Cobalts abgeleitet, schützt aber nicht vor dem Auftreten von Lungenkarzinomen oder cobaltinduziertem Asthma. Befunde durch Koexpositionen von Beschäftigten aus der Hartmetallindustrie zu Wolfram, das eine entscheidende Rolle in der Genese der Lungenfibrose hat, wurden nicht berücksichtigt.

    Tabelle 1:  Expositionsäquivalente für kanzerogene Arbeitsstoffe (EKA), Korrelation zwischen äußerer und innerer Belastung für Cobalt und Cobalt­verbindungen

    Tabelle 1: Expositionsäquivalente für kanzerogene Arbeitsstoffe (EKA), Korrelation zwischen äußerer und innerer Belastung für Cobalt und Cobalt­verbindungen

    Zur Abschätzung des Ausmaßes der beruflichen Exposition wurde aus den Daten zur Hintergrundbelastung der beruflich nicht gegenüber Cobalt exponierten Allgemeinbevölkerung in Deutschland ein BAR von 1,5 µg Cobalt/l Urin abgeleitet, der gegebenenfalls auch geogene Einflussfaktoren berücksichtigt. Für berufliche Expositionen gegenüber Cobalt und Cobaltverbindungen in Höhe von 0,005 bis 0,5 mg/m³ in der Luft am Arbeitsplatz wurden EKA evaluiert, die die innere Belastung bei ausschließlich inhalativer Stoffaufnahme angeben (➥ Tabelle 1). Die Probenahme sollte jeweils bei Langzeitexposition am Schichtende nach mehreren vorangegangenen Schichten erfolgen (Schmitz-Spanke et al. 2018).

    Der AGS hat auf der Grundlage von Tierversuchen an Ratten und Mäusen, die Cobaltsulfat inhalierten, eine Expositions-Risiko-Beziehung für metallisches Cobalt, anorganische Cobaltverbindungen und Cobalt-haltiges Hartmetall abgeleitet. Diese abgeleiteten Konzentrationen beziehen sich ausdrücklich auch auf Hartmetall-Exposi­tionen, die in der Bewertung der DFG wegen ihrer lungenfibrotischen Wirkung nicht berücksichtigt werden. Für ein Risiko von 4:1000 (Toleranzrisiko) wurde eine Luftkonzentration von 5 μg Cobalt/m³ (bezogen auf einen Cobalt-Langzeit-Mittelwert bei 40 Jahren Arbeitsplatzexposition), für ein Risiko von 4:10.000 (Akzeptanzrisiko) wurden 0,5 µg Cobalt/m³ festgesetzt. Dabei liegt der Wert für das Akzeptanzrisiko bereits im Bereich der allgemeinen Hintergrundbelastung. Mit dem Multistage-Cancer-Modell wurde als Point-of-Departure ein Wert von 125 μg Cobalt/m³ abgeleitet. Ein AGW-analoger Wert wurde nicht abgeleitet (TRGS 910).

    Fazit

    Beurteilungswerte in biologischem Material der Ständigen Senatskommission zur Prüfung gesundheitsschädlicher Arbeitsstoffe der DFG (BAT-Werte, BLW, BAR und EKA) und des AGS (Äquivalenzwerte zu ERB und zu AGW-analogen Werten) werden auch für kanzerogene Arbeitsstoffe abgeleitet und dienen dem Schutz der Gesundheit am Arbeitsplatz, beispielsweise im Rahmen der arbeitsmedizinischen Vorsorge. Sie ermöglichen aber auch die Einschätzung einer inneren Belastung und des daraus resultierenden Risikos von außerberuflich zum Beispiel gegen Cobalt und Cobaltverbindungen exponierten Personen.

    Interessenskonflikt: Die Autorenschaft gibt an, dass kein Interessenkonflikt vorliegt. Frau Prof. Schmitz-Spanke und Herr Prof. Drexler sind Mitglieder der Ständigen Senatskommission zur Prüfung gesundheitsschädlicher Arbeitsstoffe der DFG. Herr Prof. Drexler ist Leiter der Arbeitsgruppe „Aufstellung von Grenzwerten in biologischem Material“, Frau Prof. Schmitz-Spanke ist Mitglied dieser Arbeitsgruppe, Frau Dr. Weistenhöfer arbeitet im wissenschaftlichen Sekretariat der Arbeitsgruppe.

    Literatur

    DFG – Deutsche Forschungsgemeinschaft: The MAK Collection of Occupational Health and Safety 2020. https://onlinelibrary.wiley.com/doi/book/10.1002/3527600418

    Schmitz-Spanke S, Drexler H, Hartwig A, MAK
    Commission: Addendum zu Cobalt und Cobalt­verbindungen [BAT Value Documentation in
    German language, 2018]. MAK Collect Occup
    Health Saf 2018; 3: 1546–1570.

    Weitere Infos

    ArbMedVV – Verordnung zur arbeitsmedizinischen Vorsorge vom 18.12.2008 (BGBl. I S. 2768), zuletzt geändert durch Art. 1 der Verordnung vom 23.10.2013 (BGBl. I S. 3882)
    http://www.gesetze-im-internet.de/bundesrecht/arbmedvv/gesamt.pdf

    AfAMed – Ausschuss für Arbeitsmedizin: Bekanntmachung von Arbeitsmedizinischen Regeln. AMR 6.2 „Biomonitoring“. Bek. d. BMAS v. 11.06.2013 – III b1 – 36628 – 15/1. GMBl 2013; 32: 623
    https://www.baua.de/DE/Angebote/Rechtstexte-und-Technische-Regeln/Regel…

    AGS – Ausschuss für Gefahrstoffe: Biologische Grenzwerte (BGW). TRGS 903, Ausgabe Februar 2013, GMBl 2013; 17: 364–372; zuletzt geändert und ergänzt: GMBl 2019: 120
    https://www.baua.de/DE/Angebote/Rechtstexte-und-Technische-Regeln/Regel…)

    AGS – Ausschuss für Gefahrstoffe: Risikobezogenes Maßnahmenkonzept für Tätigkeiten mit krebserzeugenden Gefahrstoffen. TRGS 910, Ausgabe: Februar 2014, GMBl 2014, S. 258–270, zuletzt geändert und ergänzt: GMBl 2019: 120
    https://www.baua.de/DE/Angebote/Rechtstexte-und-Technische-Regeln/Regel…)

    BAuA – Bundesanstalt für Arbeitsschutz und Arbeitsmedizin: Biomonitoring-Auskunftssystem 2020
    https://www.baua.de/DE/Themen/Arbeitsgestaltung-im-Betrieb/Gefahrstoffe…

    Info

    Beurteilungswerte in biologischem Material der ­Ständigen ­Senatskommission zur Prüfung gesundheitsschädlicher ­Arbeitsstoffe („MAK-Kommission“) der DFG und des AGS

    Beurteilungswerte in biologischem Material der Ständigen Senatskommission zur
    Prüfung gesundheitsschädlicher Arbeitsstoffe („MAK-Kommission“) der DFG:

  • Biologische Arbeitsstoff-Toleranzwerte ­(BAT-Werte)
  • Biologische Leitwerte (BLW)
  • Biologische Arbeitsstoff-Referenzwerte (BAR)
  • Expositionsäquivalente für kanzerogene ­Arbeitsstoffe (EKA)
  • Beurteilungswerte in biologischem Material des Ausschusses für Gefahrstoffe (AGS):

  • Biologische Grenzwerte (BGW)
  • Äquivalenzwert zur Akzeptanz- oder ­Toleranzkonzentration der Expositions-­Risiko-Beziehungen (ERB)
  • Äquivalenzwert zum Arbeitsplatzgrenzwert (AGW)-analogen Wert
  • Für die Autorenschaft

    Dr. med. Wobbeke ­Weistenhöfer
    Institut und Poliklinik für Arbeits-, Sozial- und Umweltmedizin
    Friedrich-Alexander-Universität Erlangen-Nürnberg
    Henkestraße 9–11
    91054 Erlangen

    Foto: Glasow

    Koautorenschaft

    Mitautor und -autorin des Beitrags sind Prof. Dr. med. Hans Drexler und Prof. Dr. med. Simone Schmitz-Spanke (beide Institut und Poli­klinik für Arbeits-, Sozial- und Umwelt­medizin der Friedrich-Alexander-Universität Erlangen-Nürnberg).

    Jetzt weiterlesen und profitieren.

    + ASU E-Paper-Ausgabe – jeden Monat neu
    + Kostenfreien Zugang zu unserem Online-Archiv
    + Exklusive Webinare zum Vorzugspreis

    Premium Mitgliedschaft

    2 Monate kostenlos testen